1/42
Looks like no tags are added yet.
Name | Mastery | Learn | Test | Matching | Spaced | Call with Kai |
|---|
No analytics yet
Send a link to your students to track their progress
Integral Test
Use it when there is something like this.
P.C.D. (Positive, Continuous, Decreasing)
Then,
Set f(x) equation and solve as the limit goes from your n number to infinity.
OR
use P-series.

Refresher on P-Series
If P > 1, convergent
If P ≤ 1, divergent
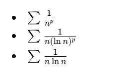
What are typical forms of integral tests?
Think n^something or n ln n, or n (ln n)^something

Standard Comparison Test
Used when it looks messy, so you compare it to something similar.

Example of standard comparison tests:

Alternating Series test
Looks like this:
Converges if an decreases, or if an goes to 0.
If none or one of these doesn’t work, you cannot prove convergence.
Divergence Test, diverges if lim an does NOT equal 0.

What is a geometric series?
A series that grows by multiplying some sort of n to the exponent.

If a geometric series absolute value ratio is less than 1,
converges.
If a geometric series absolute value ratio is bigger than 1,
diverges.
Limit Comparison Test
use when series looks almost like a p-series or a geometric series, but has extra terms that make SCT hard.
If 0 < L < infinity (positive finite number), both an and bn converge.
If L = 1 it’s inconclusive.

What does the Comparison Test only work on? How do you fix this issue?
It only works on POSITIVE terms. You can fix this by putting absolute value bars. (checking for absolute convergence)



If the problem is just numbers being added, how do you recognize an?
First look at the denominators, get the difference.
If they increase by something each time it is an arithmetic sequence.
If your x is equal to 1 (in a p-series) what happens to your series?
It becomes a harmonic series and it grows to infinity.
When x is very small, like zero, arctan (x) ≈ ?
arctan(x) ≈ x
when you have arctan (x) / x ≈
arctan (x) / (x) ≈ 1

Recognize that sin(x) is bounded between [-1, 1].
Recognize that since sin(x) can alternate, we test for absolute convergence by putting absolute value bars. (| |)
Set up inequality, and put 0 ≤ sin(n)2 ≤ 1
Do algebra by dividing by n2 to compare it to 1 / n2
Since P = 2, > 1, then by p-series 1 / n2 converges.
By the standard comparison test, since 1 / n2 converges, then our original series converges as well.

Recognize that (3-n) is just 1 / 3n .
Recognize that as arctan (1 / 3n) goes to infinity, inside the parentheses = 0. Remember that arctan (something as small as 0) is approximately equal to that something.
Using this fact, we can rewrite this as just 2n times 1 / 3n . This simplifies to (2/3)n, which is geometric!
Since this is now a geometric series, our ratio is less than 1, which means it converges.
But this isn’t just enough, now we do Limit Comparison Test. Which is lim as n → infinity, | an / bn |.
“bn” becomes our geometric series. Make sure you CLARIFY THAT BOTH OF THESE ARE POSITIVE FOR THE TEST.
Solve, until you realize that it ends up looking like our arctan fact, so overall this equals 1, which is a finite number. Therefore, by the Limit Comparison Test, since the series bn = (2/3)n converges, our an = original series, converges as well.

Recognize that for radius of convergence, we always think about Ratio Test.
Set up ratio test by dividing an+1 / an .
Leave out the |x-5|² . We can include that back in later.
Eventually, the multiplying factors will cancel, but (2n +1) will remain because the way factorials work. Distribute your “n” expressions. Eventually, you’ll get (3n)3 / (3n + 3)n+1. Split up the denominator, and you’ll end up having a geometric series times 2n + 1 / 3n + 3.
The second part of this math just equals 2/3 because of what we know about limits with the same degree.
You’ll realize that the first part looks exactly like the reciprocal of Paulin’s gift. Use this, and convert it to 1 / e!
Multiply 3 left over components together, and set this all < 1. Solve for x when it becomes the only leading power.
You will get that our radius is equal to √3e/2.

Always check P.C.D. for Integral Test. (Conditions)
For P, just explain verbally that this is positive because the denominator is always positive.
For C, you’ll set the denominator equal to zero and realize it is not continuous at n = 0, but that’s not in our interval [1, infinity] so we are good.
For D, the derivative is a lot of work, so we can explain verbally that we know it is decreasing because the denominator grows exponentially, which means that the value of the entire function is getting smaller.
Now we use Integral test. Replace the n with x, and set 1∫infinity (our function) dx
Use u-substitution to make life easier by setting u = √x . Solve for du, but you will realize that both of the work has 1 / √x, so only solve HALFWAY.
Use u to make life easier again. You will end up with 1∫infinity 2e-u du.
Because you are using u, change your bounds by using the definition of u. → √t, 1
Evaluate this with bounds. You will end up realizing that you are left over with 2 / e, which means this series is convergent because we are left over with a finite number. This is also absolutely convergent.

Recognize that we have to compare this to the “ln” series on our worksheet. That series has ln(1+x), so therefore we have to manipulate this one. How? We can do ln(1 + (x - 1)) because that’s the same thing as ln(x)!
To make things easier, just let u = x + 1.
If u = x + 1, then x = u + 1
Using that, rewrite the entirety of f(x). f(x) = (u+1)ln(u+1)
Distribute the ln(u+1) to u and 1, to get two series. Series A will be ln(u+1) and Series B will be uln(u+1).
Write out the first general terms for each series (around 4). Then start combining them based off of each term.
Since Series B starts at term 2, n = 2.
Look for patterns. We see that the denominator is always the current power times the power before it.
Using this, our sigma format for our COEFFICENT becomes (-1)n (bc we dont know the sign) / n(n-1).
Write out the basic definition of a power series, and for xn, use (x-1). your u!
Once you have that, you can write out the entire sigma form of the series, and then write out general term, which is just an.
For part b, write out the basic definition of taylor series. for the coefficient, remember that it is f(n)(center) / n !
Using this, plug in 2026. Set this equal to the coefficient formula we found earlier.
You will multiply 2026! to both sides, until eventually 2026! divided by 2026 times 2025 basically means knocking out the first two in the factorial.
So, you are left with 2024!

Write out the definition of Taylor’s Inequality.
| f(n+1)(x) | ≤ MN on [a - d, a + d], then
| f(x) - TN(x) | = | RN(x) | ≤ M / (n+1)! times |x-a|n + 1 for all x on [a - d, a + d].
Write out what you know.
a = 0, d = 8/9, n = 1, interval: [ -8/9, 8/9]
Find M. You do this by plugging in n to f(n+1)(x), and we get the second derivative.
Take the second derivative of the function. You will get something like:
f’’(x) = -1 / 4(1-x)3/2
Figure out which x to use. VERBALLY EXPLAIN. For us to get the maximum bound, we need to use the x which is going to give us the smallest value possible in the denominator, so then the overall function can have a larger value. So, we use 8/9.
Algebra, figure out what M is.
Using that M = 27/4, plug that into Taylor’s inequality. Solve for error.
You will get that the maximum is equal to 8/3.
2n+1 / 2n = ?
2
2n / 2n+1 = ?
1 / 2
Radius of Convergence =
Ratio Test > 1
∫ e-u du
= -e-u
What does “centered at a” mean?

How do you find out the sign of your coefficient in power/taylor series?
Look at the general terms. Usually,
power is even = positive
power is odd = negative
Why must M always be positive in Taylor’s Inequality? How would you show this?
M is the size of the error, and it can’t be negative.
You show this by:
| f(n+1)(x) | ≤ MN
Definition of a Power Series:
infinity
f(x) = ∑ cn • xn
n = 1

Definition of Taylor Series:
infinity
f(x) = ∑ f(n)(a) / n! • (x- center)n
n = 0

Definition of Taylor’s Inequality:
| f(n+1)(x) | ≤ MN on [a - d, a + d], then
| f(x) - TN(x) | = | RN(x) | ≤ M / (n+1)! times |x-a|n + 1 ≤ M|d|n + 1 / (n+1)! for all x on [a - d, a + d].
![<p>| f<sup>(n+1)</sup>(x) | ≤ M<sub>N </sub>on [a - d, a + d], then<br><br>| f(x) - T<sub>N</sub>(x) | = | R<sub>N</sub>(x) | ≤ M / (n+1)! times |x-a|<sup>n + 1</sup> ≤ M|d|<sup>n + 1</sup> / (n+1)! for all x on [a - d, a + d].</p><p></p>](https://assets.knowt.com/user-attachments/3bf8e230-8cc0-4dec-8898-a3b5a8cc2582.png)
If I use the Limit Comparison Test, what should I make sure I justify?
That an and bn are both positive before dividing them.
When you are using L.C.T. and the series for bn is two parts, which part do you choose?
The “boss” one, the one that is actively SHRINKING faster.


What test do I use when when it looks exactly like a p-series or geometric?
S.C.T.
Compare it to something easier!
Define positive.
What test do I use when it's a messy "fraction of polynomials,” or just messy in general?
L.C.T.
Define positive.
lim as n → infinity, | an / bn |
if bn converges (usually geometric), then an converges if it gives you a single number
What test do I use when I have (-1)n ?
A.S.T.
Check if an = 0, and if they decrease.
If these are met, convergence.
What test do I use if it’s easy to integrate (like u-sub)?
Integral Test
P.C.D. → Yes?
Set Integral, Evaluate at bounds, if you get number it converges.
What test do I use if I have factorials like n! and an ?
Ratio Test
lim as n → infinity, | an + 1 / an | > 1.
What test do I use if the entire term is raised to the nth power?
Root Test
Get rid of the n, now look at ratio.
If L > 1, Divergence
If L < 1, Convergence Absolute

What are the two types of series we usually know the exact value for?
Geometric Series
Telescoping Series