1/287
Looks like no tags are added yet.
Name | Mastery | Learn | Test | Matching | Spaced | Call with Kai |
|---|
No analytics yet
Send a link to your students to track their progress
area of a circle

surface area of a sphere

surface area of a cone
πr x slanted length x πr^2
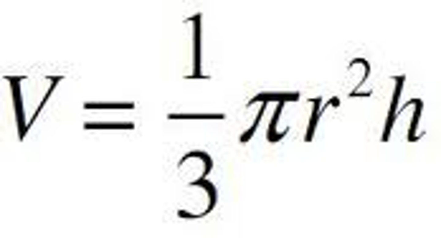
volume of cone

volume of a sphere

area of trapezium
1/2(a+b) x height
circumference of a circle
π x d
volume of a cuboid
l x w x h
volume of a cylinder

volume of a pyramid
1/3 x area of base x h
distance
speed x time
density
mass/volume
pressure
force/area
Pythagoras' Theorem
a^2 + b^2 = c^2
Quadratic equation
when ax^2 + bx + c = 0

Sine rule
a/sinA = b/sinB = c/sinC
Cosine rule

Area of a triangle
1/2 x a x b x sinC
area of a sector
angle/360 x area of full circle
segment area
sector area - area of triangle
x angles
equal

corresponding angles
equal

alternate angles
equal

co-interior angles
add to 180

total of exterior angles
360

1 exterior angle
360/number of sides
sum of interior angles
(sides - 2) x 180
sin/cos/tan 45, lengths=

sin/cos/tan 30 or 60, lengths=

a^m x b^n
ab^m+n
a^m / b^n
a/b^m-n
a^0
1
a^1
a
(a^m)^n
a^mxn
(a/m)^n
a^n/m^n
a^-m
1/a^m
a^1/m
^m√a
a^m/n
(^n√a)^m
3D Pythagoras' theorem
a^2 + b^2 + c^2 = d^2
when to use cosine rule
2 sides and an angle enclosed by them
all 3 sides no angle
when to use sine rule
2 angles any side
2 sides and an angle thats not enclosed by them
inverse functions
replace x's with y's and make everything equal to x
make y the subject
replace the y with f^-1(x)
y=f(x)+a
translation in the y-axis (move up or down by the amount of a eg. +2 = move up 2)
y=f(x+a)
translation in the x-axis (but if it says +2 move down 2 ITS OPPOSITE!!)
y=f(xa)
stretch in the x direction (leaving the y values unchanged) by a factor of 1/a
y=f(x/a)
stretch in the x direction (leaving the y values unchanged) by a factor of a
y=-f(x)
reflection in the x-axis
y=f(-x)
reflection in the y-axis
∉
not a member of a set
∈
member of a set
ξ
universal set (all the numbers in the Q)
∪
union (combination of all members of each set in question)
∩
intersect (all numbers that are members of exclusively both sets in question)
'
Everything NOT in the set
√a x √b
√a x b
√a / √b
√a/b
√a + √b
DO NOTHING
a/ √b
a/√b x √b/√b = a√b/b
'exact value' meaning
surd form
when to use quadratic formula
if it wont factorise
if the question mentions decimal places or significant figures
dividing fractions
KEEP TIMES SWITCH- KTS
common denominator is also....
something both denominators divide into
fibonacci sequence
adding together the 2 previous terms
how to know if 2 lines are perpendicular
if gradient is m perpendicular will be -(1/m)
cubic graph

reciprocal graph (positive)

exponential graph

gradient
vertical/horizontal or ycoord/xcoord
estimated gradient of a curve
tangent to curve (meets curve at point your trying to find) then calculate gradient
compound interest
amount x percentage^years
how to know if 2 lines are parallel
gradients are the same
quadratic graph

how to find equation for a tangent to a circle
find gradient (ycoord/xcoord)
use gradient to find perpendicular -(1/m)
put coords into y=mx+c to find c where m is -(1/m)
circle equation
x^2+y^2 = r^2
2 consecutive numbers
n, n+1
2 consecutive odd numbers
2n+1, 2n+3
2 consecutive even numbers
2n, 2n+2
sin 0
0
sin 30
0.5
sin 45
1 / √2
sin 60
√3 / 2
sin 90
1
cos 0
1
cos 30
√3 / 2
cos 45
1 / √2
cos 60
0.5
cos 90
0
tan 0
0
tan 30
1 / √3
tan 45
1
tan 60
√3
tan 90
DOES NOT EXIST
x^2 > a^2
x > a
x < -a
x^2 < a^2
-a < x < a
how to solve a simultaneous equation by plotting a line and circle graph
the coordinates where the line meets the circle are the solutions
2:3 =
2/3
y is proportional to x

y is inversely proportional to x

y is proportional to x squared
exponential graph
percentage change=
(new value/original) x100