1/64
Looks like no tags are added yet.
Name | Mastery | Learn | Test | Matching | Spaced | Call with Kai |
|---|
No analytics yet
Send a link to your students to track their progress
What is a fluid
A fluid is a material that can be at equilibrium without stress in many different configurations, deforms continuously under application of a shear stress
What is a solid
A solid material has a unique configuration in the absence of stress. Has a finite deformation under application of a shear stress
What is the continuum assumption
the properties of the bulk material are the same as those of the infinitesimal subunit (considering a continuum: deformations and forces depend on position)
What is the definition of stress
a measure of forces acting in a continuum
What is strain
a measure of displacements and deformations of a continuum
What is strain rate
a measure of rate of deformation of a continuum
What is a constitutive equation
states how the stress depends on the strain and/or rate of strain, and depends on the physical properties of the material
(constitutive equations being phenomenological models, consist of unknown constants, that must be fit with experimental data)
What are the 5 steps for constitutive formulation
Solid/Fluid
Linear/Nonlinear
Elastic/Inelastic/Pseudoelastic
Homogeneous
Isotropic
Pseudoelasticity
Describes the behaviour of biological tissues
nonlinear (initially compliant, then very stiff)
pronounced hysteresis during cycling
the stress strain curve shifts following several cycles and tends to stabilise after a number of cycles (preconditioning)
hysteresis decreases during preconditioning and response becomes repeatable after 3-10 cycles
relaxation curve similarly change with cycling

Preconditioning
Preconditioning effect refer to an evolving mechanical response to repeated loading and were first described for uniaxial tensile testing of skin
Change in internal structure (collagen, elastin PGs) which organise over cycling and therefore grant a more repeatable response
The goal of preconditioning is to achieve a steady and repeatable mechanical response and to measure material properties that are representative of the in vivo condition

How do you choose the constitutive equations
Constitutive equations choice depends the level of complexity required using the equation

What is the equation for the strain definition
𝑑𝑥 = 𝜕𝑥
𝜕𝑋ଵ
𝑑𝑋ଵ + 𝜕𝑥
𝜕𝑋ଶ
𝑑𝑋ଶ + 𝜕𝑥
𝜕𝑋ଷ
𝑑𝑋ଷ

What is the deformation gradient tensor, F
𝑑𝑥i = 𝐹ij𝑑𝑋j
Right Cauchy Green Strain Tensor
Measures the squared length of a small element in the final configuration, in terms of the original length and orientation

Green-Lagrange Strain Tensor
Change in squared length of a small element in terms of original length and orientation

What is the determinant of the deformation gradient tensor
J=det(F) which represents the local ratio of the current volume to the initial volume
What is the displacement vector
𝐮 = (𝐮𝟏, 𝐮𝟐, 𝐮𝟑) = (𝐱𝟏−𝐗𝟏, 𝐱𝟐 −𝐗𝟐, 𝐱𝟑-X3)

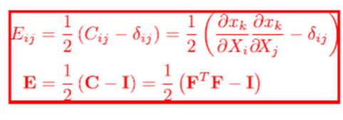
What is a term of Eij in the Green Lagrange Strain Tensor
see image

What is term Eij for small deformations
Eij = eij

What is the Cauchy Strain tensor for infinitesimal strain not valid for large deformation (more than a few % strain)
rewrite u(u,v,w) in x,y,z we get

Cauchy Stress Tensor
Known as true stress because it refers to the current deformed geometry as a reference force and area
First Piola Kirchoff Stress
Defined by the force, initial area, and unit normal vector N in the undeformed geometry (initial geometry). In short, it refers to force in the current geometry (deformed) and area in the initial geometry (undeformed)
Second Piola Kirchoff Stress
Derived from the First Piola Kirchoff Stress Vector
What does the Cauchy stress T represent
The Cauchy stress T represents the force acting on a deformed (spatial) configuration per unit area of the deformed (spatial) configuration
What does the first Piola-Kirchoff stress represent
The first Piola-Kirchoff stress represents the force acting on a deformed (spatial) configuration per unit area of the undeformed (material) configuration
What does the Second Piola Kirchoff Stress Represent
The Second Piola-Kirchoff Stress represents the force acting on the undeformed (spatial) configuration per unit area of the undeformed (material) configuration, essentially translating the stress to the original, unstrained state

What does the Green-Lagrange strain represent
In continuum mechanics, the Green-Lagrange strain is a measure of finite strain that is often paired with the Second Piola-Kirchoff stress, which is considered a “material stress” because it represents stress values referenced to the undeformed configuration of a body, making them mathematically conjugate to each other when used in constitutive equations for large deformations
Essentially this means that the Green-Lagrange strain describes the deformation relative tot he original shape, while the Second Piola-Kirchoff stress reflects the forces acting on that original shape

What is the difference between Second Piola-Kirchoff stress and Cauchy stress
Since the stress is physically directed along the beam, the x-component of the Cauchy stress (which is related to the global x-direction) decreases with deflection
The Second Piola-Kirchoff stress however, has the same through-thickness distribution all along the beam, even in the deformed configuration
What is elastic material physical definition
If under applied loads a material stores but does not dissipate energy, and it returns to its original shape when when the loads are removed, we call that material elastic

What is the mathematical definition of an elastic material
If we can define a strain energy function for a material, and when differentiated that strain energy function defines stress in the material, we call that material elastic

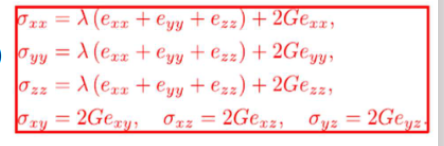
Linear Elastic Model using constant Cijkl
W=1/2 Cijkl Eij Ekl

Linear elastic material model when the material is isotropic
For the material to be isotropic only one form is possible based on two constants lambda (bulk modulus) and G (shear modulus)

Linear elastic material Youngs Modulus and Poissons Ration
E=G(3lambda+2G)/(lambda + G)
v=lambda/[2(lambda+G)]
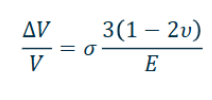
Equation for incompressible uniaxial stress
o3(1-2v)/E
To have delta V=0, we need to have Poisson’s ratio v=0.5
Therefore, this value is often assumed for biological tissues. But, if a tissue is deformed slowly enough, water can move relative to other tissue components, allowing compression of the tissue, and then v=/0.5. This may not be valid when anisotropic behaviour is observed

Hysteresis
Under cyclic loading, the stress is higher during loading than during unloading for the same strain
How many independent material parameters in the orthotropic linear elastic material
nine

How many independent material parameters in the transversely isotropic linear elastic material
five

Isotropic hyperelastic material definition
An isotropic hyperelastic material can be defined in terms of three invariants as the deformation measures
General strain energy function
w=W[I^1 (cij), I² (Cij), I³ (Cij)]
![<p>w=W[I^1 (cij), I² (Cij), I³ (Cij)]</p>](https://assets.knowt.com/user-attachments/a4055d95-341a-4ea3-99fc-06cb5337548d.png)
Strain energy function Mooney Rivlin
W=c1(Ic-3)+c2(IIc-3)

C written in terms of principal stretches
h1^-2+h2^-2+h2^-2

Useful form of strain energy function (using 2nd Piola Kirchhoff Stress and Differentiating the strain energy with respect to the Green-Lagrange Strain)
W=1/2 c (e^q -1)
Viscoelastic material
A viscoelastic material has a stress-strain relationship which is time-dependent and is highly sensitive to the strain rate
There are 3 main characteristics of viscoelastic materials: creep, stress relaxation and hysteresis

Glycosaminoglycans
GAGs are long unbranched polysaccharides attached to a protein core to form proteoglycans, high negative charge of which makes GAGs hydrophilic
What is creep
creep- after a step increase in stress, a material continues to deform with time

What is stress relaxation
stress relaxation - after a step increase in strain, stress decreases with time

What is a hysteresis loop
Hysteresis loop: it describes the differences in loading and unloading curves in a viscoelastic material as well as the energy dissipated

What is the loading-rate dependence
Loading-rate dependence: the material acts as stiffer the higher the strain rate is. At high strain rate it acts as a fragile material, at low strain rate it acts as a fluid

What is maxwell fluid
A dashpot in series with a spring: Maxwell fluid because it cannot support a stress without deforming
Strains in series.. (Maxwell)
add (u=u1+u’)
Stresses in series are… (Maxwell)
the same (F=F throughout)

What is a Voigt solid
A dashpot in parallel with a spring: Voigt “solid” because t can support a stress with a finite deformation
Strains in parallel... (Voigt)
are the same (u=u throughout)
Stresses in parallel… (Voigt)
add (F=F1+F2)

What is the Kelvin Model
A spring in parallel with a Maxwell Fluid

What is Creep Behaviour
A unit force is applied to an initially undeformed mateial

Relaxation Behaviour
A unit displacement is applied to an initially undeformed material

Creep and Relaxation models have a …….. exponential rate constant (the creep or relaxation time)
single
Strain behaviour over time of a viscoelastic material is a…
function of the creep function and the stress
Stress behaviour over time is a function of the…
stress relaxation and the strain
Boltzmann generalisation for viscoelastic models
A specific material the increment in stress over a small-time interval dt would be

Boltzmann with the creep function J at a time t
J(T-t) dot/dt dt

When is Quasi Linear Viscoelastic theory used
When you need to account large deformation experienced by biological tissues

Dynamic Mechanical Analysis (DMA)
A technique where a small deformation is applied to a sample in a cyclic manner. This allows the materials response to strain, temp, freq and other values to be studied

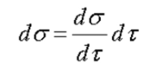
How can stress and strain be described using complex variables
see image
