1/5
Looks like no tags are added yet.
Name | Mastery | Learn | Test | Matching | Spaced | Call with Kai |
|---|
No analytics yet
Send a link to your students to track their progress











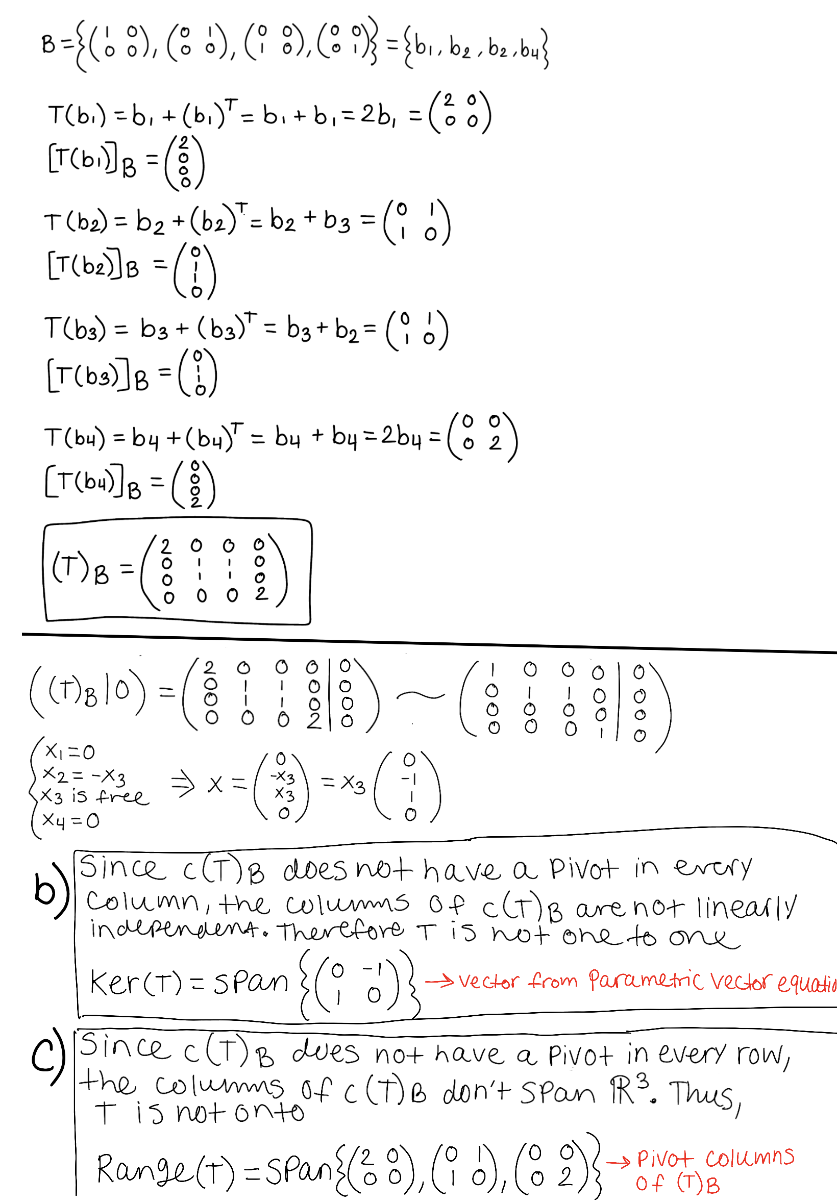
*Note: when you take the transpose of a matrix, the rows become the columns and vice versa
