1/54
Looks like no tags are added yet.
Name | Mastery | Learn | Test | Matching | Spaced | Call with Kai |
|---|
No analytics yet
Send a link to your students to track their progress
1. BH3/THF
2. NaOH, H2O2

Sn HCl

1. H2
2. Pd/C

K2Cr2O7

1. Br2
2. FeBr3

CO HCl AlCl3

Zn(Hg) H3O+
or
NH2-NH2 NaOH

HCN

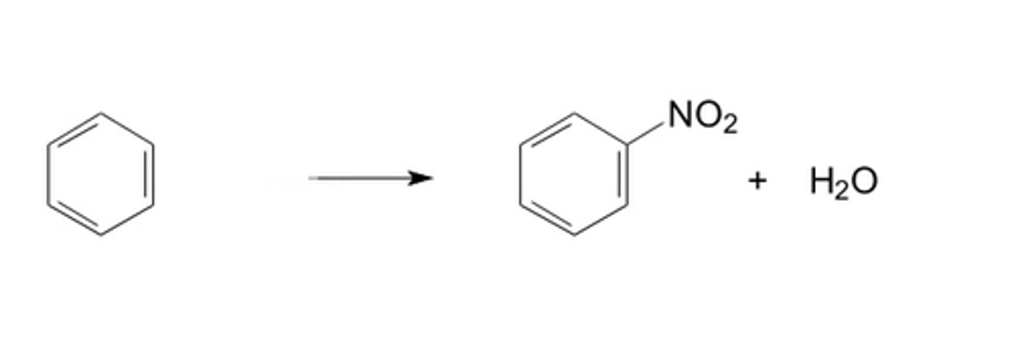
1. HNO3
2. H2SO4

K2Cr2O7 or PCC

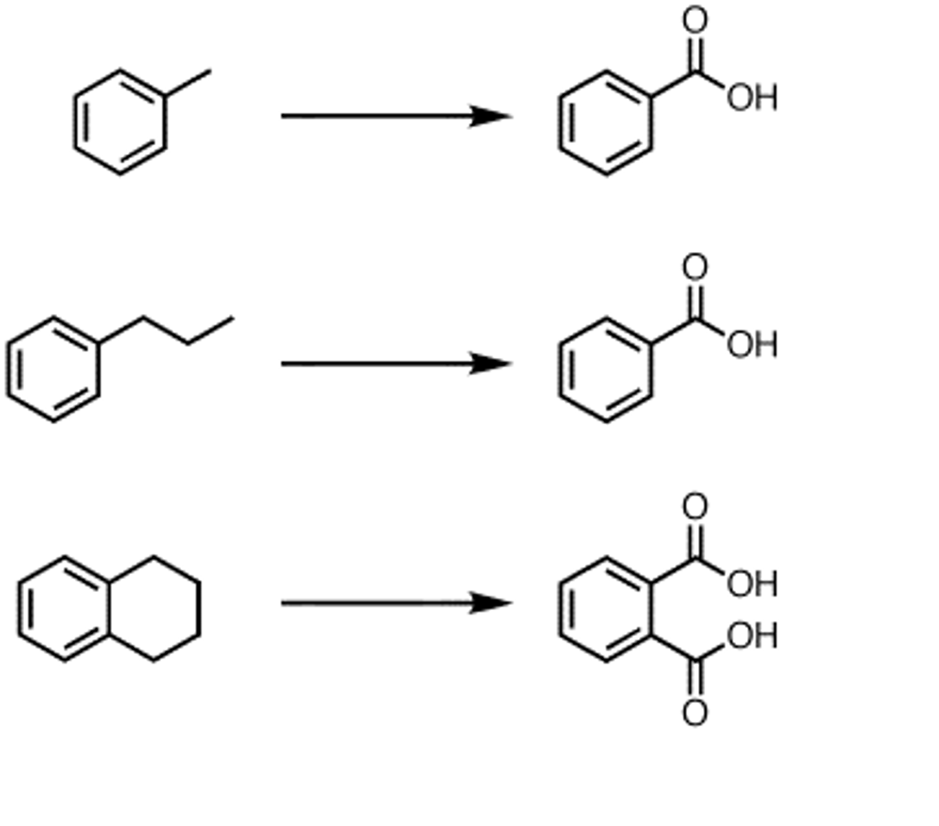
KMnO4

LiAlH4 H3O

mCPBA

NBS
hv

1. O3
2. Zn

PBr3

PCC

1. POCl3
2. Pyridine

1. SO3
2. H2SO4

1. NaBH4
2. H2SO4, H2O

1. NaBH4
2. H3O

Imine

Enamine

1. LiAlH4
2. H3O

Acetic Acid

NaOCH2Ch3, CH3CH2OH

LDA

DIBAH

RMgX

H+/H2O

H3O+, heat

H3O, H2O

RCOOH Br2

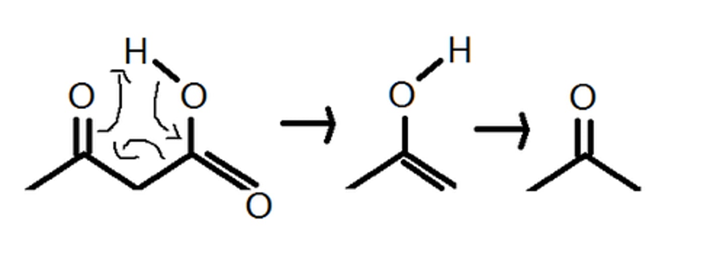
B gets attacked
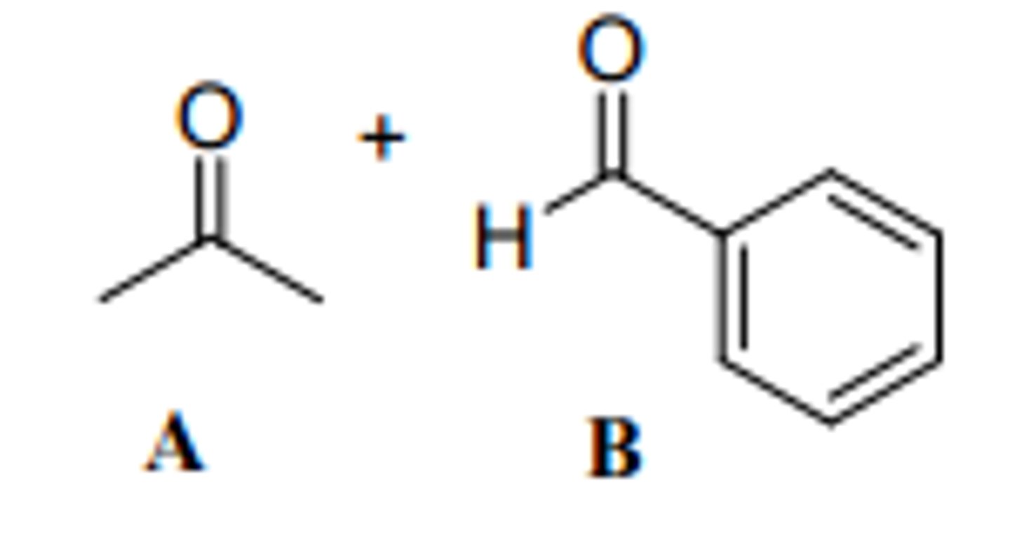
Which is attacked?

KCN

H2O
NaOH/HCl

LiAlH4 H3O (Nitrile)

Ph3P

CO2
What else is produced?

Oxime

NaBH4

1. LDA
2. CH3Br

NaOH Br2

An Amide and Alcohol
What forms from an ester and amine?

LiAlH4, ether, H3O+

SOCl2

1. Mg in ether
2. CO2
3. H3O+

AlCl3

1,2-ethanediol

KMnO4 (alkene)

A Carboxylic Acid

A Ketone

An Aldehyde

NaOH

Tollen's Reagent
