1/54
Looks like no tags are added yet.
Name | Mastery | Learn | Test | Matching | Spaced | Call with Kai |
|---|
No analytics yet
Send a link to your students to track their progress
Define extracción:
Utilización de un solvente inmiscible con nuestra solución para generar 2 fases. El producto se distribuye diferencialmente entre las 2 fases → separación de un producto por su afinidad con las dos fases

¿En qué momentos se puede encontrar la unidad de extracción?
Separación de restos celulares
Separación y/o concentración

¿Por qué no se suele utilizar la extracción líquido-líquido en bioprocesos?
Muchos productos no son estables en solventes orgánicos, por lo que se prefiere la cromatografía
¿Qué aplicaciones puede tener la extracción líquido-líquido?
Purificaciones de antibióticos (penicilina)
Purificación de alacaloides (cafeína)
Purificación de proteínas con sistemas acuosos de 2 fases
Purificación de péptidos y pequeñas proteínas
Purificación de lípidos
Purificación de DNA
El soluto a extraer deberá tener una elevada afinidad por el —
Solvente de extracción
¿Dónde se encuentra el producto al inicio?
En la alimentación
¿Qué concentración inicial de producto hay en el solvente extractor?
Se asume que 0, a menos que se especifique lo contrario

¿Qué corrientes están en equilibrio?
Las corrientes de salida. el extracto y el refinado → se puede expresar en forma de coeficiente de partición (k)

Se desea una K (coeficiente de partición) — para extraer el producto con mayor rendimiento utilizando menos solvente
grande
¿Qué etapas hay en una extracción líquido-líquido?
Mezcla
Contacto de las dos fases totalmente o parcialmente inmiscibles
Incrementa área de contacto → mayor transferencia de materia entre fases
Fase separación
Separación de as dos fases por diferencia en densidad → normalmente la diferencia es tan grande que la gravedad las puede separar
Centrifugación para acelerar el proceso
Recogida de fases
Recogida diferencial de las dos fases

¿Qué determina el potencial químico?
El potencial químico determina la dirección del transporte del soluto entre fases → capacidad extractora del producto con mi refinado/extractor
¿Cuando se iguala el potencial químico de ambas fases?
Cuando se llega al equilibrio → μR = μE
¿La K (coeficiente de partición) depende de la concentración de soluto?
No → facilita el escalado
aunque en la fórmula estén CE y CR, aunque estas varíen la relación siempre será la misma

¿Cómo se puede incrementar K (coeficiente de partición)?
Modificando la temperatura → la solubilidad se ve afectada por la temperatura, por lo que tmb afectará a la K
Cambiando de solvente → modifica el potencial químico (disminuir μe para que el equilibrio lo favorezca)
Modificando las características del soluto (evitar cargas) → si están cargados preferirán el solvente acuoso
Utilización de contra-iones
Modificar el pH
¿Qué características ha de tener el solvente?
Mayor coeficiente de partición → cuanto más alta sea K, menos solvente será requerido
Mayor insolubilidad del solvente en corriente de alimentación
Facilidad en la recuperación del soluto en el solvente
Cuanta más diferencia de densidad entre solvente y refinado mejor → facilita la separación de fases
Reactividad química → el solvente tiene que ser estable e inerte: problema en solventes orgánicos y productos bio
Bajos coste
Baja viscosidad
Baja presión de vapor
Baja toxicidad
No inflamable
Explica que son los contra-iones:
Moléculas, normalmente de tipo orgánico, que amortiguan la carga de nuestro soluto para favorecer la transferencia de este a la fase orgánica
Explica el impacto del pH en el coeficiente de partición:
Si el soluto tiene la capacidad hacer un equilibrio ácido-base, promover la forma protonada (sin carga) incrementará el coeficiente de extracción, ya que favorecerá que el soluto se transfiera a la fase orgánica
Es una metodología más fácil que la de contra-iones

Cómo llegas de las ecuaciones de las k hasta estas segundas?

En un ácido, a — pH mayor K
menor
En una base, a — pH mayor K
mayor
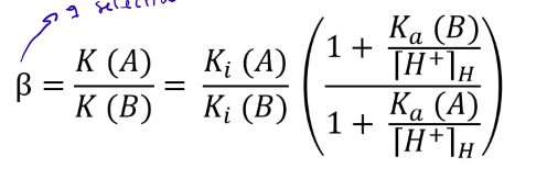
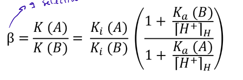
¿Qué es la selectividad?
La selectividad es la capacidad de un solvente para extraer preferentemente un soluto (A) frente a otro (B) presente en la misma mezcla → cuanto más grande de 1 sea, más selectivo será y mejor será la purificación del compuesto

¿La selectividad depende del pH?
sí

¿Existe un sistema donde la selectividad y el coeficiente de partición sean ambos altos?
No suele existir, normalmente es o selectividad (factor de purificación) alta o K (rendimiento) alta
¿Qué es un sistema de extracción en dos fases acuosas?
En vez de tener una fase acuosa y una orgánica, se tienen dos acuosas. Son sistemas parcialmente miscibles y que proporcionan condiciones no desnaturalizantes
Da dos ejemplos de sistemas parcialmente miscibles:
Sistemas de dos fases polímero-polímero → ej: PEG-dextrano
Sistema de dos fases polímero-sal → ej: PEG-fosfato de potasio
¿Para qué se utiliza un diagrama de fases?
Para determinar las concentraciones necesarias para la extracción
¿Qué es una curva binodial?
Separa condiciones donde hay una fase (por debajo) o dos fases (por arriba)

¿Qué representan los puntos P, A y B?
P: punto crítico → el punto donde teóricamente ka composición y los volúmenes de ambas fases son casi iguales
A: donde el sistema consta de una sola fase
B: se localiza en una región donde coexisten las dos fases y representa la fracción peso de cada uno de los componentes de una mezcla formada por fases de composición C y D
¿Qué ocurre con las concentraciones de PEG y dextrano en una misma línea de unión?
En todos los puntos de una línea de unión se mantienen las mismas concentraciones de PEG y de dextrano, lo único que cambia es el volumen. En estos puntos la K se mantiene constante.
¿Qué factores afectan al coeficiente de extracción (K) en 2 fases acuosas?
Peso molecular de la proteína
El dextrano forma una red polimérica que excluye más a las moléculas grandes
Carga de la proteína y características de su superficie
el PEG es más hidrofóbico que el dextrano
Peso molecular de sus polímeros
Composición de las fases
pH
Tª → más Tª más cinética
Concentración de sales → adición de NaCl en sistemas PEG/dextrano puede aumentar la K
Afinidad del ligando unido al polímero (PEG) → modificas al PEG con un ligando para aumentar la afinidad con el producto
¿Queremos que K = 1?
No, porque entonces tendrá la misma afinifad por las dos fases
K = Cdextrano/CPEG
si superior a 1, más afinidad por el dextrano
si inferior a 1, más afinidad por PEG
¿Qué modos de operación hay en extracción?
Extracción en batch (por lotes)
Extracción en continuo
Extracción por etapas múltiples en continuo
Corriente transversal
Contracorriente
Extracción diferencial en columna
¿Cómo se realiza la extracción en batch?
La extracción se realiza de tal manera que las fases interactúan hasta alcanzar el equilibrio. La concentración final del soluto puede ser obtenida en algunos casos en forma analítica mediante la utilización del coeficiente de partición y el balance de materia.

¿Cuándo se puede utilizar el factor de extracción (λ)?
Cuando el equilibrio es lineal → relación CE y CR cte
¿En qué condiciones habrá mayor rendimiento?
λ
si λ = cte
cantidad de solvente
Mayor λ, más rendimiento → Cro = Cr1 * (1 + λ) : queremos que λ sea lo más grande posible para que Cro > Cr1 (ha funcionado la extracción)
Por igual λ, cuanto mayor E/R mayor rendimiento
Cuanto mayor cantidad de solvente (E), mayor rendimiento
¿Qué ocurre cuando el equilibrio no es lineal?
La relación CE/CR no es constante, sigue una hipérbola, por lo que no se puede utilizar K ni λ → hay que utilizar la línea de operación

¿Qué suposiciones se hacen al hacer una extracción en continuo?
Al salir del extractor, el extracto y el refinado están en equilibrio
Menospreciable la fracción de refinado en la salida del extracto y viceversa
Explica las características de una extracción multietapa con corriente transversal
Solvente fresco es añadido en cada etapa
Todos los extractos son unidos al final
La concentración disminuye en cada etapa disminuyendo tmb la capacidad de extracción
Las ecuaciones de basan en las de una etapa

¿Cuál es la limitación de un sistema multietapa de corriente transversal?
Como la concentración de producto va disminuyendo en cada etapa, se va perdiendo eficiencia. Estoy utilizando peor mi solvente por cada extractor que añado → no ocurre en adsorción pq las K son más elevada que en extracción

¿Cómo se puede solucionar la limitación de la corriente transversal?
Para solucionarlo se puede utilizar un sistema a contra corriente → cada etapa tiene más eficiencia y mejor utilización del solvente


¿Cómo se lee este gráfico?
Aunque no se utiliza la solución del gráfico pq es poco precisa, así que se utiliza la analítica

Enumera las características de la extracción diferencial:
Se realizan en columna
Las 2 fases se suministran por cada una de los dos extremos y fluyen una a través de la otra → la fracción pesada se introduce en la parte de arriba por lo que tendrá que bajar, mientras que la fracción ligera se introduce por la parte de abajo, por ende, subirá. Esto causará que haya mezcla
Separación por diferencia de densidades → fracción pesada baja y fracción ligera sube
Debido a que los extremos de la columna no están en contacto, globalmente la extracción diferencial no está en equilibrio
Sin embargo, tenemos equilibrios locales → se puede considerar equilibrio lineal
¿Cómo se puede promover la mezcla?
Cuanta más superficie de contacto (mezcla) entre fases, más eficiencia
Introduciendo un gas inerte
Introduciendo obstáculos
Introducir un motor de palas: no muy utilizado porque la constante de transferencia de masa ya es alta, por lo que no se necesita tanta mezcla y así se ahorra un coste energético
¿De qué depende la eficiencia de una extracción diferencial?
Área de contacto entre fases generada en el extractor
Coeficiente de transferencia de masas locales
¿Qué tipos de columnas hay en extracción diferencial?
Spray tower: utiliza gas para que se mezcle
Baffle plate: tiene obstáculos
Agitated: eje con motor y palas
Reciprocating disc: eje que vibra de arriba a abajo

Explica el transporte por difusión entre fases en extracción:
El transporte por difusión entre fases en extracción líquido-líquida ocurre cuando el soluto, impulsado por un gradiente de concentración, difunde desde la fase donde está más concentrado (refinado) hacia la interfase, cruza instantáneamente al equilibrarse químicamente, y luego difunde hacia el interior de la fase extractora.

Define NTU:
Número de unidades de transferencia (número de platos de la columna). Se corresponde al número de etapas en una extracción contracorriente
Define HETS (HTU):
Altura dela unidad de transferencia (altura de cada plato de la columna) → se busca minimizar en el escalado
¿Qué extractores son más comunes en biotecnología?
Reciprocating-plate column
Extractor de centrífuga
Explica las características de una reciprocating plate-column:
Altos coeficientes de transferencia de materia
HETS bajos
Puede utilizar líquidos con sólidos suspendidos
Versátil y flexible según necesidades
Fácil construcción
¿Qué especificaciones se han de tener en cuenta al escalar una reciprocal-plate column?
Mantener constante la relación de caudales entre refinado y extracto
Flujo transversal constante → (Qr + Qe)/A
Espaciado entre platos
HETS
SPM: vibraciones por minuto (stokes per minute. Entre 3 y 50 mm a una velocidad de 1000 SPM
Explica las características de un extractor de centrífuga:
Tiempo de contacto bajo (material inestable)
Equipo pequeño
Específico para líquidos con poca diferencia de densidades
Se usa para la recuperación de antibióticos
Indicado para evitar posibles emulsiones
Separación de líquidos con densidades similares
Alimentación de la fase pesada en el centro. La fuerza centrífuga los desplaza hasta las paredes pasando a través de la fase ligera

¿Qué especificaciones se han de tener en cuenta al escalar un extractor tipo centrífuga?
Mantener constante la relación de caudales entre refinado y extracto
Mantener constante el tiempo equivalente (G*t)

¿Qué características tienen los fluidos supercríticos?
Propiedades tanto de gas (fácil penetración en sustancias) como de líquido (poder de disoluciónextracción)
Pueden actuar como alternativa a los solventes orgánicos → menos contaminantes
Extractores simples: no se requiere incrementar el coeficiente de transferencia de materia porque el fluido tiene una alta permeabilidad
¿Qué aplicaciones tienen los fluidos supercríticos?
Separación y purificación de aceites esenciales y componentes medicinales
Extracción de grasas
Procesamiento de alimentos y bebidas
Extracción de la cafeína del grano de café (extracción sólido-líquido)
Extracción del alcohol de las cervezas (extracción líquido-líquido)