1/5
Looks like no tags are added yet.
Name | Mastery | Learn | Test | Matching | Spaced | Call with Kai |
|---|
No analytics yet
Send a link to your students to track their progress
step 1:
carbonate oxygen attacks the y-phosphate of ADP.

step 2:
electrons flow out of biotin and into carbonyl phosphate.

step 3:
generating carboxybiotin.

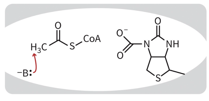
step 4:
base abstracts proton from alpha carbon, generating enolate.

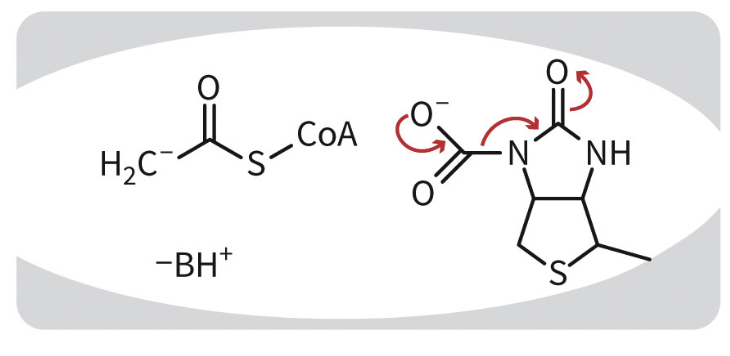
step 5:
carboxybiotin decarboxylates.

step 6:
enolate attacks carbon dioxide, generating malonyl-CoA. biotin reprotonates, regenerating enzyme.
