1/20
Looks like no tags are added yet.
Name | Mastery | Learn | Test | Matching | Spaced | Call with Kai |
|---|
No analytics yet
Send a link to your students to track their progress
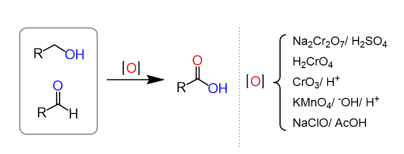
Carboxylic Acid Synthesis Via OxIdation

Carboxylic Acid Synthesis Via Grignard

Reduction Of Carboxylic Acids
1) LiAlH4
2) H3O+
BH3 (C.A exclusive)
Decarboxylation

Fischer Esterification

Organolithium

Acid Chloride Synthesis

Diethyl Ethane

Hell-Volhard-Zelinsky

Acid Chloride (Acyl Chloride)
Most Reactive

Anhydride
2nd Most Reactive

Ester
3rd Most Reactive

Amide
Least reactive

Hydrolysis
Amide Needs Heat

Aminolysis

Ester Synthesis

Anhydride Synthesis

Transesterification

Nitrile Hydrolysis

Gilman
Acyl Chloride Only

Excess Grignard
