1/100
Looks like no tags are added yet.
Name | Mastery | Learn | Test | Matching | Spaced | Call with Kai |
|---|
No analytics yet
Send a link to your students to track their progress

Aspirin

Salsalate

Salicylic Acid Salts

Diflunisal
→ Di fluoro

Acetaminophen

Leukotriene → 3 Conjugated DB

Misoprostol
→ Class: Prostaglandin Receptor Modulator Therapeutics

Omidenepag
→ Class: Prostaglandin Receptor Modulator Therapeutics

Latanoprost
→ Class: Prostaglandin Receptor Modulator Therapeutics

Selexipag

Montelukast

Zafirlukast

Zileuton

Indomethacin

Diclofenac

Ibuprofen

Naproxen

Meloxicam

Celecoxib

Methotrexate

Leflunomide

Sulfasalazine

Hydrochrloquine

Upadacitinib (LOOKS LIKE A U)

Tofacitinib

Baricitinib

Etanercept (Contains the TNF receptor as the Fc region)

Certolizumab

Infliximab

Colchicine

Allopurinol

Febuxostat

Probencid

Lesinurad

Morphine
SAR: OH group common for Hydromorphone, Oxymorphone → but one OH → Ketone

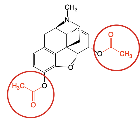
Heroin (Morphine Prodrug)

Codeine
SAR: Methoxy Group common for Hydrocodone, Oxycodone

Thebaine → Inactive Morphine

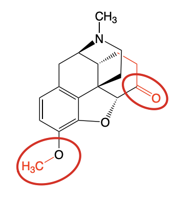
Hydromorphone

Oxymorphone (Contains an OH → difference from Hydromorphone)

Hydrocodone

Oxycodone

Levonorphanol

Nalbuphine (Morphine Congener)

Butorphanol (Morphine Derivative)

Pentazocine (Benzomorphan Derivative)
Most Dysphoria Risk of the 3 Partial Mu Agonists/Kappa Agonists

Buprenorphine

Fentanyl

Sufentanil
-Fentanil → Fentanyl Analog (Most potent analog)

Alfentanil
-Fentanil → Fentanyl Analog

Remifentanil
-Fentanil → Fentanyl Analog
Safest analog with minimal CYP3A4 interactions

Meperidine
-Methoxy

Methadone

Tramadol

Tapentadol

Oliceridine → Biased Agonist

Loperamide (Imodium®)

Diphenoxylate

Difenoxin

Methylnaltrexone bromide

Naltrexone

Naloxegol

Naloxone

Metformin HCl

Human Insulin (Humulin)

Lispro

Human Insulin

Aspart

Gluslinine

Glargine

Detemir

Degludec

Sulfonylurea Pharmacophore (SAR for Sulfonylureas)

Tolbutamide

Chlorpropamide

Tolazamide

Acetohexamide

Glipizide

Glyburide

Glimepiride

Repaglinide

Nateglinide

Troglitizone

Rosiglitazone

Pioglitizone

Ertugliozin (Steglatro®)

Dapagliflozin (Farxiga®)

Empagliflozin (Jardiance®)

Canaglifozin (Invokana®)

Exenatide (Byetta®, Bydureon®)

Liraglutide (Victoza®)

Dulaglutide

Semaglutide (Ozempic®, Rybelsus®, Wegovy®)
Spacer + 3AA changes

Tirzepatide

Sitagliptin

Saxagliptan


Linagliptan (L)

Alogliptan
Human Amylin vs Pramlintide


Acarbose