1/46
Looks like no tags are added yet.
Name | Mastery | Learn | Test | Matching | Spaced | Call with Kai |
|---|
No analytics yet
Send a link to your students to track their progress
How do different instruments produce different sounds?
Different instruments use different tubes or columns of air, which vibrate in different ways to produce different sounds.
How are sound waves produced?
Sound waves are produced by vibrating objects.
What is a natural frequency?
the frequency at which an object vibrates without a driving force.
What is resonance?
when one object vibrates at the same natural frequency as another object, causing the second object to vibrate as well.
How is sound produced in brass instruments?
Sound is produced when the player’s lips vibrate against the mouthpiece, creating a range of frequencies.
Why does resonance occur in a brass instrument?
One of the frequencies produced by the lips matches a natural frequency of the air column inside the instrument, causing the air to vibrate by resonance.
What is the result of resonance in brass instruments?
Resonance produces large vibrations, which create a loud sound.
How can the pitch of a brass instrument be changed?
The pitch is changed by altering the length of the vibrating air column inside the tube.
How is the length of the air column adjusted in brass instruments?
By sliding parts of the tube to change its length
What are found at the two ends of Tube Type 1?
One end is a node (little particle movement) and the other end is an antinode (maximum particle movement).
What is the fundamental frequency in Tube Type 1?
The lowest frequency produced, where the tube length is ¼ of a wavelength.
What is different about Tube Type 2?
It is open at both ends.
What is found at both ends of Tube Type 2?
Antinodes at both ends.
What is the fundamental frequency in Tube Type 2?
The tube length is ½ of a wavelength.
How do you change the note produced by an instrument?
Changing the length of the column
Opening and closing the number of holes along the length of the column
Changing the vibrations produced by your lips
What is refraction?
Refraction is when a wave passes from one medium to another and its speed and direction change.
How does the speed of light change in different media?
Light slows down in denser media like water or glass, and speeds up in less dense media like air.
Does the frequency of light change during refraction?
No, the frequency stays the same, only the speed and wavelength change.
What is the refractive index?
the refractive index measures how much a material slows down light
What happens when light travels from glass to air?
The angle of refraction is greater than the angle of incidence. light moves away from normal
What is the critical angle?
The angle of incidence that produces a refracted angle of 90° when light passes from a denser to a less dense medium.
When does total internal reflection occur?
The angle of incidence > critical angle
Light travels from a denser to a less dense medium
What happens during total internal reflection?
None of the light exits the material; it is completely reflected, obeying the law of reflection: i = r.
What are optical fibres?
Thin glass or plastic fibres that guide light using total internal reflection to transmit signals.
Give some uses of optical fibres
Christmas lights
Endoscopy in medicine
Fibre optic broadband internet
How does varying the glass in an optical fibre help?
Different densities cause slight refraction, controlling timing of light pulses and improving signal quality
What is an analogue signal?
A signal that varies continuously in amplitude or frequency.
What is a digital signal?
A signal that has two discrete states: ON (1) or OFF (0).
Advantages of digital signals over analogue signals
Can carry more information per second
Higher quality programmes
More channels
What is noise in signals?
Random extra information added as signals travel long distances, which can distort the signal.
How does noise affect analogue signals?
Noise is amplified each time the signal is amplified, making the signal less like the original over time.
How does noise affect digital signals?
Noise is usually lower than the ON signal amplitude, so amplifiers can ignore it, preserving signal quality.
What is an oscillation?
A repetitive back-and-forth motion around a central equilibrium point.
What are the two main layers of an optical fiber?
Core: Thin glass center where light travels
Cladding: Outer glass layer with a lower refractive index to ensure TIR.
What is Sampling and Bitrate
Sampling: Converting analogue sound into digital code by measuring it many times per second
Bitrate: The amount of data processed per second. Higher bitrate = Better quality.
What is a sound wave?
A longitudinal wave produced by vibrating objects that travels through a medium.
What is a vacuum in the context of light?
A space entirely devoid of matter where light travels at its maximum possible speed
What are the components of an optical fiber?
core: The thin glass strand light travels through.
cladding: Surrounding glass with a lower refractive index to cause TIR.
polymer coating: Flexible outer layer for protection.
How does column length affect frequency?
A longer column has a larger wavelength and a lower fundamental frequency (lower pitch).
What is sampling and sampling rate?
Sampling: Converting analogue to digital by identifying signal values as binary code.
Sampling rate: How many samples are taken per second.
What is the formula for calculating the critical angle ($\theta_c$) from the refractive index (n)?

What is the formula for the refractive index (n) of a material using the speed of light?

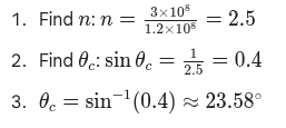
To find the critical angle when given the velocity ($v$) of light in a material, what two steps must you take?
1. Use n= c/v to find the refractive index.
2. Use sin theta c = 1/u to find the critical angle.
If monochromatic light moves through a material at 1.2 x10^8 m/s, what is the critical angle?

draw table for waves on strings

draw table for waves in tube thats closed at one end

draw diagram for waves in tube that is open at both ends
