1/28
Looks like no tags are added yet.
Name | Mastery | Learn | Test | Matching | Spaced | Call with Kai |
|---|
No analytics yet
Send a link to your students to track their progress
Path definition

Path connected definition

Intermediate value theorem

Continuous image - path connected proposition

Product topology - path connected proposition

Path homotopic definition

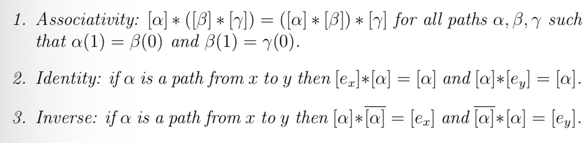
Path homotopy - equivalence relation lemma

Concatenation of paths definition

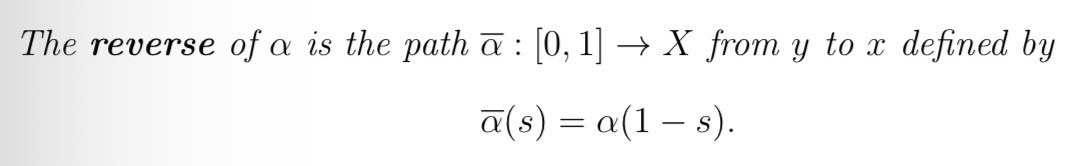
Reverse of a path definition

Constant path definition

Star and hat - path-homotopy theorem

Star and hat properties

Loop based at a point definition
A path from a point to the same point
Fundamental group of X relative to base point definition

Convex definition

Convex subset - path-connected proposition

Convex subset - path-homotopic proposition

Trivial group definition

Convex subset - trivial theorem

Star - path-homotopic lemma

Homomorphism definition

Isomorphism definition
Bijective homomorphism
Isomorphism - path-homotopy theorem

Induced homomorphism definition

Inducing homomorphisms theorem

Pointed space definition

No-retraction theorem

Strong deformation retract definition

Strong deformation retract - isomorphism proposition
