1/65
Looks like no tags are added yet.
Name | Mastery | Learn | Test | Matching | Spaced | Call with Kai |
|---|
No analytics yet
Send a link to your students to track their progress
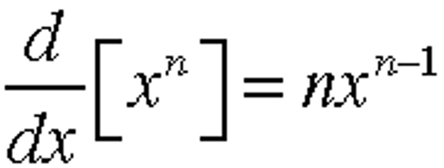
The Power Rule:

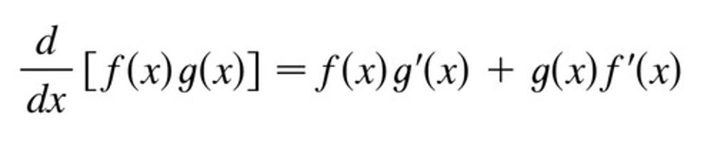
The Product Rule

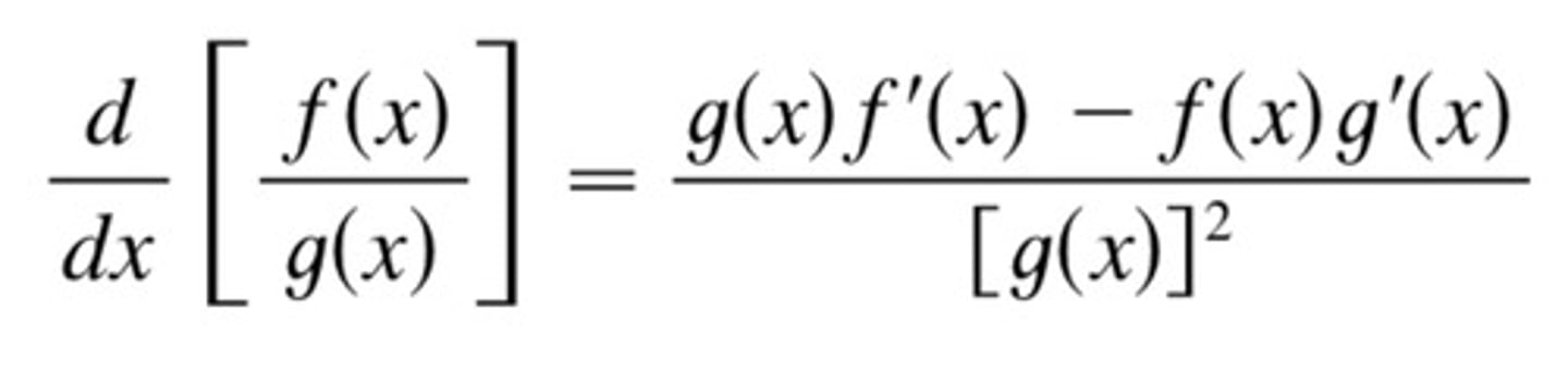
The Quotient Rule

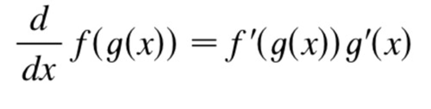
The Chain Rule

(d/dx) sin x
cos x
(d/dx) cos x
-sin x
(d/dx) tan x

(d/dx) sec x
sec x tan x
(d/dx) cot x

(d/dx) csc x

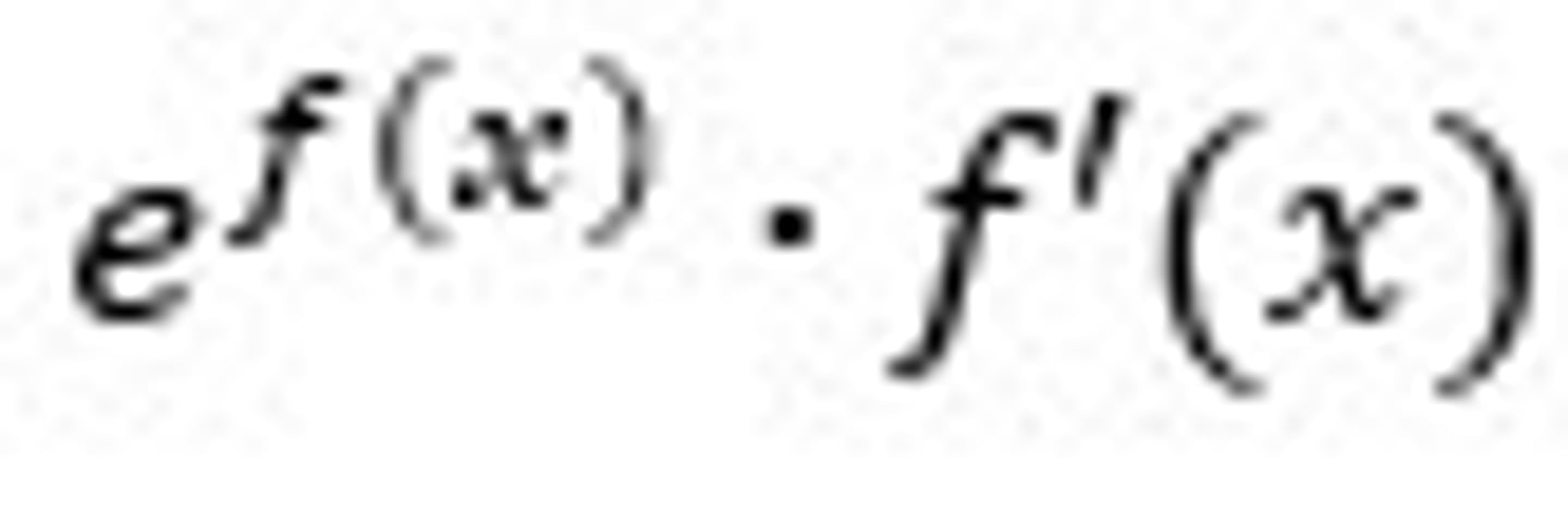
(d/dx) e^f(x)

(d/dx) a^f(x)

(d/dx) ln(f(x))

(d/dx) loga f(x)
(log base a of f(x))

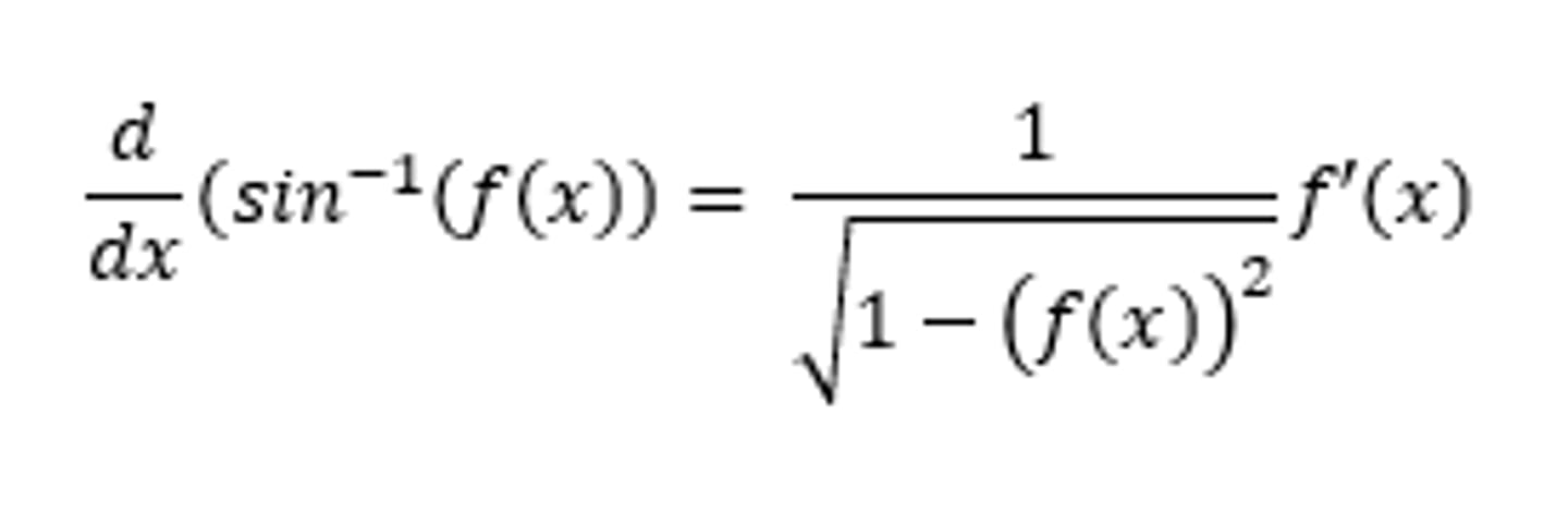
(d/dx) arcsin x

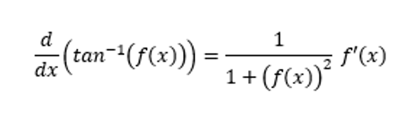
(d/dx) arctan x

Definiton of Derivative

Definition of the Derivative of a Function

Speed

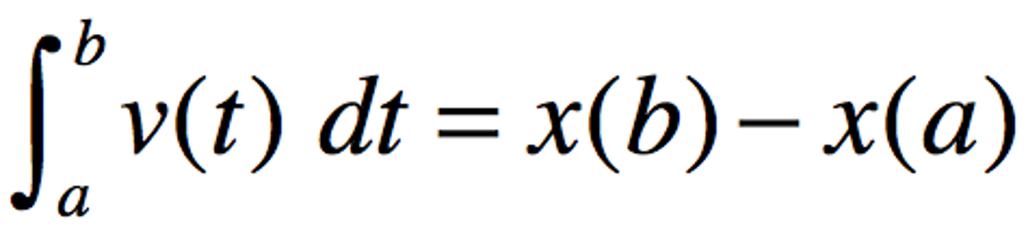
Displacement

Total distance traveled

When is speed increasing?

When is speed decreasing (in terms of velocity and acceleration)?
When v(t) and a(t) have opposite signs
Average Rate of Change of f(x) on [a,b]

instantaneous rate of change

Mean Value Theorem (MVT)

Mean Value Theorem Picture
The instantaneous rate of change will equal the mean rate of change somewhere in the interval. Or, the tangent line will be parallel to the secant line.

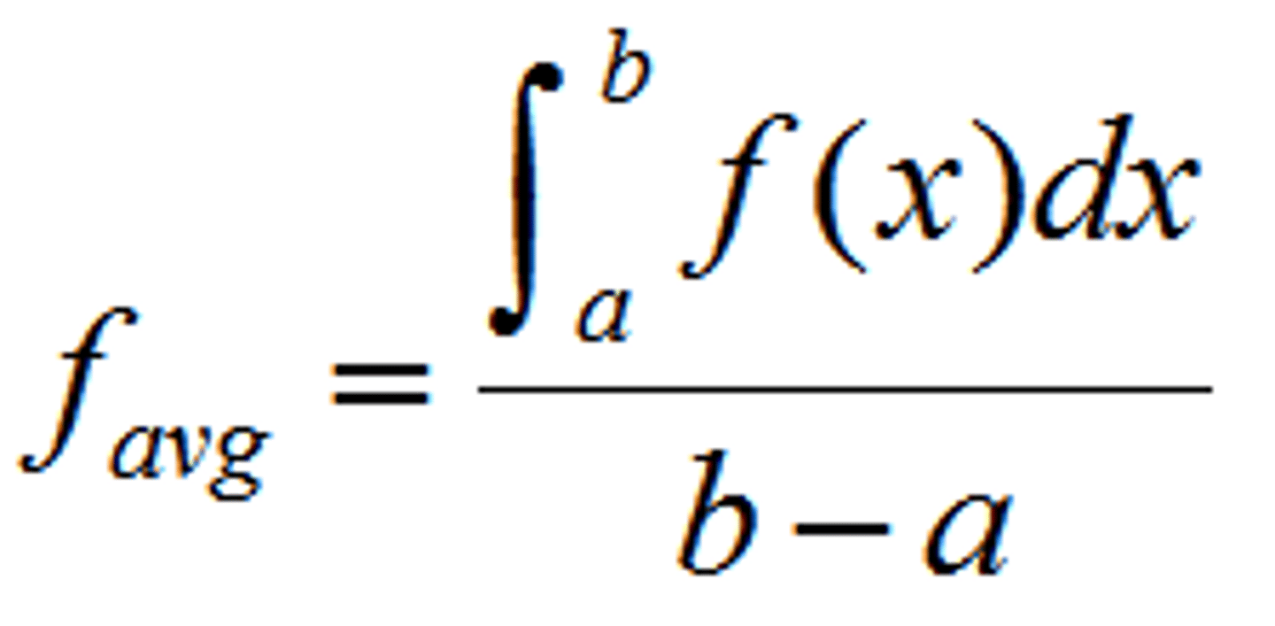
Average Value of a Function

Intermediate Value Theorem (IVT)

Extreme Value Theorem (EVT)
If f is continuous on [a,b] then f has an absolute maximum and an absolute minimum on [a,b]. The absolute extrema occur at critical points in the interval or at endpoints of the interval.
![<p>If f is continuous on [a,b] then f has an absolute maximum and an absolute minimum on [a,b]. The absolute extrema occur at critical points in the interval or at endpoints of the interval.</p>](https://knowt-user-attachments.s3.amazonaws.com/2d5818f4-9ec8-43d7-b8fa-5f146c36f23a.jpg)
Definition of Continuity

Squeeze Theorem

Volume - Disc Method

Volume - Washer Method

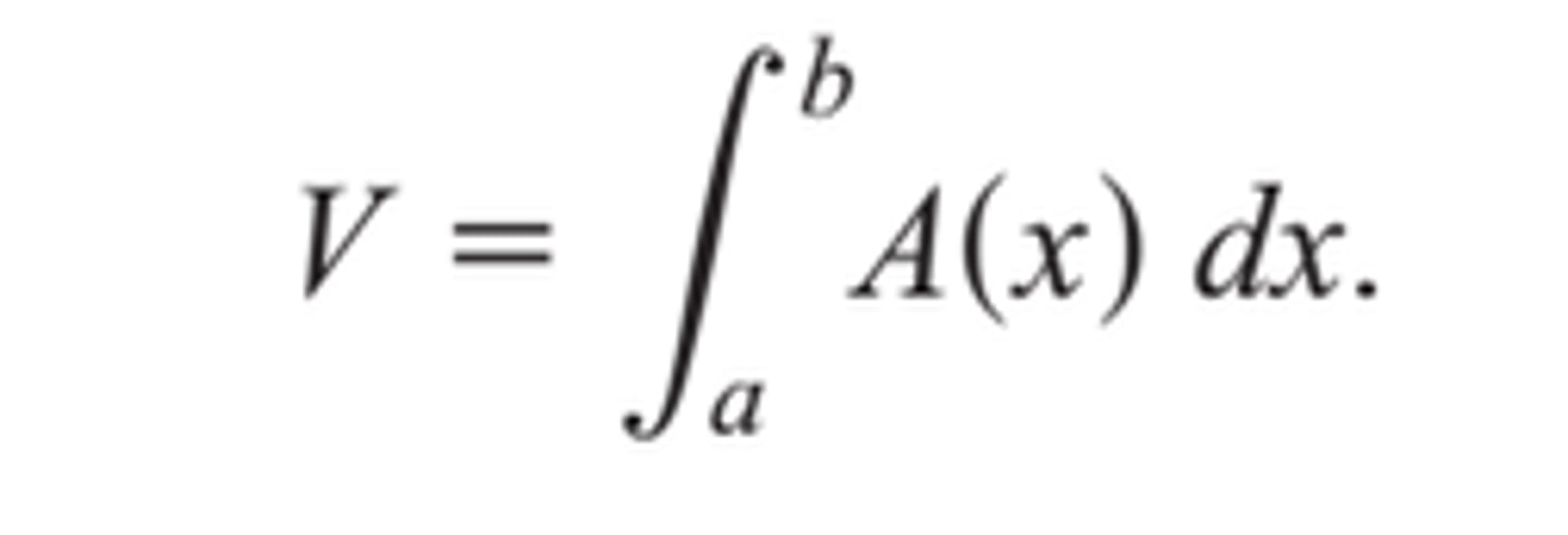
Volume of cross section perpendicular to x axis

Fundamental Theorem of Calculus - Part 1

L'Hopital's Rule

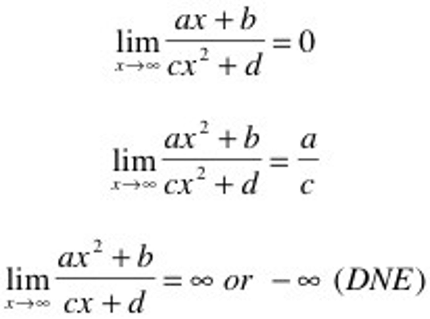
limits at horizontal asymptotes

limits at horizontal asymptotes - specific problems

limit exists when
We don't care what is happening at a, as long as the y coordinate on the left and the y coordinate on the right agree, the limit exists, and it equals the y coordinate.

Fundamental Theorem of Calculus - Part 2

Area of a trapezoid formula

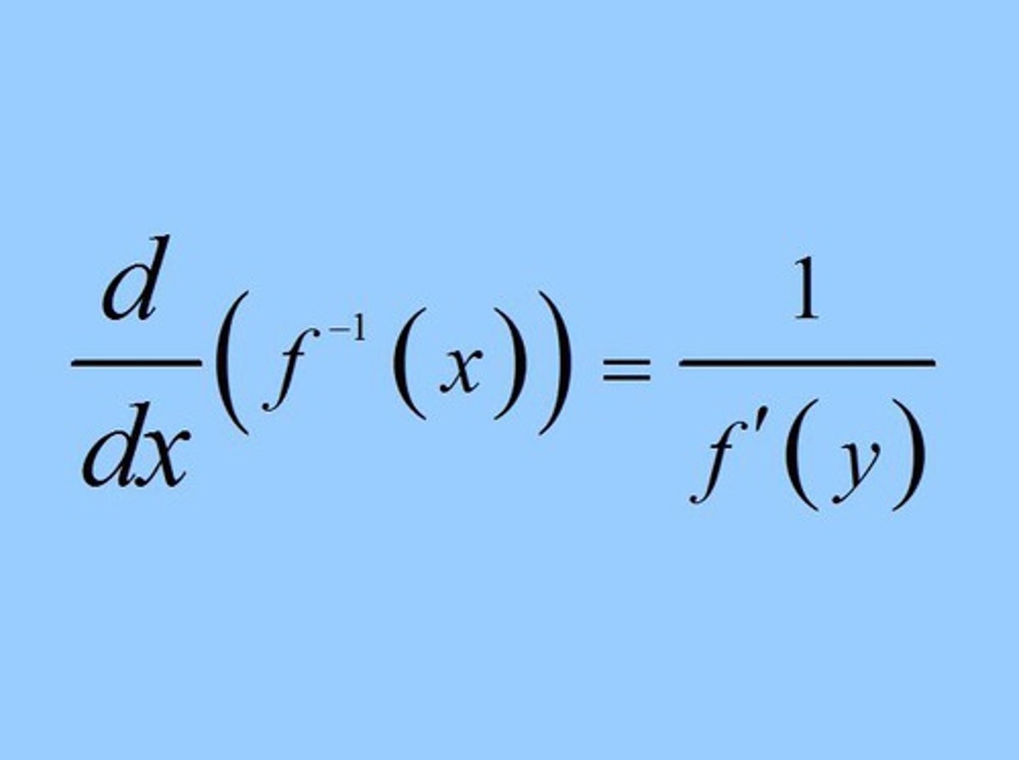
Derivative of an Inverse Function

Critical Number
If f'(c)=0 or does not exist, and c is in the domain of f, then c is a critical number. (Derivative is 0 or undefined.)
First Derivative Test for local extrema

Point of inflection at x=k

Second Derivative Test

Exponential growth (Use N=)

Squaring function
Domain: (-∞,∞)
Range: [0,∞)

Cubing function
Domain: (-∞,∞)
Range: (-∞,∞)

Reciprocal Function
Domain: (-∞,∞) x can't be 0.
Range: (-∞,∞) y can't be 0.

Square root function
Domain: [0,∞)
Range: [0,∞)

Exponential function
Domain: (-∞,∞)
Range: (0,∞)

Natural logarithmic function
Domain: (0,∞)
Range: (-∞,∞)

Sine function
Domain: (-∞,∞)
Range: [-1, 1]
![<p>Domain: (-∞,∞)</p><p>Range: [-1, 1]</p>](https://knowt-user-attachments.s3.amazonaws.com/7e178f99-df1a-4445-be3f-2e55ca7fa15f.jpg)
Cosine function
Domain: (-∞,∞)
Range: [-1, 1]
![<p>Domain: (-∞,∞)</p><p>Range: [-1, 1]</p>](https://knowt-user-attachments.s3.amazonaws.com/fcceb808-c3ab-400b-a987-704506adcf90.jpg)
Absolute value function
Domain: (-∞,∞)
Range: [0,∞)

greatest integer function
Domain: (-∞,∞)
Range: (-∞,∞)

sin(x) + C

-cos(x) + C

tan(x) + C

sec(x) + C

-cot(x) + C

-csc(x) + C

ln|x| + C

Additional definition of derivitive
f(x)-f(a)/x-a