1/30
Used the Walter Strauss Textbook, 2nd Edition
Name | Mastery | Learn | Test | Matching | Spaced | Call with Kai |
|---|
No analytics yet
Send a link to your students to track their progress
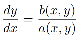
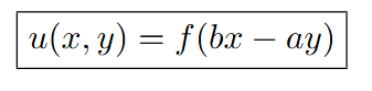
If you have a Partial Differential Equation in the form a(x,y)ux+b(x,y)uy=0, how can you start this problem to find the general solution. What form should your answer be in
u(x,y) = f(c). (1.2 Strauss) (Exam 1 Material)


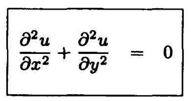
For a PDE in the form shown in the image, what condition must apply for the equation to be elliptic? What is it reducible too?
(1.6 Strauss) (Exam 1 Material)


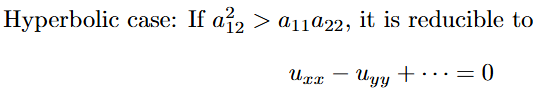
For a PDE in the form shown in the image, what condition must apply for the equation to be hyperbolic? What is it reducible too?
(1.6 Strauss) (Exam 1 Material)


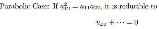
For a PDE in the form shown in the image, what condition must apply for the equation to be Parabolic? What is it reducible too?
(1.6 Strauss) (Exam 1 Material)

What is the 1-D heat equation with a source. What do all the variables mean
u(x,t) is temperature, c is specific heat, rho is mass density (Mass per unit volume), K0 is the coefficient of proportionality (measures the ability of a material to conduct heat, called thermal conductivity), x is position and Q is heat energy per unit volume. (1.2 Haberman) (Exam 1 Material)

At equilibrium, what must be true (in the heat equation)
(1.3 Haberman) (Exam 1 Material)

If Q=0, you can refer to what equation to find the equilibrium temperature distribution
Where T1 is the temperature of a one dimensional rod at x=0 and T2 is the temperature of the rod at x=L. (1.4 Haberman) (Exam 1 Material)

If Q (heat energy per volume) is NOT 0, what equation can you refer to, in order to find the equilibrium temperature distribution.
You have to refer to the heat equation and use the fact that the rate of change of the temperature with respect to time will be 0 (So that term goes away). (1.4 Haberman) (Exam 1 Material)
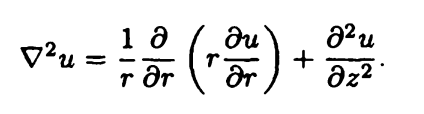
If it is known that the temperature does NOT depend on an angle theta, then what is the Laplacian equal too.
You can often set this equal too 0 (If there’s an equilibrium temperature distribution) and get rid of the second derivative with respect to z. (1.5 Haberman) (Exam 1 Material)

In the method of separation of variables, through what formula do you find the coefficient Bn
We might denote u(x,0) as f(x). That is, u(x,0) = f(x). (2.3 Haberman) (Exam 1 Material)


What is the image equal too (This could help with separation of variables)
(2.3 Haberman) (Exam 1 Material)


What is the image equal too (This could help with separation of variables)
(2.3 Haberman) (Exam 1 Material)

What is the differential equation made from separation of variables
This equation will result in a characteristic equation (2.3 Haberman) (Exam 1 Material)

What is the solution, u(x,t), in a separation of variables problem (As a summation)
(2.3 Haberman) (Exam 1 Material)

If u(x,t)=G(t)phi(x) in separation of variables, what is G(t) equal too
(2.3 Haberman) (Exam 1 Material)

What is the orthogonality of sines formula
(2.3 Haberman) (Exam 1 Material)


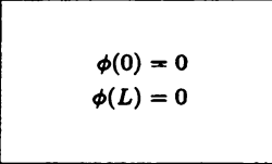
For a boundary value problem in the following form: \phi’’ + \lambda\phi = 0, subject to the boundary conditions in the image, what are the eigenvalues, eigenfunctions, series, and coefficients associated.
(2.4 Haberman) (Exam 2 Material)


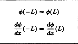
For a boundary value problem in the following form: \phi’’ + \lambda\phi = 0, subject to the boundary conditions in the image, what are the eigenvalues, eigenfunctions, series, and coefficients associated.
(2.4 Haberman) (Exam 2 Material)


For a boundary value problem in the following form: \phi’’ + \lambda\phi = 0, subject to the boundary conditions in the image, what are the eigenvalues, eigenfunctions, series, and coefficients associated.
(2.4 Haberman) (Exam 2 Material)


If you have a Fourier series, as shown in the image, what are all the unknown Fourier coefficients equal too
(2.4 Haberman) (Exam 2 Material)

What is Laplace’s Equation for a rectangle
(2.5 Haberman) (Exam 2 Material)

What is Laplace’s equation for a circle, circular annulus, or circular disk
(2.5 Haberman) (Exam 2 Material)

What is the general solution for Laplace’s equation equation for a circle, circular annulus, or circular disk
(2.5 Haberman) (Exam 2 Material)

If a function is piecewise smooth, what does this mean
The interval can be broken up into pieces such that in each piece the function f(x) and it’s derivative are continuous (3.1 Haberman) (Exam 2 Material)
The odd extension of f(x) has what Fourier Series. What is the coefficient equal too and is this coefficient the same as the regular Fourier series
Fourier sine series. Yes this is the same coefficient (It’s just written differently in the image) (3.3 Haberman) (Exam 2 Material)

What is the Fourier cosine series. What are the coefficients equal too.
The formula for the coefficients are the same as the regular Fourier series. (3.3 Haberman) (Exam 2 Material)

What is Strum-Liouville form
(Exam 3 Material)

In a Strum-Liouville problem, how do you find the weight function, sigma
(Exam 3 Material)

What is the formula for the Rayleigh Coefficient
u is the trial function that needs to satisfy the initial condition. (Exam 3 Material)

What is the formula for circular frequency for the wave equation
(Exam 3 Material)

What is the formula for actual frequency for the wave equation
(Exam 3 Material)
