1/30
Looks like no tags are added yet.
Name | Mastery | Learn | Test | Matching | Spaced | Call with Kai |
|---|
No analytics yet
Send a link to your students to track their progress

Vulcanization of rubber

thermoplastic elastomer

chain growth polymer
carbon cov
4
hydrogen cov
1
oxygen cov
2
nitrogen
3
Cl,fl,Br,Io
1
sulfur
2
aliphativ
can be linear or cyclical
can have saturated and unsaturated (double or triple) bonds”
less thermally stable, can ’
Aromatic
cyclic
thermally more stable
single and multiple bonds interact w each other for free flow across molecules
Benzene upon substitution
phenyl ring

ortho

meta

meta
amine
—NH2
Isocyanate
—N=C=O

urethane

carbonate

amide

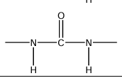
urea
as MW of PE increases the —— approaches asymptotic value of —-
melting point, 145degree C

Low distribution of MW

high distribution of MW

High distribution of MW with an additional high MW component
number average (Mn)
Mn can be correlative with polymer colligative ie freezing point depression
Weight average MW
MW may be correllated with properties such as melt viscosity
Z average
MZ related to toughness
Polydispersity
shape of the distribution
order them for any polydisperse peak:
Mn mz MW
mn<mw<mz
dipole dipole or hydrogen bonding is stronger?
hydrogen bonding