1/45
Looks like no tags are added yet.
Name | Mastery | Learn | Test | Matching | Spaced | Call with Kai |
|---|
No analytics yet
Send a link to your students to track their progress
What is the equation for the standard deviation of two samples?

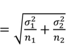
What is the equation for the population standard deviation of the sampling distribution?

What is the t-based confidence interval for the difference in populations?

What is the df formula for different independent samples?
(n1 + n2) - 2
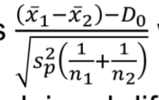
What is the test statistic equation for when variances equal?
Where D0 is the difference b/t population means

What happens when mean 1 - mean 2 = 0?
There is no difference in the population mean
What is the df equation for the same/paired population?
n-1
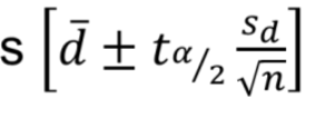
What is the confidence interval equation for the same population?
Where d is the difference between means

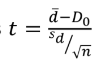
What is the test statistic equation for one population?
Where D0 is the difference between means

What is the confidence interval equation for the difference of 2 population proportions?

What is an independent variable known as?
A predictor or explanatory variable, you want to use to understand or predict the dependent variable
What is a dependent variable known as?
A response variable, you want to understand or predict
What is regression analysis?
A statistical technique that uses observed data to relate the dependent variable to 1 or more independent variables. The objective is to build a model that can describe, predict, and control the dependent variable based on the independent
What is simple linear regression?
Uses only ONE independent variable
What is the predict equation for simple linear regression?
y = b0+b1(x)+ e
Where b0 is the y-intercept, b1 is the slope, and e is the error
What is the equation for error/residual?
Observed value - predicted value
What is the sum of squared errors equation? (SSE)

What is the total variance equation?
Unexplained variance (SSE) + explained variance
What is the explained variance equation?
Total variance - unexplained variance (SSE)
What is the coefficient of determined variation equation (r2)?
Explained variation (expl sum of squares) / total variation (total sum of sqares)
What is the coefficient of determined variation (r2)?
The proportion of total variance in observed values of y that is explained by simple linear regression. It is a measure of usefulness.
ALWAYS between 0 & 1. The higher it is, the more useful it is
What is the simple correlation coefficient ( r) ?
Measures the strength of the linear relationship b/t x & y. If it’s negative, the slope is negative. If it’s positive, the slope is positive.
ALWAYS between -1 & 1. A value of 0 means there is no relationship
What is the simple correlation coefficient equation?

What is the mean of zero assumption?
At any given value of x, the population of potential error terms has a mean = 0
What is the constant variance assumption?
At any value of x, the population of potential error term values has a variance that does not depend on the value of x
What is the normality assumption?
At any given value of x, the population of potential error term values has a normal distribution
What is the independence assumption?
Any one value of the error term (e) is statistically independent of any other value of e
What is the mean of squared error equation (s2)?
SSE / n-2
What is the standard error equation (s)?
Square root of s2
When is a regression model useful?
Only when there is a significant relationship b/t x & y
What is the df equation for the f model?
n - (k+1)
What is the t-test equation for testing significance between x & y?
slope (b1) / error (sb1)
In determining whether the overall model is significant (simple), what rejects H0?
F model > F (alpha)
Overall p-value < alpha
What is the confidence interval equation for significance of x & y?

What is multiple linear regression?
Uses 2 or more independent variables to describe one dependent variable. Allows for it to be more complex, there is no limit to the number of independent variables
What is the multiple linear regression prediction equation?
y = b0 + b1(x1) + b2(x2)…
What is R2 in relation to multiple linear regression?
It shows the proportion of the TOTAL variation that is explained by the overall regression model. adding an independent variable will increase this.
What is the multiple correlation coefficient (R)?
It is the square root of R2. It is always positive.
What is adjusted R2?
It gives a better estimate of the importance of the independent variables. Non-adjusted R2 is increased by adding more independent variables, so this fixes that
What is the correlation between alpha and the significance of x & y?
The smaller the level of alpha at which H0 can be rejected, the stronger the evidence that x can be related to y
What are dummy variables?
Used when there’s qualitative data. Values are always 0 & 1.
What is multicollinearity?
When independent variables are related to each other. Considered severe when simple correlation exceeds 0.9. Moderately strong when the variance inflation factor > 5
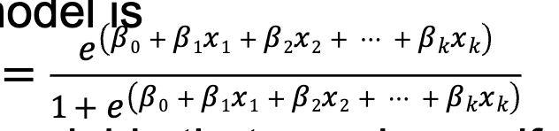
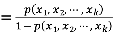
What is the logistic regression model?
Relates the probability that an event will occur to a number of independent variables
What is the logistic regression model equation?

What is the odds ratio?
The probability of success over the probability of failure

Which of the following methods do we use to best fit the data in logistic regression?
Maximum likelihood