1/39
Looks like no tags are added yet.
Name | Mastery | Learn | Test | Matching | Spaced | Call with Kai |
|---|
No analytics yet
Send a link to your students to track their progress

ketone/aldehyde + water
hydrate/gem-diol


ketone/aldehyde + 2 eq. alcohol
acetal


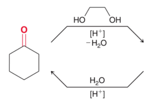
ketone/aldehyde + vicinal diol
cyclic acetal


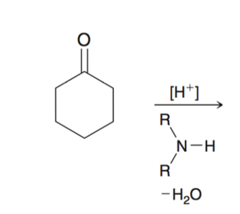
ketone/aldehyde + primary amine
imine


ketone/aldehyde + secondary amine
enamine


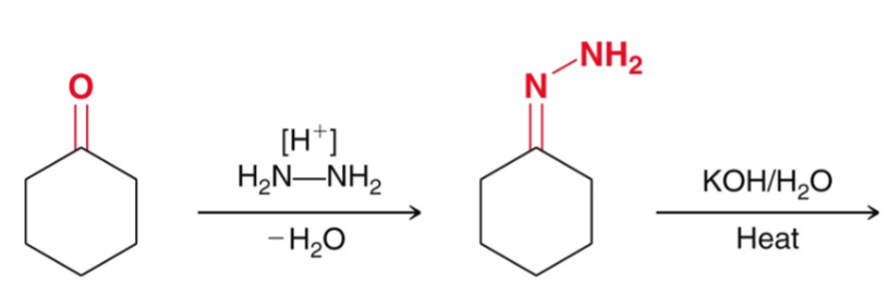
Wolff-Kishner reduction
ketone to imine to alkane


ketone/aldehyde + 2 thiols
thioacetal


ketone/aldehyde + vicinal thiol
cyclic thioacetal


thioacetal + Raney Ni
alkane


ketone/aldehyde + LAH or NaBH4
alcohol


ketone/aldehyde + Grignard
alcohol + new C-C bond


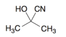
ketone/aldehyde + cyanide
cyanohydrin


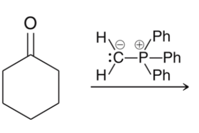
Wittig reaction
ketone/aldehyde to alkene, forming new C=C


nitrile + acid and heat
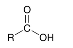
carboxylic acid


Grignard + 1. CO2, 2. H3O+
carboxylic acid


carboxylic acid + LAH
primary alcohol


carboxylic acid + thionyl chloride (SOCl2)
acid chloride


acid chloride + water
carboxylic acid


acid chloride + alcohol
ester


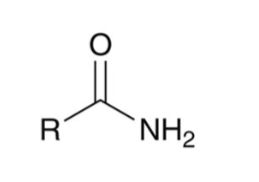
acid chloride + amine
amide


acid chloride + tri(t-butoxy) aluminum hydride
aldehyde


acid chloride + carboxylate
acid anhydride


alcohol + acetic anhydride
ester


amine + acetic anhydride
amide


carboxylate + alkyl halide
ester


Fischer esterification
carboxylic acid + alcohol = ester


ester + amine
amide


ester + 1. DIBAH 2. H2O
aldehyde


amide + acid and heat
carboxylic acid


amide + LAH
amine


alkyl halide + cyanide
nitrile


nitrile + acid and heat OR base and acidic workup
carboxylic acid


nitrile + Grignard
ketone


nitrile + LAH
primary amine


amide + SOCl2
nitrile


alkyl halide + 2 eq. Li
R-Li & LiX


alkyl halide + Mg, Et2O
R-Mg-X


R-Li + 0.5 eq. CuX
R2CuLi


R-X + Zn, Et2O
R-Zn-X


alkene + CH2Is, Zn-Cu, Et2O
cyclopropane
