1/20
Looks like no tags are added yet.
Name | Mastery | Learn | Test | Matching | Spaced | Call with Kai |
|---|
No analytics yet
Send a link to your students to track their progress
what happens when the pupil size varies
get a variation in retinal illuminance- less light reaches the retina when the pupil size falls
get a variation in the diameter of the blur circle in eyes with refractive error
get a change in the depth of field and depth of focus
implications of changing pupil size exist for what
accomodation testing
testing vision using a pinhole disc
what is the pupil
aperture within the iris, through which light penetrates into the eye
located slightly nasally to the centre of the iris
function is to regulate the amount of light admitted into the eye, to optimise the depth of focs and to mitigate ocular aberrations
retinal illuminance: dependence on pupil diameter
Ret lumin: amount of light falling on the retina
luminance flux T on the retina : T = LS
where L is the luminance of the stimulus and S is the area of the pupil is mm²
T is given in trolands
wy does retinal illuminance decrease with age
due to the absorption of the lens and to a reduction in pupil size
may represent a reduction of at least 10 fold in an 80 year old eye as compared to a 20 year old eye
so amount of light entering the older adult eye may be 10x less compared to yound adults eye
because the illuminance is calculated from the area of the pupil, when the pupil diameter is halved, retinal illuminance is reduced by a factor of 4

blur circle and their dependence on pupil size
myopic eye as rays of light being brought to a point focus in front of the retina
gives rise to a blur circle on the retina
red ra at the top and red ray at bottom. gap between the two corresponds to the blur circle
if the pupil is smaller or made smaller using a pinhole disc , blur circle reduces
myopia remains the same/ uncorrected but its impact is reduces when pupil is smaller as peripheral rays are cut out
depth of field
for a given setting of an optical system, it is the distance over which an object may be moved without causing a sharpness reduction beyong a certain tolerable amount
dof increases increases when diaphragm or pupil diameter reduces in size, such as when the pupil gets smaller
dof is bigger in older eye
dof examples
viewing at infnity, dof is from infinity up to 3.6m from the eye for a pupil diameter of 4mm. at 3.6mm target will still look in focus unless it is closer than 3.6. no change in accom is required between infin to 3.6
so without any change accomodation, objects up to 3.6m appear in focus
but depth of field runs from infinity up to 2.3m from the eyes for a pupil diameter of 2mm
what is depth of field rrange for viewing at 1m
will range from 1.4 to 0.8m for a 4mm diameter pupil
from 1.4-0.8 objects remain clear without accomodating change
what is dof for viewing at 1m when pupil diameter is 2mm
dof ranges from 1.8m to 0.7m - bigger dof as pupil is smaller

dof is much bigger on the right as the aperture is smaller
more detail is seen

eye in focus on B
accomodating to point B and forms image on retina at B’
object moves forward to B1, so eye is under accomodating giving rise to blur on the retina
B2: if target is brought further away it will still be clear
as close as B1: will still be clear
what is depth of focus
for a given setting of an optical system, it is the distance in front and behind the focal point over which the image may be focused without causing a sharpness reduction beyond a certain tolerable amonnt
depth of focus is inversley proportional to the diameter of the diaphragm/ pupil
depht of focus is larger in older eyes as pupil is smaller
units given in D
what is the difference between depth of field and depth of focus
depth of field is the range of object distances in front of the eye that appear clear without changing accom
depth of focus is the range in which the image can shift on the retina whilst still being clear - object doesnt move
depth of focus example
if the depth of focs is 0.50D for an eye looking at an object at a particular distance, the light can be brought to a focus by up to 1/4D in front of the retina or by up to 1/4D behind the retina and the image will still be percieved as in focus

depth of field isin front of eye
dep of focus ar retinal level
at point O, without change in accom eye is accom here
without any change in accom the object will be seen clearly as long as it doesnt fall outside of d-of-field
provided the image of the object falls somehwre along the arow of the d-of-focus , object appears clear
how can we make use of the increased depth of field and depth of focus which accompany a smaller pupil?
increased dof/dofoc make the eye less susceptible to blur
it doesnt remove the cause of the blur but makes us less aware of it
accom testing also impacted by pupil size
pupil size and unaided vision
when the pupil size is reduced, less light nters the eye but the impact of aberrations and uncorrected refractive error is reduced
reduction in blur circle means the same uncorrected refractive errro has a much reduced effect on vision
impact of a given amount of myopia on unaided vision will be greater at night than during the day as pupil enlarges
purpose of pinhole disc
reduces the pupil size artificially so the pupil diameter is 1mm
if the diameter is any smaller than 1mm optical problems can occure from diffraction
pinhole disc
used when practitioner having difficulty improving VA in an eye
if VA has imporved to 90 during subjective refraction but no further improvement, either there is an optical problem or more uncorrected refactive error
or the neural system is not capable of better VA as there could be ie retinal disease
pinhole disc allows us to distinguish between these options
if pinhole in place and va jump from 90 to 110 then the problem is optical
if with pinhole it doesnt improve likely there is a neural problem

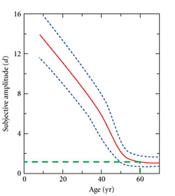
amp of accom fall sto 0 at age 60
even tho amp falls to 0 by age 60, graph shows around 1D
this is due to depth of focus
small pupil means that objects from infinity up to 1m away appear clear
inside 1m , blurred
this gives the false appearance that amp of accom is 1D
reduction in pupil size with age helps to maintain clear vision up to 1m despite loss of accom