1/25
Looks like no tags are added yet.
Name | Mastery | Learn | Test | Matching | Spaced | Call with Kai |
|---|
No analytics yet
Send a link to your students to track their progress
Lamivudine
Cytidine analogue
Reverse transcriptase inhibitor
HBV DNA polymerase has reversible transcriptase activity — so this drug can be used!

Entecavir
Guanosine nucleoside analogue
Converted intracellularly to 5’-triphosphate form
Inhibits three distinct phases of HBV DNA polymerase
HBV DNA polymerase priming
Reverse transcription
Synthesis of the positive-stranded HBV DNA

Adefovir and Tenofovir
Adenosine analogues
DNA polymerase Reverse transcriptase inhibitors
Originally developed for the treatment of HIV
Tenofovir more potent
Fumarate salt
Prodrugs w/ two pivaloyloxymethyl or diisoproxil groups
Oral bioavailability
Monophosphate rate-limiting step in situ activation
Circumvent resistance
Activated by cellular adenylate kinase (adds second phosphate
Leads to a 91% lower serum concentration of tenofovir
Reduced off-target exposure to the drug
Lower adverse effects

Tenofovir alafenamide
Greater antiviral activity
6.5x higher intracellular concentration of tenofovir diphosphate in liver cells

Hepatitis C Virus
Positive-sense, single-stranded RNA virus — Hepacivirus
Transmission - blood
No vaccine
Most infected patients (~80%) progress to chronic infection
HCV exists as seven closely related genotypes
Treatment goal: Sustained virologic response (SVR)
Absence of detectable levels of plasma HCV RNA 12 weeks after the completion of therapy
HCV Structure
Translated to a single polyprotein and cleaved by cellular and viral proteases
Three structural proteins (core, E1, and E2)
Seven non-structural (p7, NS2, NS3, NS4A, NS4B, NS5A, and NS5B)
Ribavirin
Used with INFs
Mode of action not clear - several proposed
Teratogenic
INFs and Ribavirin active against all HCV genotypes
SVR ~50%
Serine Protease Inhibitors
Boceprevir and Telaprevir inhibit HCV NS3/4A serine protease
This protease is required for self-cleavage of polyprotein during viral replication.
Second Generation HCV Serine Inhibitors
Simeprevir
Modification of the first-generation for less functional groups sticking out and improved binding to the site!!
Third Generation HCV Serine Inhibitors
Glecaprevir, Voxilaprevir
Developed to be cross-genotype active
Activity against key Gt1 resistance mutations (A156, R155, and D168)
These compounds were developed to enable single-table regimens with other HCV Direct Acting Antivirals
Which third generation HCV Protease Inhibitors are active in ALL genotypes (1-6)?
Glecaprevir in Mavyret
Voxilaprevir in Vosevi
What genotypes is Grazoprevir active in?
Genotypes 1 and 4
What is the HCV NS5B Polymerase responsible for?
Replicating the viral RNA genome, required for HCV replication
Based on identification of nucleoside analogues that function as alternate substrate inhibitors
Sofosbuvir
HCV NS5B Polymerase Inhibitor
Uridine nucleotide analogue — alternative substrate inhibitor
Uses ProTide technology (Phosphoramidate Uracil)
Regimens provide a high cure rate
Enables INF free regimens
Price contreversey ($1000/pill, 12 weeks treatment)

What form is sofosbuvir converted to by liver first pass metabolism?
Monophosphate
Delivers the desired uridine monophosphate to hepatocytes
Conversion to monophosphate to uridine nucleoside slow — lower potency
Phosphoramidate moiety chrial
>10-fold difference in activity between two isomers
Active diastereomer obtained by selective crystallization
Active metabolite = triphosphate made by nucleoside kinases in liver
What does NS5A do in HCV replication?
Critical in viral replication and assembly
No known enzymatic activity
Function mediated through interaction with other viral and cellular proteins
No homologues in prokaryotes or eukaryotes
HCV NS5A-targeting molecules are potent antivirals
Active in pM range
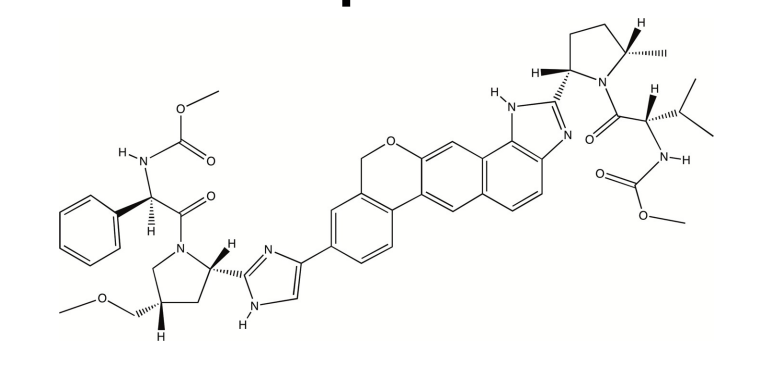
NS5A Inhibitor Structure
Dimer or dimer-like
Possible improved interactions with the dimeric form of the NS5A protein
Names end in -asvir
Two peptidomimetic caps with an aromatic linker in the middle
Carbamate methyl ester caps
Aromatic linker with an N-containing heterocycle
Ledipasvir
NS5A
Genotypes 1, 4, 5, or 6
Optimized for both antiviral potency and pharmacokinetic parameters
HCV NS5A EC50 = 31 pM with a half-life of up to 45 h
Low barrier to resistance

Velpatasvir
NS5A
In combination with sofusbuvir
Active against genotypes 1-6

Pibrentasvir
NS5A
In combination with Glecaprevir
Genotypes 1-6

Elbasvir
NS5A
In combination wiith Grazoprevir
Genotypes 1 and 4

Epclusa
Sofosbuvir (NS5B Polymerase inhibitor) and Valpatasvir (NS5A inhibitor)
CAN BE USED IN ALL GENOTYPES
Mavyret
Co-formulation of HCV protease inhibitor glecaprevir and HCV NS5A inhibitor pibrentasvir
CAN BE USED IN ALL GENOTYPES
Vosevi
Sobusbuvir (NS5B polymerase inhibitor)
Velpatasvir (NS5A inhibitor)
Voxilaprevir (NS3/4A protease inhibitor)
CAN BE USED IN ALL GENOTYPES
Harvoni
Sofosbuvir (NS5B Polymerase Inhibitor)
Ledispavir (NS5A Inhibitor)
CAN ONLY BE USED IN GENOTYPES 1, 4, 5 and 6!!!
Zepatier
Grazoprevir (NS3/4A protease inhibitor)
Elbasvir (NS5A inhibitor)
Genotypes 1 and 4!!!