1/6
Looks like no tags are added yet.
Name | Mastery | Learn | Test | Matching | Spaced | Call with Kai |
|---|
No analytics yet
Send a link to your students to track their progress
Three stages of lipid catabolism
degradation of triacylglycerols to fatty acids
fatty acid activation and transportation to mitochondria for degradation
fatty acid degradation → acetyl CoA → TCA
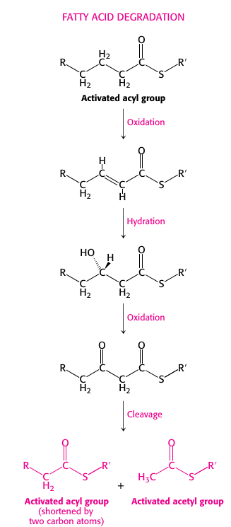
Fatty acid degradation
4 steps
converts fats to acetyl CoA
Fatty acid is activated with CoA nucleophilic addition
CoA cleaves oxidized fat
in mitochondria
Transported into mitochondria through linkage with carnitine


Triacylglycerols catabolism into fatty acids
lipases secreted by pancreases in gut breakdown triacylglycerol → glycerol
nucleophilic addition of water breaks off fatty acids
Lipase regulation
Glucagon and epinephrine → adenylate cyclase activated →cAMP→ PKA
phosphorylation of perilipin and lipase→ lipase activated

beta oxidation
saturated Acyl CoA oxidized by FAD
hydration
oxidation by NAD+
Thiolysis by CoA
shortened 2 carbons at a time

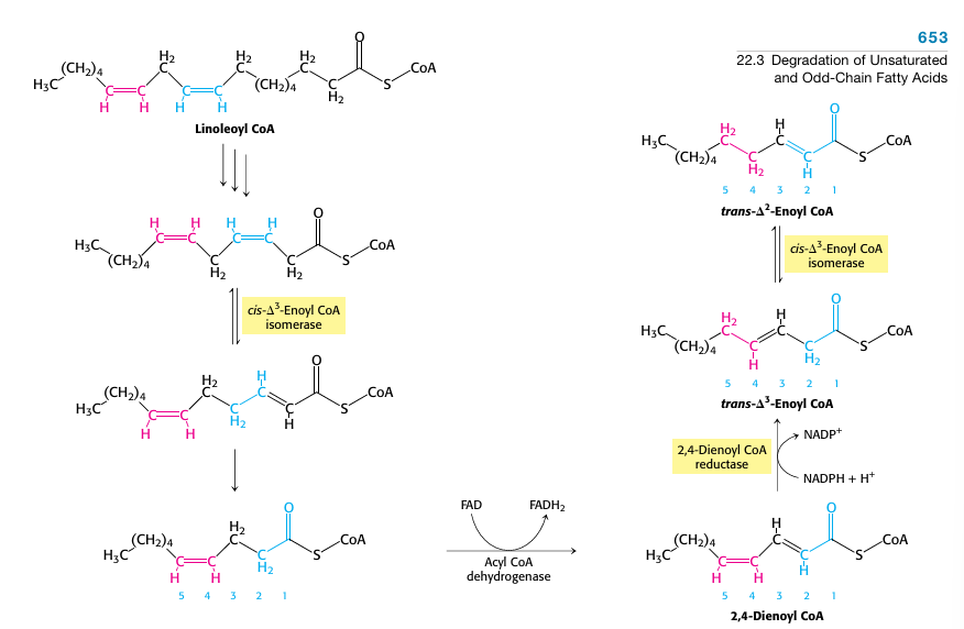
unsaturated fats
need isomerase and reductase
are degraded until double bond is reached
Isomerase makes double bond trans and proceeds with normal beta oxidation through hydration
Reductase makes double bond of 2,4-dienoyl trans


Fatty Acid synthesis
Condensation of acyl CoA + malonyl CoA
Reduction and dehydration till fatty acid