1/5
Looks like no tags are added yet.
Name | Mastery | Learn | Test | Matching | Spaced | Call with Kai |
|---|
No analytics yet
Send a link to your students to track their progress
Subdivision
On appel subdivision de [a,b] toute famille finie (x0,x1,…xn) strictement croissante d’éléments de [a,b] telle que a = x0<x1<…<xn=b
Intégrale d’une fonction en escalier
Géométriquement (xi+1-xi)yi est égale à l’air du rectangle limité par l’axe ox

Valeur moyenne

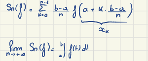
Somme de Riemann

Intégration par parties

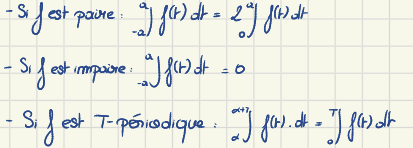
Parité
