1/15
Looks like no tags are added yet.
Name | Mastery | Learn | Test | Matching | Spaced | Call with Kai |
|---|
No analytics yet
Send a link to your students to track their progress
To find line of intersection of two planes
parametrize both equations with parameters that fulfill both
vector equation for a straight line

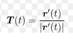
Unit Tangent Vector

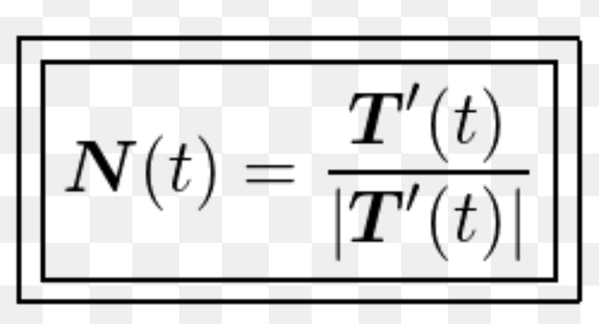
Unit Normal Vector

Plane formed by Unit Tangent and Unit Normal Vectors
Osculating Plane
Arc Length Parametric
∫(a,b)|r’(t)|dt
Curvature

With scalar line integrals, what is ds =
ds = |r’(t)| dt = √(dx)²+(dy)²+(dz)² dt
How to parametrize a normal surface with given equation
get one variable in terms of two others
How to parametrize a surface given three points
r(u,v) = point_1 + (vector_to_point_2)u + (vector_to_point_3)v
combine
x = i hat
y = j hat
z = k hat
How to parametrize the surface of a sphere
x=ρsinφcosθ
y=ρsinφsinθ
z=ρcosφ
How to parametrize “circular” shapes
usually use:
x=rcosθ
y=rsinθ
Surface area parametric

*****Jacobian is taken care of!!****
Scalar Surface Integral (Fundamental Plane)
just a double integral once you input the one variable’s constant value
Scalar Surface Integral (General)

Surface Area as surface integral = ?
surface integral of 1 (still include magnitude of cross product etc.)