1/40
Looks like no tags are added yet.
Name | Mastery | Learn | Test | Matching | Spaced | Call with Kai |
|---|
No analytics yet
Send a link to your students to track their progress
How much glycogen is stored in the liver?
190g a little more than a days supply
What 3 forms of noncarbohydrate precursors can enter the Gluconeogenesis cycle?
pyruvate, oxaloacetate and dihydroxyacetone phosphate
what are the two steps required to convert pyruvate back to phosphoenolpyruvate in Gluconeogenesis. Done to overcome the 10th step of glycolysis.
1- Carboxylation of pyruvate using pyruvate carboxylase, ATP, CO2, and water to form oxaloacetate 2- Decarboxylation and phosphorylation of oxaloacetate using PEP carboxykinase and GTP to form phosphoenolpyruvate
How is pyruvate carboxylase regulated for the first step of Gluconeogenesis?
It is activated by binding acetyl-CoA and then is under substrate-level control by ATP concentration
What 2 things can happen when pyruvate enters the mitochondria?
It’s either converted into acetyl-CoA by pyruvate dehydrogenase and enters the citric acid cycle, or it is converted into oxaloacetate by pyruvate carboxylase and used for gluconeogenesis
Why is oxaloacetate sometimes reduced to malate? In what tissues does this occur?
So that it can be transported across the mitochondrial membrane to the cytosol where malate is reoxidized into oxaloacetate and goes on through gluconeogenesis. In non-liver tissues where PEP carboxykinase is found only in the cytosol
What is the function of Biotin? What step of gluconeogensis is it used?
A carrier of activated carbon dioxide as a high energy kinetically unstable carboxyphosphate intermediate to transfer CO2 to form oxaloacetate. First step
What happens to the oxaloacetate formed in Gluconeogenesis?
Its decarboxylated and phosphorylated by PEP carboxykinase and GTP to form Phosphoenolpyruvate. Irreversible
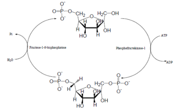
What is the first committed step of gluconeogensis?
Fructose-1,6-bisphosphate is hydrolyzed by fructose-1,6-bisphosphatase and water into fructose-6-phosphate and Pi. Irreversible
How is fructose-1,6-bisphosphatase regulated in Gluconeogenesis?
Positively effected by Citrate, Negatively effected by Fructose-2,6-bisphosphate and AMP
In liver tissues, where PEPCK is in the mitochondria and cytosol, when does oxaloacetate dehydrogenize into malate and leave to the cytosol, and when does it stay and convert to phosphoenolpyruvate in the mitchondria?
It leaves to the cytosol when there is low cytosolic NADH, as malate carries 2H+ out of the mitochondria with it. It stays in the mitochondria when there is high cytosolic NADH, like when starting from 2 lactate, whose conversion to pyruvate produces NADH

How is the Fructose futile cycle controlled?
AMP and fructose-2,6-bisphosphate activate glycolysis and deactivate gluconeogensis. Citrate activates gluconeogensis and deactivates glycolysis
What is the Cori cycle?
During exercise, lactate is produced, the carried by the blood into the liver. In the liver, it is reoxidized into pyruvate and goes through gluconeogenesis and return to the blood as glucose
What are the enzymes that catalyze the irreversible reactions of Gluconeogensis?
glucose-6-phosphatase, fructose-1,6-bisphosphatase and the sequential reactions of pyruvate carboxylase and PEP carboxykinase
What form of regulation is Glucose-6-phosphatase under?
Substrate-level control
Where does the pentose phosphate pathway occur?
In every cell type, but its the most active in the liver and adipose tissue to produce NADPH needed for synthesizing fatty acids and steroids
What are the 2 functions of the pentose phosphate pathway?
To produce NADPH for fatty acid synthesis and to produce ribose for the synthesis of nucleic acids

What is the first step of the oxidative phase of the pentose phosphate pathway?
glucose-6-phosphate is oxidized using glucose-6-phosphate dehydrogenase and NADP+ into ribulose-5-phosphate and NADPH

What is the second step of the oxidative phase of the pentose phosphate pathway
6-phosphoglucolactone with Glucolactonase and water becomes 6-phosphogluconate

What is the third step of the oxidative phase of the pentose phosphate pathway
6-phosphogluconate is decarboxylated by 6-phosphogluconate dehydrogenase and NADP+ using a B-Keto acid intermediate into Ribulose-5-phosphate and NADPH
How is the pentose phosphate pathway regulated?
The first step is the irreversible committed step, and so can be activated by insulin or deactivated by glucagon, but it’s mostly regulated using product inhibition by NADPH
What is the first step in the nonoxidative phase of the pentose phosphate pathway?
Coverting Ribulose 5-phosphate into other pentose-5-phosphates using phosphopentose isomerase, with a enediol intermediate
What is the net reaction of the nonoxidative phase of the pentose phosphate pathway?
3 ribulose-5-phosphate <-> 2 fructose-6-phosphate + 1 glyceraldehyde-3-phosphate
What do transketolases do?
Transfer 2 carbon groups from a ketose donor to an aldose acceptor using coenzyme TPP
What do transaldolases do?
Transfer 3 carbon groups from a ketose donor to an aldose acceptor, with a Schiff base intermediate
Which enzyme is used twice in the pentose phosphate pathway?
Transketolase
What is the second step in the nonoxidative phase of the pentose phosphate pathway?
Converting ribulose-5-phosphate using phosphopentose epimerase into xylulose-5-phosphate, with an enediolate intermediate
Which enzymes involve SN1-like mechanisms?
Glycogen phosphorylase, Debranching enzyme (α-1,6-glucosidase activity), glycogen synthase, and glycogenin
What, in general, are the 3 steps in Glycogen metabolism?
Glycogen phosphorylase removing glucose from nonreducing ends, the debranching enzyme, and phosphoglucomutase
Describe the breakdown of glycogen from its nonreducing ends by Glycogen phosphorylase
A rapid Sn1-like reaction using pyridoxl-5’-phosphate cofactor, forming an oxonium ion intermediate in the exclusion of water, that produces glucose-1-phosphate and cannot bind if the glucose is within 4 residues of a branch point
What is the limit dextran?
When all glycogens are within 4 residues of a branch point and glycogen phosphorylase can no longer bind
What are the 2 activities of the debranching enzyme?
a(1,4) to a(1,4) transglycosylase activity and the a(1,6) glucosidase activity
What does the a(1,4) to a(1,4) transglycosylase activity of the branching enzyme do?
Catalyzes the transfer of blocks of 3 glycosyl residues to the nonreducing end of an adjacent strand
What does the a(1,6) glucosidase activity of the branching enzyme do?
Cleaves the a(1,6) glycosidic linkage of a branch point, freeing the remaining glucose
When glycogen is completely catabolized, what has been produced?
90% glucose-1-phosphate, 10% glucose
What happens to the glucose-1-phosphates after they have been removed from the glycogen by glycogen phosphorylase?
Phosphoglucomutase turns them into glucose-6-phosphates for glycolysis
How does Phosphoglucomutase work? (Step 3 of glycogen metabolism)
Using a phorphorylated serine to convert glucose-1-phosphates to glucose-1,6-bisphosphate intermediates then glucose-6-phosphates. In 1/100 turnovers, glucose-1,6-bisphosphate escapes before rephosphorylating serine, leaving an inactive enzyme, so a catalytic amount is kept by reacting glucose-1-phosphate with phosphoglucokinase and ATP

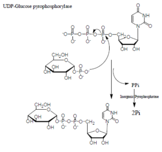
What is the first step of glycogen biosynthesis?
synthesis of UDP-glucose from glucose-1-phosphate and UTP using the enzyme UDP- glucose pyrophosphorylase

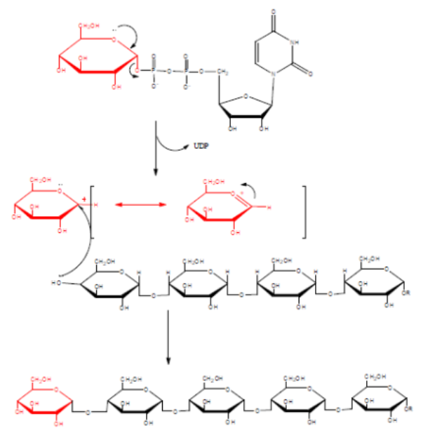
What is the second step of glycogen biosynthesis?
Glycogen synthase which can add glucose residues to polysaccharide chain of four or more residues (Glycogenin), oxonium ion intermediate
What is the branching enzyme?
The enzyme with a a(1,4) to a(1,6) transglycosylase activity that takes a block of seven glycosyl residues off a chain at least 11 residues long, and attaches them at an interior site over 4 residues from any existing branch
If glycogen is entirely used up, how is more created?
The glycogenin protein builds a short chain of around 8 glycosyl residues off a tyrosine to act as a primer for glycogen biosynthesis