1/23
Looks like no tags are added yet.
Name | Mastery | Learn | Test | Matching | Spaced | Call with Kai |
|---|
No analytics yet
Send a link to your students to track their progress
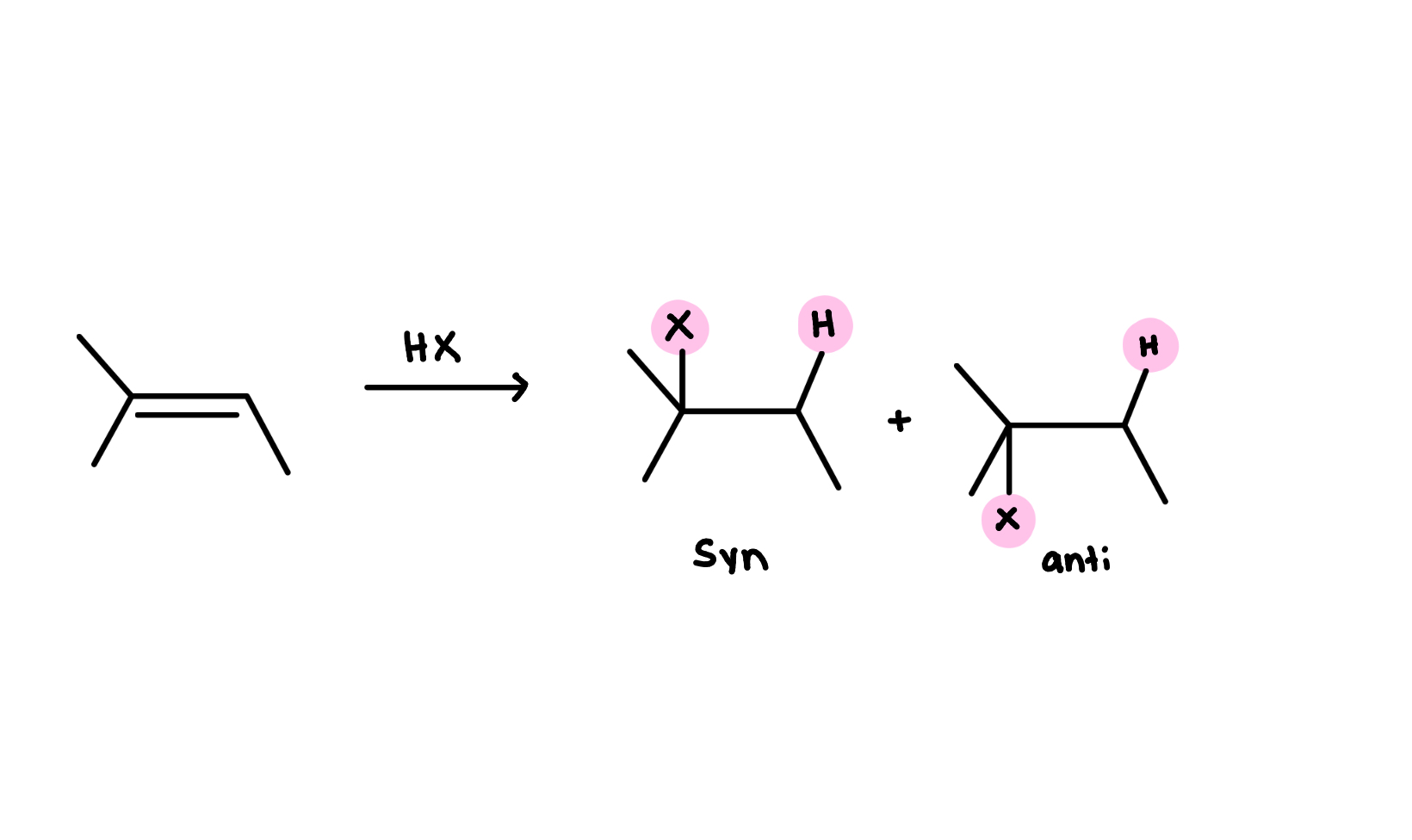
Hydrohalogenation
add H and Br

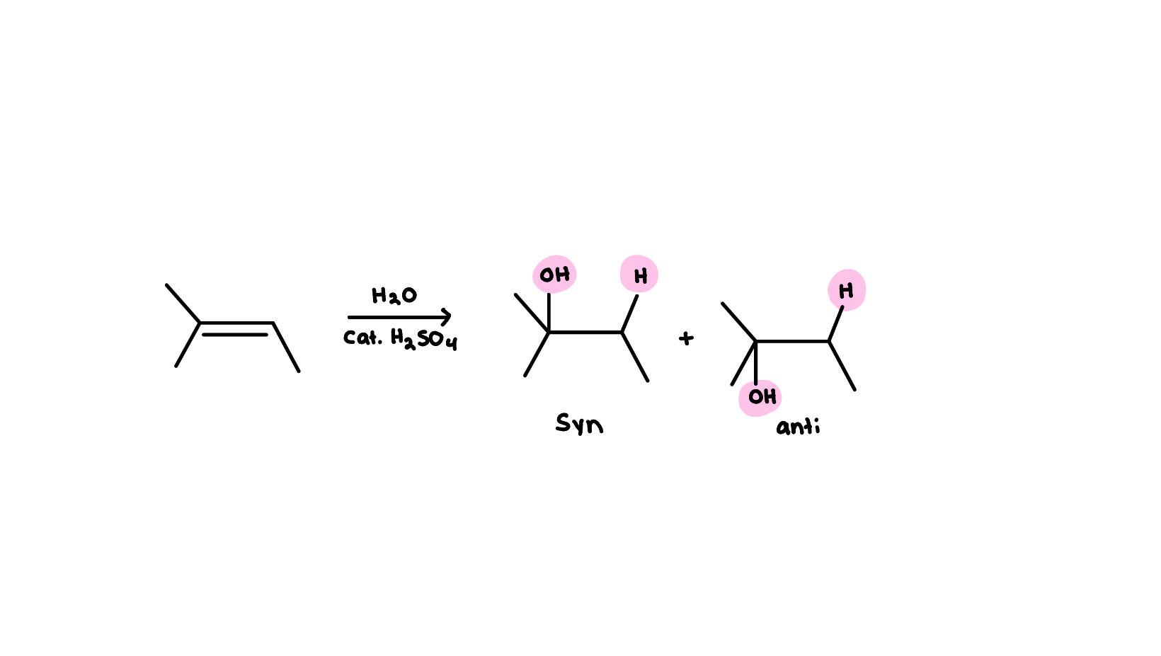
Acid-Catalyzed Hydration
Add H and OH

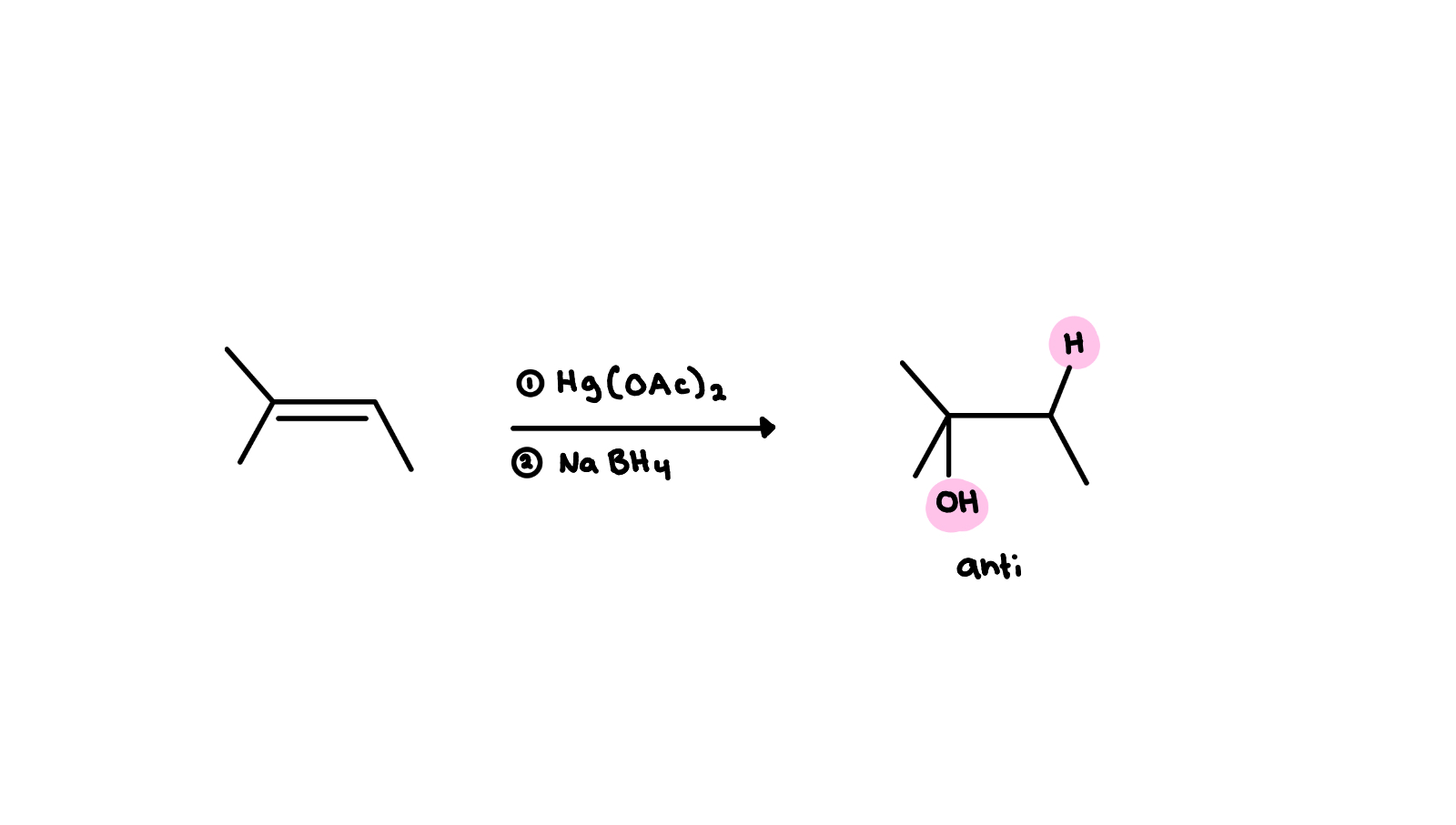
Hydration by Oxymercuration - Demercuration
Add H and OH

Br2 or Cl2 Addition

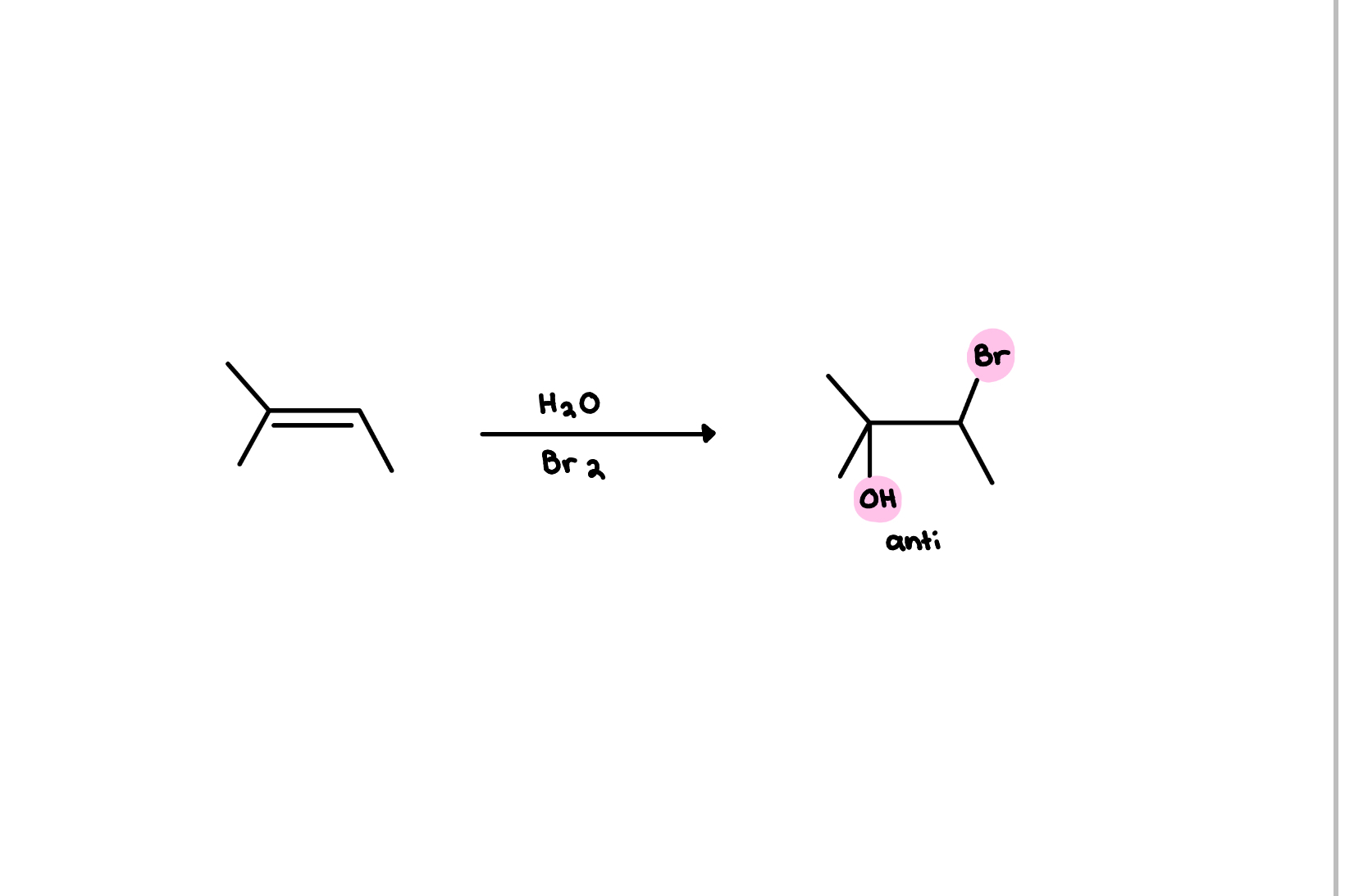
Halohydration (Hydrobromination)
Add OH and Br

Metal-Catalyzed Hydrogenation
Add H and H

Hydroboration / Oxidation
Add H and OH

Cyclopropanation
Add C, Cl, Cl

Dihydroxylation
Add OH and OH

Ozonolysis / Oxidation
Break = and add O to each half

Radical Br2 addition
Add Br

Radical HBr addition
Add H and Br
























