1/43
Looks like no tags are added yet.
Name | Mastery | Learn | Test | Matching | Spaced | Call with Kai |
|---|
No analytics yet
Send a link to your students to track their progress
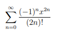
General term of ex

General term of sinx

general term of cos x

general term of 1/(1-x)

Lagrange error bound

derivative of sinx
cosx
derivative of cosx
-sinx
derivative of ex
ex
derivative of lnx
1/x
derivative of tanx
sec2x
derivative cotx
-csc2x
derivative of secx
secxtanx
derivative of cscx
-cscxcotx
derivative of ax
axlna
derivative of logax
1/xlna
derivative of arcsinx
1/√(1-x2)
derivative of arctanx
1/(1+x2)
derivative of arcsecx
1/|x| √(1-x2)
∫c dx
cx + C
∫xndx

∫cosx dx
sinx+ C
∫sec²x dx
tanx+C
∫secxtanx dx
secx + C
∫sinx dx
-cosx + C
∫csc²x dx
-cotx + C
∫cscxcotx dx
-cscx + C
∫akx dx

∫ex dx
ex + C


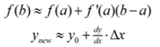
f(b)

∫tanx dx

∫secx dx

∫cotx dx

∫cscx dx







Euler method

IVT
IF f is continuous on [a,b] AND # is between f(a) and f(b), there exists a k∈(a,b) such that f(k) = #
MVT
IF f is continuous and differentiable on (a,b), then there exsists a k∈(a,b) such that f’(k) = (f(b)-f(a))/(b-a)
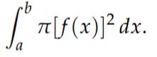
Disk method

Washer method

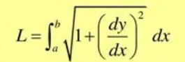
Curve Length
