1/7
Looks like no tags are added yet.
Name | Mastery | Learn | Test | Matching | Spaced | Call with Kai |
|---|
No analytics yet
Send a link to your students to track their progress
What is always true for a CNS active drug?
it crosses the blood brain barrier
Co-ingestion of which common drug increases CNS toxicity with benzodiazepines?
Alcohol

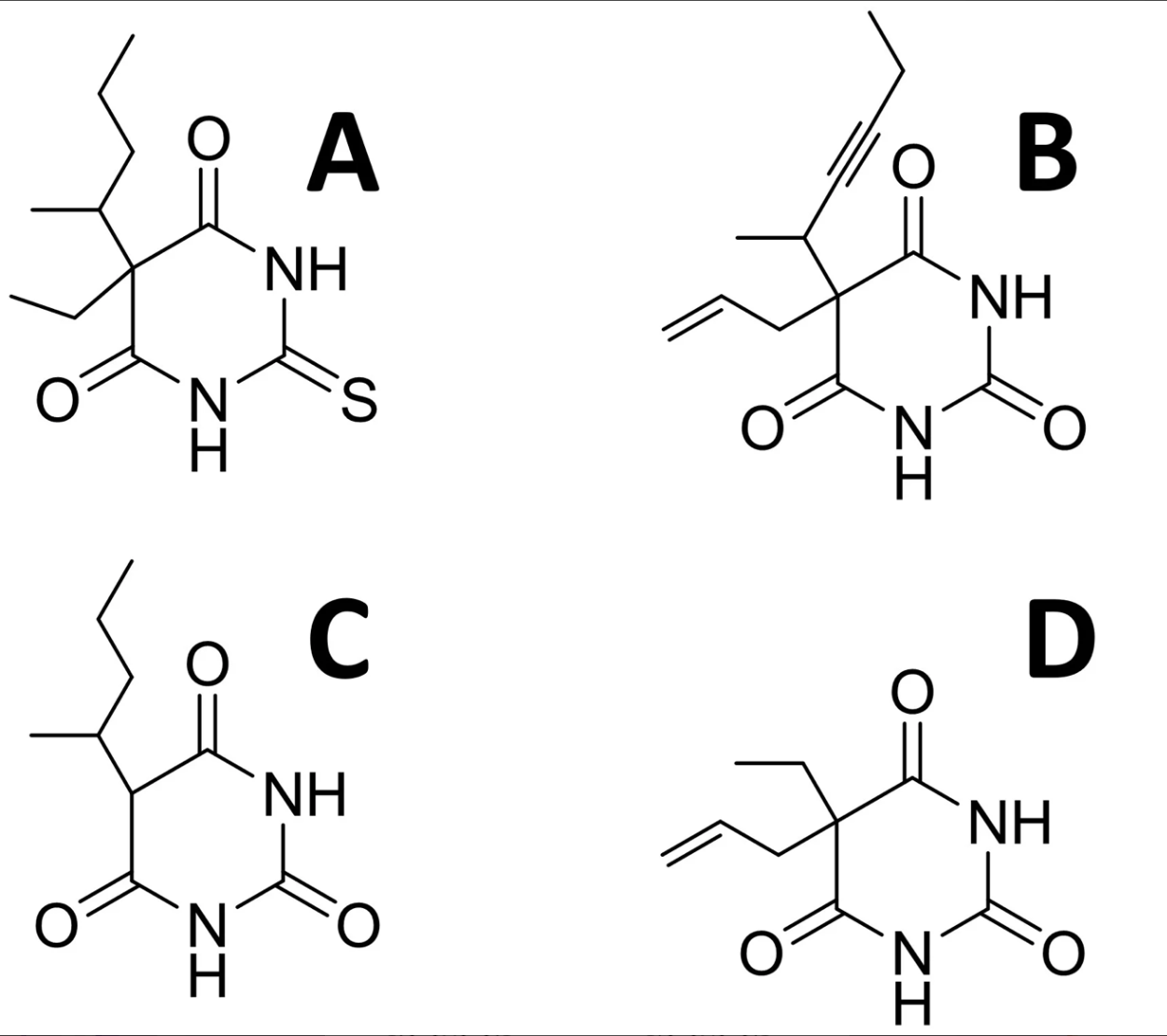
Which barbiturate will not have CNS depressant activity?
C

Which barbiturate will have the slowest onset of action?
D

Which barbiturate will have the fastest onset of action?
A

Which barbiturate will have the shortest duration of action?
Aย

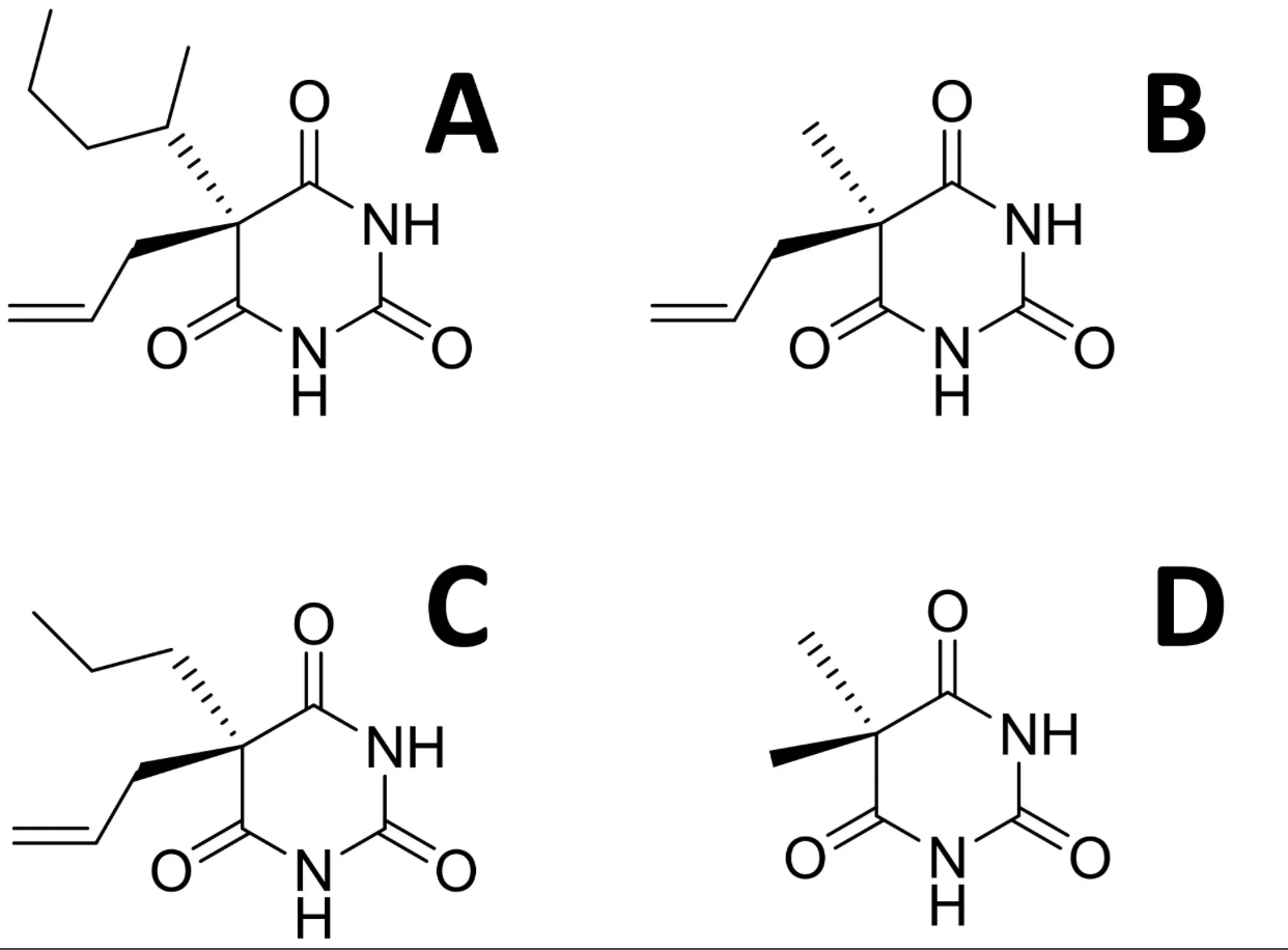
Which cannot penetrate the BBB?
D
Phenobarbital is formulated as the sodium salt. Phenobarbital is most likely which type of drug?
Acidic