1/211
Looks like no tags are added yet.
Name | Mastery | Learn | Test | Matching | Spaced | Call with Kai |
|---|
No analytics yet
Send a link to your students to track their progress

D-glucose
ose simples
obtida através da hidrólise enzimática do amido
administração parentérica
funções vão depender da percentagem presente:
5 a 10%: na prevenção da desidratação intra e extracelular, hidratação, profilaxia e tratamento de cetose (desnutrição), aporte calórico e como veículo de aporte terapêutico
15, 20, 30 e 50%: nutrição parentérica e hipoglicemia; é de perfusão lenta, sendo utilizada em casos de glicosúria, acetonúria e caliemia, e faz suplementação de insulina e potássio

D-frutose
ose simples
obtida por hidrólise da inulina, ou a partir do açúcar invertido
É utilizada na alimentação parentérica de diabéticos e desportistas
edulcorante

D-sorbitol
ose simples
Hidrogenação da glucose
Laxativo osmótico (retenção de água e eletrólitos)
Ácidos estimulantes do peristaltismo
Colecistocinético
Administração parentérica (5, 10%) = glucose
Edulcorante (E420)
Diabéticos (-> frutose -> glicogénio)
Farmacotecnia: regulador de humidade (pós), retardamento da cristalização, textura (formas pastosas

Xilitol
ose simples
Edulcorante (E967)
Xaropes
Não acidogéneo
Ação sobre Streptococcus mutans (saliva, placa dentária),
Prevenção da cárie, estimulação do fluxo salivar
Problemas gastrointestinais por consumo excessivo (flatulência, diarreia)
D- sorbitol, uso:
Obstipação, dispepsia
Fermentação lenta, baixa o pH cavidade bucal
D- sorbitol, Contra-indicações:
Colonopatia inflamatória
Síndrome oclusivo
Síndrome doloroso abdominal
Xilitol, Contra-indicação
< 3 anos

D-manitol
ose simples
Diurético osmótico (via parentérica) - filtração glomerular, sem reabsorção tubular
Doses elevadas: + excreção Na+, Cl-, K+
Soluções hipertónicas (perfusão) – oligoanúria, edema cerebral, hipertensão intraocular
Edulcorante (E421)
Laxativo osmótico/ Colecistocinético -> Obstipação, dispepsia (via oral)
Maná
ose simples
Manitol (70%), glucose, frutose, oligossacáridos
Obstipação
Fissuras anais, hemorroidas, cirurgia retal/anal
Náuseas, cólicas
Pode ser usado em pediatria

D-glucosamina
ose simples
Estimulação das células formadoras de cartilagem -> Osteoartrose
Hipersensibilidade (crustáceos?)

Ácido fítico
Antioxidante
Diminui o Colesterol
Diminui a absorção de Ca2+ -> Hipercalciúria – regime alimentar, calciúria, Litíase cálcica, Metabolismo do cálcio
Lactose vs Lactulose
Lactose - Tem poder redutor, é um diluente
Lactulose - Não tem poder redutor, é principalmente um Laxante osmótico, mas é usado para obstipação
encefalopatia hepática (diminui a absorção e ajuda na eliminação do amoníaco)
Amido
Encapsulamento molecular (não covalente), leva a:
- Estabilidade (térmica, química)
- Solubilidade e dispersibilidade
- Biodisponibilidade
- Interações
- Degradação (gástrica, ocular)
- Sabor, odor
Serve para:
- Princípios ativos
- Aroma e cor
- Cromatografia – moléculas quirais

Sugamadex
ciclodextrina
Rocurónio, vecurónio -> Bloqueio neuromuscular
Serve para despertar após anestesias! Diminui o efeito dos neurobloqueadores.

Acarbose
Formado por: Acarviosina + maltose
Sintetizado com: Actinoplanes sp. SE50
Serve para: Inibe a alfa-glucosidase, usado na diabetes tipo ii.

Dextranos
alfa-D-glucopiranose
Produzido por: Lactobacillus, Streptococcus
Dextrano 70 em solução a 6%:
- Viscosidade e osmolaridade próximas da do plasma
(Possibilidade de ocorrência de reações de hipersensibilidade)
Dextrano 1
Prevenção de reações anafiláticas (bloqueio de anticorpos)
Colírios: insuficiência lacrimal, lentes de contacto
Dextrano 70 em solução a 6%, Indicações:
Choque hemorrágico, traumático, toxi-infecioso, desidratação,
queimaduras graves

“Goma” xantana
Vem de uma couve, Xanthomonas campestris.
Estabilizante
Gelificante
E415
Saliva artificial

Lentinano
Vem de cogumelos, como Lentinus edodes (Shiitake), Schizophyllum commune (Esquizofilano) e Coriolus versicolor (Krestin).
Imunoestimulante (Dectina-1)
- Proliferação de linfócitos
- Atividade dos macrófagos
- Produção de citoquinas
Usado no Cancro, como associação.
Algas castanhas
Exemplos, Laminaria, Macrocystis, Fucus.
Sofrem lavagem ácida, Maceração a quente e precipitam com uma solução de alginato sódico, antes de serem usadas.
Depois deste processo obtemos Ácido algínico e alginatos.

Usos de Algas castanhas na forma de Ácido algínico e alginatos.
Usados como excipiente em:
- Formulações retard e gastrorresistentes
- Espessante, ligante, desagregante
- Leites protetores (dermocosmética)
ex: Biafine.
Usados como Substância ativa em:
- Patologia digestiva (NaHCO3 , Al(OH)3)
Refluxo gastroesofágico, isofagite, pirose
- Compressas per- e pós-cirúrgicas e feridas crónicas Ca2+ : absorção de serosidades e desbridamento
- Hemostático
Feridas, úlceras hemorrágicas, odontologia
Ex: Gaviscon e proteses dentárias.
Usados como Aditivo alimentar em:
Ácido algínico (E400)
Alginatos: Na (E401), K (E402), NH4 (E403), Ca (E404)

Algas vermelhas, Carrageninas
Excipiente
- Cremes, emulsões, pastas
- Cosmética
Terapêutica
- Obstipação
- Úlcera gástrica (neutralização da pepsina)
- Regimes de restrição
- Resfriados (carragenina: hidratação da mucosa nasal)
Indústria alimentar
- E407
- Estabilizantes, gelificantes, inibidores de cristalização
(produtos lácteos)

Alga vermelha, Agar-agar (gelose)
Vêm de Gelidium, Gracilaria.
São usadas como:
- Pomadas, cremes, suspensões, emulsões
- Proteção gástrica
- Laxante mecânico
- Meio de cultura
- Espessante (E406)
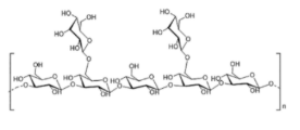
Inulina
Não tem poder redutor e é um bifinogenico, ou seja, uma fibra.

Frutanas
Substância de reserva, Órgãos subterrâneos.
Não têm poder redutor, como a inulina e são pré-bioticos.
Colerético (produção de líquido vesicular) e colagogo (libertaçãode líquido vesicular)
Eliminação renal de água
Tratamento de distúrbios digestivos
Gomas
São Polissacáridos heterogéneos e ramificados, Ácidos urónicos.
Vêm de um traumatismo
(polissacáridos da parede, amido), que é exsudado e depois passa por secagem.

Goma estercúlia
Vem de Sterculia spp., S. urens, S. tomentosa.
Serve para:
Obstipação
Regimes de emagrecimento
Aparelhos de colostomia
Próteses dentárias

Goma arábica
Vem de Acacia spp., A. senegal, A. seyal.
Serve para:
- Emoliente e béquico
- Estabilizante e emulsionante (E414)
- Encapsulamento de aromas
Incompatível com gelatina, sais de ferro, fenóis!!!

Goma adraganta
Vem de Astragalus spp., A. gummifer.
Serve para:
Obstipação
Estabilizante (suspensões, emulsões)
Espessante (E413)
Mucilagens
Formações histológicas especializadas
Retenção de água → desidratação das sementes → Germinação

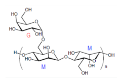
“Goma” de alfarroba
Vem de Ceratonia siliqua.
É uma mucilagem neutra.
É uma Galactomanana, tem 1 galactose (G) e 4 M.
Serve para:
- Regurgitamento do lactente
- Diarreia do lactente
- Regimes de emagrecimento
- Produtos lácteos (E410)

“Goma” de guar
Vem de Cyamopsis tetragonolobus.
É uma mucilagem neutra.
É uma Galactomanana, tem 1 galactose (G) e 2 M.
Serve para:
- Baixar Hiperglicemia e insulinemia pós-prandial (insuficiente para diabéticos)
- Viscosidade: esvaziamento gástrico, absorção intestinal de açúcares
- Baixar Colesterolemia e LDL
- Afeções esogastroduodenais (Al, Mg)
- Refluxo gatroesofágico
- Espessante (E412)
Cuidado!!!
Ingestão desadequada de líquidos:
Obstrução esofágica
Oclusão intestinal

Konjac
Vem de Amorphophallus konjac.
É uma mucilagem neutra.
Serve para:
- Regimes hipocalóricos
- Baixar Colesterolemia e LDLc
-Obstipação, antiácido
- Espessante (E425)
Tília
É uma mucilagem ácida.
Constituída por 5 frações: D-galactose, L-arabinose, L-ramnose, ácidos urónicos.
Serve para:
- Problemas menores do sono
- Afeções dermatológicas
- Diaforético (causa transpiração)
- Afeções das vias respiratórias
Alteia e Malva
São mucilagens ácidas.
Constituidas por Ramnogalacturonana, ácidos urónicos, galactose (pectinas).
São Anti-inflamatórios, Emolientes, Béquicos.
Usadas em:
- Tratamento sintomático da tosse
- Problemas digestivos
- Afeções dermatológicas
- Afeções da cavidade bucal
Plantago
Vem de Tanchagem-maior P. major e Tanchagem-menor P. lanceolata.
É uma mucilagem ácida.
É um Emoliente e Anti-inflamatório (iridoides).
Usado em:
- Afeções dermatológicas (calmante, antipruriginoso)
- Irritação / desconforto ocular
- Afeções das vias respiratórias e orofaringe
Linho
Vem de Linum usitatissimum.
Tem mucilagens, que fazem com que Absorção de água - aumenta a massa, humidade, acidez do bolo fecal, o que aumenta o peristaltismo.
Usado como:
- Laxante mecânico
(H2O)
- Emoliente
- Proteção (inflamação)~
Mas também tem lenhanhas e interolenhanhas com efeito estrogénico.
Linho, Contraindicações:
Afeção do esófago
Oclusão intestinal
Hemorragia
< 12 anos
Grávidas, aleitamento
Cancro hormono-dependente
Péctinas
Existem dois tipos distinguidos pela sua metilação.
Tipo 1 - ramificadas
Tipo 2 - líneares
Baixam a Colesterolemia e LDLc
Baixam Absorção de glucose
Aumentam Excreção de ácidos biliares
Biodisponibilidade de vitaminas
Uso:
Espessante do conteúdo gástrico
Obstipação
Regurgitamento do recém-nascido
Estabilizante e gelificante (E440)
Lípidos
Ésteres de ácidos gordos e de um álcool ou de um poliol
Constituintes das membranas celulares, proteção e revestimento, reserva energética
Substâncias hidrófobas, solúveis nos solventes orgânicos apolares ou pouco polares, não voláteis
Ácidos gordos ómega-3
Doença cardiovascular
Cancro
Doença de Alzheimer, demência e função cognitiva
Degeneração macular
Artrite reumatoide
Diabetes
Problemas de pele
Interações:
Anticoagulantes, antiagregantes plaquetários
Anti-hipertensores
Lípidos complexos
C, H, O, N, P
ex: Amino-álcoois (Lecitinas), Polióis
(Fosfatidil-inositóis), Polióis fosfatados
(Fosfoinositósidos), Ácido α-glicerofosfórico.
Lípidos simples
C, H, O
Acilgliceróis = Glicéridos
Glicerol
Simples / Mistos
Triacilgliceróis
Céridos
Álcoois alifáticos de PM médio e elevado
Mono-hidroxilados, lineares, saturados (C14-C36), mono-insaturados (C14-C20)
Ceras (proteção, revestimento)
Reserva energética
Estéridos
Álcoois com o núcleo fundamental do ciclopentano-per-hidrofenantreno
Metabolitos lipídicos com importância fisiológica
Eicosanoides (C20)
Corpos gordos
Misturas homogéneas nas quais predominam os lípidos (>90%)
* insolúveis na água, solúveis em solventes orgânicos apolares e nas soluções aquosas alcalinas
* densidade inferior à unidade
Estado físico:
Óleos - líquidos à T ambiente
Gorduras – consistência mole, fundem a T < 45ºC
Ceras – duras (…), fundem a T > 60 ºC, amolece entre os dedos
Composição
química, Óleos e Gorduras
Maioritariamente glicéridos.
Sólidos – ácidos gordos saturados
Líquidos - ácidos gordos insaturados
Insaponificável < 1
Composição
química, Ceras
Predominância de céridos.
Sólidas – álcoois e ácidos saturados
Líquidas - álcoois e ácidos insaturados
Insaponificável elevado
Estado físico vs composição: Óleo de jojoba
Corpos gordos, Identificação de constituintes
Ácidos gordos, glicéridos
Insaponificável – constituintes não voláteis a 100-105 ºC, não neutralizáveis, não hidrolisáveis em meio alcalino (carotenos, esteróis, álcoois triterpénicos, tocoferóis, …)
*Adição de óleos estranhos
TLC, GC, HPLC
Corpos gordos, Índices físicos
PF, ponto de solidificação, densidade, índice de refracção, poder rotatório
Corpos gordos, Índices químicos
Índice de saponificação (IS)
Índice de ácido (IA)
Índice de éster (IE)
Índice de iodo
Índice de peróxido (IP)
Insaponificável
Corpos gordos, Índices químicos - Índice de saponificação (IS)
Nº de mg de KOH necessários para neutralizar os ácidos livres e hidrolisar os ésteres presentes em 1 g de corpo gordo
< PM -> > IS
Corpos gordos, Índices químicos - Índice de ácido (IA)
Nº de mg de KOH necessários para neutralizar os ácidos livrespresentes em 1 g de corpo gordo
Valores elevados -> Decomposição de ésteres
Corpos gordos, Índices químicos - Índice de éster (IE)
Nº de mg de KOH necessários para saponificar os ésteres presentesem 1 g de corpo gordo
IE = IS – IA
Corpos gordos, Índices químicos - Índice de peróxido (IP)
Nº de meq de oxigénio activo correspondente à
quantidade de peróxidos presentes em 1000 g de corpo gordo -> Aldeídos de baixo PM
Corpos gordos, Índices químicos - Índice de iodo
Nº de g de halogéneo, calculada em iodo, adicionada pelas insaturações de 100 gde corpo gordo
Ésteres de ácidos gordos insaturados
Corpos gordos, Índices químicos - Insaponificável
Fração de constituintes não voláteis a 100-105ºC extraíveis com solvente orgânico após saponificação do corpo gordo.
Expresso em % (m/m)
corpos gordos, Com interesse em farmácia, Azeite
Olea europaea
Propriedades:
colagogo, emoliente; via parentérica
Corpos gordos, Com interesse em farmácia, Óleo de amêndoas
Prunus dulcis var. dulcis e var. amara.
Propriedades:
inflamações da pele, protector solar; via parentérica
Corpos gordos, Com interesse em farmácia, Óleo de rícino
Ricinus communis.
Propriedades:
purgativo; pomadas e cremes farmacêuticos e cosméticos (PF)
Corpos gordos, Com interesse em farmácia, Cera de carnaúba
Copernicia cerifera.
Propriedades:
polimento de drageias
Corpos gordos, Com interesse em farmácia, Óleo de jojoba
Simmondsia chinensis.
Propriedades:
emoliente, protector da pele ; pomadas e cremes
Corpos gordos, Com interesse em farmácia, Lanolina
Ovies aries.
Propriedades:
emoliente; emulsionante (fármacos hidrófilos)
Corpos gordos, Com interesse em farmácia, Óleo de fígado de bacalhau
Gadus spp.
Propriedades:
raquitismo (Vit D3), baixar colesterolemia
Corpos gordos, Com interesse em farmácia, Esparmacete
Physeter macrocephalus.
Propriedades:
emoliente, protetor da pele
Péptidos e proteínas, Biossíntese
Processo de transcrição semelhante, diferindo na tradução.
RPS: os ribossomas descodificam o mRNA para sintetizar o
peptídeo ativo.
NRPS: ribossomas descodificam o mRNA, resultando na
síntese da peptídeo sintetase não ribossomal, que
sintetiza o peptídeo ativo.
Enzimas proteolíticas, Bromelaína
Vem de Ananas comosus.
Constituído por Glicoproteínas (2)
Proteases (6).
Ação anti-inflamatória
Ação imunomoduladora (TNF-⍺, Il-1β, Il-6, Il-8)
Especialidades farmacêuticas: Nexobrid
Outras enzimas, L-Asparaginase
Vem de Escherichia coli ou de Erwinia chrysanthemi.
Leucemia linfoblástica aguda.
Especialidades farmacêuticas: Spectrila
Outras enzimas, Ciclosporina
Vem de Tolypocladium inflatum ou de Cylindrocarpon lucidum.
Faz inibição da ativação de linfócitos T, o que a torna um imunossupressor.
Antibióticos beta-Lactâmicos, Penicilinas
Vêm de Penicillium chrysogenum.
Podem conter Ácido fenilacético / Ácido fenoxiacético, degradados a pH Ácido e por beta-Lactamases.
Antibióticos beta-Lactâmicos, Cefalosporinas
Vêm de Cephalosporium acremonium.
Gram +, Gram –
beta-Lactamases
Hipersensibilidade
Antibióticos beta-Lactâmicos
nibição da síntese de peptidoglicano
(parede celular)
Antibióticos polipeptídicos, Polimixina B (B1 + B2)
Colistina = Polimixina E (A + B)
Aminoácidos D e L -> não administrados por via oral
Maior atividade sobre Gram +
Produção: misturas (1/2 a.a.) vs seleção de estirpes
Produzidas por Paenibacillus polymoxa.
10 a.a. (6 = ác. L-α,gama-diaminobutírico)
Basicidade -> Permeabilidade membranar (detergente)
Gram -
Pseudomonas aeruginosa
Acinetobacter baumannii
Klebsiella pneuminiae
Nefrotoxicidade!
Antibióticos polipeptídicos, Daptomicina
Produzida por Streptomyces roseosporus.
13 a.a.
Ácido decanoico
Infeções da pele (Gram +)
Bacteremia e endocardite por Staphylococcus aureus
Antibióticos polipeptídicos, Dactinomicina
Produzido por Streptomyces parvullus.
Pentapéptidos
Ácido fenoxazinona dicarboxílico.
Citotóxico
(inibição de RNA polimerases dependentes de DNA)
Neoplasias pediátricas - tumor de Wilms (nefroblastoma)
Carcinoma de testítculos, útero.
Antibióticos polipeptídicos, Vancomicina
Produzido por Streptomyces orientalis.
Heterósido, Aglícona tricíclica.
Infeções por Gram +
Staphylococci.
Via endovenosa
Via oral: colite pseudomembranosa (Clostridium difficile).
Compostos fenólicos
Os compostos fenólicos são compostos que possuem pelo menos um hidroxilo ligado ao anel aromático, não possuem azoto e em que a sua aromatização ocorre através da via chiquimato ou da via acetato.
Corpos fenólicos
Os corpos fenólicos são compostos que possuem pelo menos um hidroxilo ligado a um anel aromático. Este hidroxilo pode estar na forma livre ou na forma de éter, éster ou associado a um heterósido.
Do ponto de vista químico, eles são fenóis, mas do ponto de vista fitoquímico, eles não são fenóis, pois depende da sua biossíntese (esta definição não é suficiente para
caracterizar estes compostos).
Compostos fenólicos, Via chiquimato
Ocorre a formação de ácidos cinâmicos e derivados; durante este
processo, ocorre a formação de ácido chiquímico, que, por ser muito complexo, é difícil de obter em laboratório. O produto final é um anel com uma cadeia de 3 carbonos (que pode sofrer encurtamento), e ocorre oxigenação no local oposto à
cadeia; as oxigenações futuras que possam ocorrer não irão ser em posições alternadas, mas sim nos carbonos que estão ao lado.
Compostos fenólicos, Via acetato
Ocorre a adição de dois carbonos de cada vez, levando a uma hidroxilação alternada do anel
Compostos fenólicos, Mistura de ambas as vias
Surgem estruturas que sofreram ação de ambas as vias
biossintéticas, possuindo as características acima descritas de ambas as vias. Estes
compostos são:
- Acetato + Chiquimato
- Chiquimato + Mevalonato
- Acetato + Mevalonato
Compostos fenólicos, Rutura homolítica
Estes compostos podem sofrer uma rutura homolítica, em que ocorre a quebra do hidroxilo fenólico, pois comporta-se como um ácido fraco, e ele vai oxidar e originar um composto radicalar. Este composto é muito reativo, pois tem um eletrão desemparelhado, e apresentam boa atividade antioxidante porque, apesar de possuírem o eletrão desemparelhado, são menos reativos do que outras espécies oxidantes. Assim, reagem com as outras espécies, emparelhando o eletrão, mas não propagam a formação das cadeias de radicais.
Compostos fenólicos, Estabilização por ressonância leva a:
• Reações de cor
• Instabilidade
• Incompatibilidade
(Últimos 2, Farmacotécnica)
Compostos fenólicos, podem sofrer um acoplamento oxidativo:
• Intermolecular – formam-se polímeros
• Intramolecular – formam-se ciclos
Compostos fenólicos, Oxidação do anel aromático:
Estes compostos podem sofrer uma oxidação do anel aromático, que, dependendo de qual a enzima responsável por este processo, pode ou não haver clivagem do oxigénio.
compostos fenólicos, Acidez
Estes compostos comportam-se como ácidos fracos, em que o ião fenato (fenolato) é estabilizado por ressonância.
Compostos fenólicos, processos gerais de identificação
E, para identificar estes compostos, podemos fazer os seguintes processos gerais de
identificação:
• Reações diretas
• Exposição UV
• Reações de cor
• Cromatografia
Compostos fenólicos, processos gerais de identificação, Exposição UV
Reveladas por exposição direta por radiação UV ou por vapores de
amoníaco.
Compostos fenólicos, processos gerais de identificação, Reações de cor
Utiliza-se cloreto férrico (FeCl3), vanilina em meio ácido e fosfomolibdato-fosfotungstato (método de Folin-Ciocalteu)
- Nesta última reação, ela é uma reação de oxidação-redução que origina um composto azul, em que a
intensidade da cor é proporcional à sua concentração;
- Os hidroxilos fenólicos, em determinadas posições, vão quelatizar o ferro;
- A velocidade e a cor obtida podem ser critérios para determinar para
determinar qual a substância a ser avaliada, mas não são determinantes.
Compostos fenólicos, processos gerais de identificação, Cromatografia
É o método de eleição, e é feita por HPLC, tendo a seguinte deteção.
- UV – como são estruturas muito complexas, elas absorvem em comprimento de onda no ultra-violeta; este detetor apenas deteta um comprimento de onda;
- DAD (detetor de arranjo de díodos) – faz o varrimento de diversos comprimentos de onda, e como vantagem ele permite obter o espetro de UV do composto, que nos dá a sua forma (máximos) e nos pode indicar qual o tipo de composto em causa, conseguindo identificá-lo sem ter de o isolar;
- MS (espectrometria de massa) – permite detetar a massa.
O piruvato pode ser sintetizado por diversas vias:
Na via acetato, a Acetil CoA atua como precursor, e a Malonil CoA é a molécula elongadora. Cada vez que se junta uma unidade desta molécula, há a saída de uma molécula de CO2 e, por isso, o balanço geral da reação é a adição de dois carbonos.
Pode ocorrer a ciclização do β-policetoéster que, dependendo da forma como esta
ocorre, pode originar diferentes compostos.

Lactulose - Não tem poder redutor, é principalmente um Laxante osmótico, mas é usado para obstipação
encefalopatia hepática (diminui a absorção e ajuda na eliminação do amoníaco)

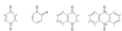
Quinonas
As quinonas são compostos que possuem pelo menos um anel aromático com duas funções cetónicas. Também são agentes de oxidação suaves, que se podem converter em hidroquinonas
através da adição de nucleófilos.
Quinonas, biossintese
A biossíntese deste composto pode ocorrer por diversas vias:
• Via acetato/malonato;
• Via ácidos mevalónico e corísmico;
• Via ácido p-hidroxibenzóico.
Quinonas, biossintese, Via acetato/malonato
É iniciada com a acetil-CoA e prolongada com o malonil-
CoA, formando uma cadeia poliacetometilénica, na qual ocorre uma ciclização, originando um sistema de 3 anéis (uma antrona). A antrona é posteriormente oxidada
a antraquinona (forma oxidada), de modo a formar o segundo grupo cetona no carbono 10. De seguida, ocorre a descarboxilação com a retirada do grupo ácido.
As consequências da via acetato/malato implicam a distribuição dos grupos hidroxilo pelos carbonos 1 e 8, um radical no carbono 3 e um grupo hidroxilo (livre ou não) no
carbono 6.
Quinonas, biossintese, Via ácidos mevalónico e corísmico
Esta via parte do ácido isocorísmico e do ácido cetoglutárico; o ácido 1,4-dihidroxi-2-naftóico (intermediário) é considerado o composto chave porque é o precursor direto das naftoquinonas. Permite ainda a obtenção de antraquinonas, caso exista um grupo prenilo (5 átomos
de carbono).
Quinonas, biossintese, Via ácido p-hidroxibenzóico
Esta via parte do ácido p-hidroxibenzóico e origina a
naftoquinonas.
Quinonas, Solubilidade
Devido à presença de açúcares (que aumenta a polaridade), vão surgir
diferentes solubilidades.
- Compostos livres (sem açúcares) – são solúveis em solventes orgânicos;
- Heterósidos (têm uma parte açucarada) – são solúveis em solventes polares (soluções aquosas e hidroalcoólicos).
Quinonas, Caracterização
Elas são doseadas pela Reação de Borntraeger (que também é usada associada a TLC) ou por HPLC (com visualização em UV/Vis).
Quinonas, Doseamento
Elas podem ser doseadas por HPLC.
Quinonas, Propriedades biológicas
Elas possuem as diferentes propriedades biológicas:
- Naftoquinonas – antimicrobiana (principalmente anti-fúngica) e citotóxica;
- Derivados de 1,8-di-hidroxiantracénicos – laxativos (mas ação laxativa diferente dos polissacáridos);
- Corantes – alguns exemplos de corantes a alizarina, uma quinona produzida na espécie Rubia tinctorium e o ácido carmínico (cochonilha) é produzido na espécie Dactylopius coccus.