1/63
Looks like no tags are added yet.
Name | Mastery | Learn | Test | Matching | Spaced | Call with Kai |
|---|
No analytics yet
Send a link to your students to track their progress
sampling distribution
predict the population mean, plotting values

standard error
average of a sample difference to the true population average

small standard error
sample mean does a good job at estimating population mean
large standard error
sample mean does not do a good job at estimating population mean
sample size affect on standard error
increasing sample size decreases standard error
sample size increase for μ, σ, s, and 𝑦ത
μ and σ: do not change
confidence interval
central portion of a standard normal curve, tells how many standard errors the sample mean is above or below the true mean

high confidence level
captures larger portion of the distribution but leads to false positives
low confidence level
produces narrower interval but with less certainty that the true mean falls inside it, more reasonable level of confidence
t distribution
replacement of s, adding uncertainty and creates a wider and heavier-tailed curved shape

certainty
how confident the interval is about capturing the true men, high CI = higher certainty
precision
reflects how tightly the interval pinpoints the true mean, lower CI = higher precision
sample size and CI
larger sample size = narrower CI
t distribution parameter
degrees of freedom, as df increases, T-distribution becomes more normal
degrees of freedom
n - 1, always round down
null hypothesis (H0)
claimed or assumed value of the population mean and serves as the baseline for assessing random chance
alternative hypothesis (H1)
competing claim and reflects the possibility that the population mean differs from the value stated in the null hypothesis
one sample t-test
uses data from one sample to evaluate population mean, determine whether sample is consistent with claimed value
reject H0
data would be unlikely to occur due to random chance alone if the null hypothesis is true, hypothesized value falls outside confidence interval
failing to reject H0
data does not provide enough evidence to rule out the null hypothesis (does not claim true), hypothesized value falls inside confidence interval
rejection region
tail areas outside of confidence intervals
a
significance level, establish threshold for rejecting null hypothesis BEFORE data analysis
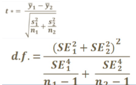
T*
measures how large the observed difference is relative to the expected sampling variability in units of SE, larger abs value of t* supports alternative hypothesis
p value
probability of obtaining a result at least as extreme as the one observed, assuming the null hypothesis is true
small p-value
more likely to reject null hypothesis (indicates observed data is unlikely to occur if H0 is true)
large p-value
fail to reject null hypothesis
p-value to a
p > a is fail to reject H0
P <=a is reject H0
type I error
false positive, test detects a difference even no difference exists, uses a probability
type II error
false negative, test fails to detect a difference even though a difference exists, uses B probability
role of a for type I/II error
a is larger, rejection region is greater, type I error increases and type II error decreases
t* compared to critical value
if t* is within central portion of distribution, fail to reject null hypothesis
if t* falls in the tails, null hypothesis is rejected
t-table
gives critical value, needs a and df
two-sample t-test hypotheses
null hypothesis: no real difference in the average value of the two populations
alternative hypothesis: population means differ
welchs t-test
useful for when groups have different variability

classic t-test
used when populations have similar variability, uses pooled variance

power
probability that the test will detect a difference when it exists, higher power is better at identifying it than missing, avoiding a type II error (1 - B)
power effects
increasing sample size, a (less strict a) and effect size increase power
classic test power
has higher power when population variances are the same
welchs test power
more powerful when unequal variances are assumed
three core assumptions
data collected randomly, two samples are independent, sample distributions are approximately normal
random data
reflect population in a fair or unbiased way, violated if a pattern is chosen out of convenience
independence
observations aren’t linked to each other, violation would be they dont function are seperate pieces of information
normality
samples come from normal distribution, violated if does not follow normal distribution
central limit theorem
increasing sample size can make data look more normal
histogram test for normality
gives a broad view for normal distribution
histogram limitations
depends on bin width, small size can lead to unevenness, may not show outliers
boxplot test for normality
shows summary for distribution center
boxplot limitations
broad summary, interpretation can be subjective
q-q plot
compares quantiles of the dataset to quantiles of theoretical distribution
quantile
cutoff value that divides a dataset into equal portion
normal q-q plot
straight line that runs diagonally from bottom left to top right of the plot
skewed left q-q plot
points start below reference line on the left side and rise above the line as you move to the right (long tail on the left)
skewed right q-q plot
points start above reference line on the left side and go below the line as you move right, then move up, (long tail on right)
short tails q-q plot
points lie alone reference line but show a dip below it, indicating fewer extreme values than expected (S - shape)
long tails q-q plot
points diverge from line, curve upwards at both ends, indicating more extreme values (backward S-shape)
mann-whitney U-test
used to compare two independent groups when data cannot be assumed to be normally distributed, appropriated when one group doesnt follow normal distribution
mann-whitney test assumptions
independent and random data (does NOT assume normality)
mann-whitney hypotheses
null (H0): distribution/mean of s1 is same as distribution/mean of s2 (D1 = D2)
alt (H1): distribution/mean of s1 is not the same as distribution/mean of s2 (D1 = D2)
U*
counting how many observations are smaller as 1 point, if equal than count as 0.5 points, k1 is count of the first sample, k2 is count of the second sample
U statistic
higher count of k, if tied, take average
MWU vs t-test
MWU does not require normality, t-test is more powerful if normality is assumed
paired t-test
used for dependent observation, assumptions are random data and normality, d = difference
paired t-test hypotheses
null hypothesis (H0): ud = 0, no difference between the observations in each pair
alt hypothesis (H1: ud =/ 0, difference between the observations in each pair
t*
t* > 0, average difference is positive
t* < 0, average difference is negative