1/6
Looks like no tags are added yet.
Name | Mastery | Learn | Test | Matching | Spaced | Call with Kai |
|---|
No analytics yet
Send a link to your students to track their progress
Rule Generation
Generating association rules from list of frequent itemsets to find those that meet the minconf threshold
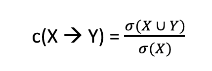
Confidence formula

Confidence Based Pruning
If the confidence of the rule is below the min threshold, then any rule with the same LHS and larger RHS will have a equal or lower confidence ( prune all subsequent rules )
Rule Generation Algorithm
Given a frequent itemset, generate candidate rules, compute confidence for each rule, keep rule if >= min conf, prune if < min conf
How to set up minsup?
Base it initially on the size of the dataset
How to set up minconf?
Base it on how much confidence is believed to demonstrate a relation between X and Y
How to tune minsup and minconf?
Based on the # of total rules generated after algorithm