1/18
Looks like no tags are added yet.
Name | Mastery | Learn | Test | Matching | Spaced | Call with Kai |
|---|
No analytics yet
Send a link to your students to track their progress
Subspace
A smaller, self-contained math space that exists perfectly flat within a larger one

Basis
The "Goldilocks" set of building blocks for a subspace. It has exactly enough vectors to span the space, but no extra, redundant vectors (they are linearly independent).
Dimension
The number of building blocks in your basis for example: If basis requre two factors, the dimension is 2.
Matrix
A rectangular grid of numbers
Vector (aka Column vector)
A matrix that only has one single column
Identity Matrix
The matrix equivalent of the number 1. If you multiply another matrix by it nothing changes. For example, the image provided is an identity matrix of a 3×3

Inverse Matrix
The matrix equivalent of division. If you multiply a matrix by its inverse, they cancel each other out and leave you with the Identity Matrix. Provided is the inverse of a 2×2, 3×3+ more are different

Transpose
Flipping a matrix over its diagonal. Row become columns and columns become rows

Gaussian Elimination (Row Reduction)
The algorithm or set of steps you use to simplify a matrix.
Row Echelon Form (REF)
A matrix that has been simplified in a staircase pattern where numbers below the staircase are all zero. it dosent have to be 1s, can be any number as long as its stair case.

Reduced Row Echelon Form
the goat, fuly simplified version of a matrix. the staircase is made of entire of 1s and 0s. staircase are 1s and everything else are zero

Pivot
the first non zero number you hit when readinga row left to right. In RREF pivots are 1.
Linear Combination
Mixing and matching vectors. it is the result you get when you multiply a set of vectors by constants (scalars)and add them all together

Span
The set of all possible linear combinations you can make from a specific group of vectors. If you have two vectors pointing in different directions, their span is usually a flat 2D plane.
Linear Independence
Has to to fit the RREF staircase thing.
Linear Dependence
basically if one row is all 0s, dosent fit the RREF stair case thing.
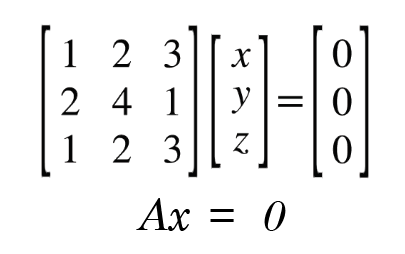
Null space
The collection of all the specific input vectors that get completely crushed to zero when you multiply by the matrix

Column Space
The geometric space spanned by the columns of a matrix