1/39
Looks like no tags are added yet.
Name | Mastery | Learn | Test | Matching | Spaced | Call with Kai |
|---|
No analytics yet
Send a link to your students to track their progress
Hormones bind to ________ with ________ affinity.
receptors; high
When a receptor loses its ability to transmit a signal following continuous exposure to a ligand, the receptor is said to be ________.
desensitized
Which of the following can be a hormone?
all of the above
What enzyme is activated by association with an active G protein?
adenylate cyclase
The second messenger ________ is produced by the enzyme ________.
cAMP; adenylate cyclase
cAMP binds to the ________ subunits of protein kinase A allowing the tetramer to dissociate into ________.
regulatory subunits; two active monomers and an inactive dimer
What two amino acid residues are the targets of protein kinase A?
Thr and Ser
Activity of the Ras protein is analogous to the ________ in terms of its ability to bind GTP.
G protein α subunit
Which of the following hormones is able to cross biological membranes and thus the receptor is found inside the cell, not on the cell surface?
cortisol
Heterotrimeric G proteins ________.
I. consist of three subunits, Gα, Gβ, and Gγ
II. function as an autoinhibtory segment
III. can function as a mediator to adenylate cyclase activity
IV. are anchored to the cytoplasmic side of the membrane
I, III, IV
Glucose and galactose are ________ of each other.
epimers

Which monosaccharide(s) seen below is(are) the enantiomer(s) of A?
D

Which two monosaccharides seen below are epimers?
A and B
The transformation of a monosaccharide into its ________ occurs easily and does not require the assistance of a catalyst.
anomer
O-linked oligosaccharides are commonly attached to the oxygen of ________.
threonine
N-linked oligosaccharides can be covalently linked to proteins at the amino acid ________.
Asn

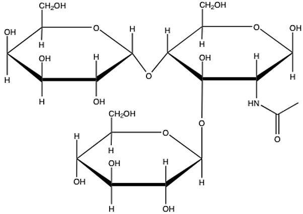
What glycosidic bonds are seen in the following portion of an N-linked oligosaccharide? Abbreviations: galactose: Gal; glucose: Glu; N-acetylglucosamine: NAG
α(1→4) between Gal and NAG; β(1→3) between Glu and NAG
Which of the following describes glycosaminoglycans?
found in extracellular space
In eukaryotes, intracellular proteins can be glycosylated by attachment of [Dropdown 1] to a [Dropdown 2] residue. Most often!
Dropdown 1: N-acetylglucosamine, N-acetylgalactosamine
Dropdown 2: tyrosine or asparagine, serine or threonine
N-acetylglucosamine; serine or threonine
The bonding of alcohols to the anomeric center of a carbohydrate results in the formation of a(n) ________ bond.
glycosidic
Plants are considered ________.
photoautotrophs
Digestion of food by mammals converts ________ into ________ which can be absorbed from the intestines.
triacylglycerols; fatty acids
Which of the following is used to move lipids around the bloodstream?
lipoproteins
The ________ stores glucose as glycogen and converts excess glucose to ________.
liver; fatty acids
Which of the following is mobilized for energy use by a phosphorolysis reaction, not a hydrolysis?
glycogen
The ________-terminus of ubiquitin is linked to a ________ residue of proteins to be degraded.
C; Lys
A reaction that results in the loss of electrons from a molecule is a(n) ________.
oxidation
The oxidized form of NADH is ________.
NAD+
The conversion of a carbohydrate into CO2 is a(n) ________ process; the conversion of CO2 into a carbohydrate is a(n) ________ process.
exergonic; endergonic
Which of the following is correct regarding metabolic pathways?
none of the above are correct
The process of ________ converts glucose into ________.
glycolysis; pyruvate
What pathway is used to make glucose from other metabolites such as oxaloacetate?
gluconeogenesis
In eukaryotes, glycolysis typically occurs in the ________, gluconeogenesis typically occurs in the ________.
cytosol; cytosol
The coenzyme ________ is the oxidizing agent in glycolysis.
NAD+
Which of the following represents the net products of glycolysis from one molecule of glucose?
2 pyruvate, 2 NADH, 2 ATP
In glycogen synthesis, what is the intermediate between glucose-1-phosphate and glycogen?
UDP-glucose
In the muscle, when a residue of glucose is cleaved from glycogen and converted to pyruvate via glycolysis, what is the net ATP production?
3
Glycogen storage occurs in ________ and ________ tissue.
muscle; liver
The main enzyme of glycogen catabolism is ________, which catalyzes a ________ reaction.
glycogen phosphorylase; phosphorolysis
NADPH used in lipid biosynthesis is produced in ________.
the pentose phosphate pathway