1/29
Looks like no tags are added yet.
Name | Mastery | Learn | Test | Matching | Spaced | Call with Kai |
|---|
No analytics yet
Send a link to your students to track their progress
Podaj definicijo krožnice.
Krožnica je množica točk na ravnini, ki so enako oddaljene od izbrane točke, imenovane središče (S). Razdalja od središča do poljubne točke na krožnici se imenuje polmer
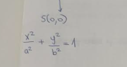
Zapiši enačbo krožnice s središčem v izhodišču S(0, 0)
x^2 + y^2 = r^2.

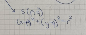
Zapiši enačbo krožnice s središčem v poljubni točki S(p, q).
(x - p)^2 + (y - q)^2 = r^2

Zapiši obrazec za izračun razdalje točke A(x_0, y_0) od premice p: ax + by + c = 0

Podaj definicijo elipse.
Elipsa je množica točk na ravnini, za katere je vsota razdalj do dveh izbranih točk (gorišč) konstantna
Zapiši enačbo elipse s središčem v izhodišču S(0, 0)

Zapiši enačbo elipse s središčem v poljubni točki S(p, q)

Kaj sta parametra a in b pri elipsi, kjer je a > b?
a je velika polos, b pa mala polos.

Kako izračunamo linearno ekscentričnost (e^2) za elipso, kjer je a > b?
e^2 = a^2 - b^2.

Kakšna je formula za numerično ekscentričnost

Kje ležita gorišči G_1 in G_2 pri elipsi s središčem S(0, 0), kjer je a > b?
Gorišči ležita na osi x v točkah G_1(-e, 0) in G_2(e, 0).
Kako je orientirana elipsa, če velja a < b?
Elipsa je raztegnjena navpično, kar pomeni, da je njena glavna os vzporedna z osjo y.
Kaj sta parametra a in b v primeru a < b?
b postane velika polos, a pa mala polos.
Kako izračunamo linearno ekscentričnost ($e^2$), ko je $b$ večji od $a$?
e^2 = b^2 - a^2
Kje ležita gorišči G_1 in G_2 pri navpični elipsi (a < b) s središčem v izhodišču?
Gorišči ležita na osi y v točkah G_1(0, -e) in G_2(0, e).
Kako se spremeni formula za numerično ekscentričnost ko je a < b?

Podaj definicijo hiperbole.
Hiperbola je množica točk na ravnini, za katere je absolutna vrednost razlike razdalj do dveh izbranih točk (gorišč) konstantna.
Zapiši enačbo hiperbole s središčem v izhodišču S(0, 0).

Kdaj ima hiperbola enačbo (x^2 / a^2) - (y^2 / b^2) = 1 in kakšna sta takrat parametra a in b?
Ta enačba velja za hiperbolo, ki se odpira levo in desno (vzdolž osi x). Parameter "a" je realna polos, "b" pa imaginarna polos.

Kdaj ima hiperbola enačbo (x^2 / a^2) - (y^2 / b^2) = -1 in kateri parameter je takrat realna polos?
Ta enačba velja za hiperbolo, ki se odpira gor in dol (vzdolž osi y). V tem primeru je "b" realna polos, "a" pa imaginarna polos.

Kako izračunamo linearno ekscentričnost (e^2) pri hiperboli?
e^2 = a^2 + b^2
Kakšni sta enačbi asimptot hiperbole?
y = ± (b / a) * x

Kako izračunamo numerično ekscentričnost (epsilon) hiperbole?
epsilon = e / (realna polos). To pomeni e/a za vodoravno hiperbolo in e/b za navpično hiperbolo.
Podaj definicijo parabole.
Parabola je množica točk, ki so enako oddaljene od izbrane točke (gorišče) in izbrane premice (vodnica).
Zapiši enačbo parabole s temenom v izhodišču T(0, 0).
y^2 = ± 2px.

Zapiši enačbo parabole s temenom v poljubni točki T(t, k).
(y - k)^2 = ± 2p(x - t).

Kje leži gorišče parabole, ki ima teme v izhodišču?
Gorišče leži v točki (p/2, 0).
Kaj predstavlja parameter "p" pri paraboli?
Parameter "p" predstavlja razdaljo od premice vodnice do gorišča
Kakšna je enačba premice vodnice za parabolo s temenom v izhodišču?
x = -p/2.