1/153
Looks like no tags are added yet.
Name | Mastery | Learn | Test | Matching | Spaced | Call with Kai |
|---|
No analytics yet
Send a link to your students to track their progress
ZOLPIDEM
Farmacotherapeutische klasse: Benzodiazepine agonist z-product
Werkingsmechanisme: Inwerking op GABA A
Gebruik: slapeloosheid

ACETYLSALICYLZUUR
Farmacotherapeutische klasse: Niet opioïde analgetica, antipyretica
Antitrombotica, antiaggregantia
Werkingsmechanisme: inhibitie COX
Gebruik: acuut myocardinfarct, instabiele angor, acuut ischemisch CVA, secundaire preventie, beperkte pijn en koortswering

INFLUENZAVACCIN
Farmacotherapeutische klasse: antiviraal vaccins
Werkingsmechanisme: geinactiveerd influenzavirus

LEVOTHYROXINE
Farmacotherapeutische klasse: thyreomimetica
Werkingsmechanisme: gelijkaardige werking als schildklierhormoon T4 omzetting tot T3
Gebruik: hypothyroidie, preventie nodules na partiele thyroidectomie, preventie recifief na totale thyroidectomie, Ziekte van Basedow

ALPRAZOLAM
Farmacotherapeutische klasse: Benzodiazepine agonisten, psycholeptican anxiolytica
Werkingsmechanisme: inwerking op GABA A receptor
Gebruik: angst, spasticiteit, epilepsie

TRAMADOL
Farmacotherapeutische klasse: narcotische analgetica
Werkingsmechanisme: remming neuronale heropname noradrenaline en versterkt afgifte serotonine
Gebruik: chronische pijn, pijnbestrijding palliatieve zorg, antitussivum

LORMETAZEPAM
Farmacotherapeutische klasse: Benzodiazepine agonisten
Werkingsmechanisme: versterkt werking natuurlijk GABA
Gebruik: slapeloosheid

MACROGROL, COMBO PREPARATEN
Farmacotherapeutische klasse: osmotisch laxativum
Werkingsmechanisme: verhoging volume intestinaal vocht waardoor faecaal volume toeneemt en faeces zachter wordt
Gebruik: obstipatie (met faecaloom), darmreiniging voor coloscopie/darmoperatie

XYLOMETAZOLINE
Farmacotherapeutische klasse: Sympaticomimetica (nasale vasoconstrictor) decongestiva
Werkingsmechanisme: direct effect op alfa-receptoren, vasoconstrictie en decongestie van neusslijmvlies
Gebruik: rhinitis, sinusitis, neusverstopping

DICLOFENAC
Farmacotherapeutische klasse: NSAID
Werkingsmechanisme: COX inhibitie
Gebruik: inflammatoire aandoeningen, pijn, koorts

AMOXICILLINE
Farmacotherapeutische klasse: Penicillinen
Werkingsmechanisme: inhibitie transpeptidase waardoor de peptidoglycaan niet kan aangemaakt worden
Gebruik: breed spectrum AB, pneumonie, bronchitis, acute rhinosinusitis, acute otitis media, tandabces, erythema migrans, lyme arthritis, eradicatie H pylori, bijtwonden, diverticulitis, gecompliceerde UTI

BETA LACTAMASE INHIBITOR
Farmacotherapeutische klasse: /
Werkingsmechanisme: inhibitie beta-lactamase dat geproduceerd wordt door bacterien die resistent zijn aan beta-lactam AB
Gebruik: resisentie

POVIDON JOOD
Farmacotherapeutische klasse: Desinfectantia
Werkingsmechanisme: doding bacterien, schimmels en virussen, Jood gaat interageren met NH-groepen van AZ en nucleotiden en oxideert de SH-groep van cysteine
Gebruik: orofaryngeale aandoeningen, antisepticum huid, slijmvliezen voor en na operatie

MICONAZOL
Farmacotherapeutische klasse: imidazolen antimycotica
Werkingsmechanisme: remming 14-alfa-demethylase waardoor ergosterol niet kan aangemaakt worden voor de membraan
Gebruik: orofaryngeale candidose, intestinale candidose

MOMETASON
Farmacotherapeutische klasse: Corticosteroiden
Werkingsmechanisme: onderdrukking ontstekings en allergische reactie
Gebruik: rhinitis, sinusitis, inflammatoire huidaandoeningen

BUMETANIDE
Farmacotherapeutische klasse: kaliumverliezende Lisdiuretica
Werkingsmechanisme: remming terugresorptie Na en Cl in opstijgende deel van Lis van Henle, bevordering uitscheiding K, Ca en Mg
Gebruik: acuut longoedeem, hypertensie, oedeem van hepatische/renale/cardiale oorsprong, bevordering diurese bij sterk verminderede nierfunctie

METHYLFENIDAAT
Farmacotherapeutische klasse: centraal werkende sympaticomimetica
Werkingsmechanisme: blokkeren heropname noradrenaline en dopamine in presynaptisch neuron, waardoor meer vrijstelling
Gebruik: ADHD, narcolepsie

METHYLPREDNISOLON
Farmacotherapeutische klasse: Corticosteroiden
Werkingsmechanisme: remming ontsteking en overgevoeligheidsreacties
Gebruik: auto-immune/inflammatoire aandoeningen in rheumatologie/GI/dermatologi/ nefrologie, ernstig bronchiaal asthma, pseudokroep, acute allergische reacties, sepsis/infectie in oncologie

PSEUDOEFEDRINE COMBO PREPARATEN
Farmacotherapeutische klasse: vasoconstrictoren sympaticomimetica
Werkingsmechanisme: vasoconstrictie
Gebruik: rhinitis, sinusitis

OXYMETAZOLINE
Farmacotherapeutische klasse: nasale vasoconstrictor
Werkingsmechanisme: direct effect op de alfa-receptoren, plaatselijke vasoconstrictie en decongestie neusslijmvlies
Gebruik: rhinitis, sinusitis

ACETYLCYSTEINE
Farmacotherapeutische klasse: Mucolytica
Werkingsmechanisme: verminderen viscositeit bronchiaal slijm door depolymerisatie, reductie hyperplasie mucosacellen, toename productie oppervlakte-actieve stoffen door stimulatie type II pneumocyten, stimulatie mucociliaire acitiviteit
Gebruik: slijm hoesten, mucoviscidose, acute intoxicatie door paracetamol

TRAMAZOLINE
Farmacotherapeutische klasse: nasale vasoconstrictoren
Werkingsmechanisme: direct effect op alfa-receptoren, plaatselijke vasoconstrictie en decongestie neusslijmvlies
Gebruik: verstopte neus, rhinitis, sinusitis

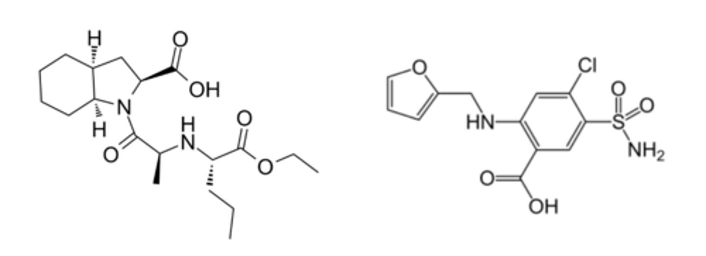
PERINDOPRIL
Farmacotherapeutische klasse: ACE-inhibitoren
Werkingsmechanisme: remming ACE waardoor geen vorming angiotensine II, toename plasmarenine activiteit en daling aldosteronsecretie. Door perifere vasodilatatie daalt voor- en nabelasting hart en daalt bloeddruk
Gebruik: hypertensie, hartfalen, na myocardinfarct/revascularisatie

LOPERAMIDE
Farmacotherapeutische klasse: opioide Motiliteitsremmers , antidiarreica
Werkingsmechanisme: binding opioidreceptor darmwand waardoor daling darmmotiliteit. Langere verblijftijd darminhoud waardoor daling faecaal volume. Vermindering verlies lichaamswater en elektrolyten door toegenomen absorptie
Gebruik: acute, chronische diarree

ESCITALOPRAM
Farmacotherapeutische klasse: SSRIs
Werkingsmechanisme: remming heropname serotonine
Gebruik: depressie

TRAMADOL + PARACETAMOL
Farmacotherapeutische klasse: opiaat agonist + NSAID
Werkingsmechanisme: analgetische en antipyretische werking
Gebruik: sterke pijnstilling

PREDNISOLON
Farmacotherapeutische klasse: Corticosteroiden
Werkingsmechanisme: remming ontstekings en allergischereacties
Gebruik: rhinitis, sinusitis, hemorroiden, niet infectieuze inflammatie voorste oogsegment, trauma oog door fysische/chemische agentia

CETIRIZINE
Farmacotherapeutische klasse: Antihistaminica
Werkingsmechanisme: inhibitie H1 receptor waardoor inhibitie allergische reacties, remmende werking op migratie eosinofielen
Gebruik: allergische rhinoconjunctivitis, rhinitis, sinusitis

FENOTEROL
Farmacotherapeutische klasse: B2-agonist
Werkingsmechanisme: spasmolytisch effect op bronchus
Gebruik: COPD, asthma

IPATROPIUMBROMIDE
Farmacotherapeutische klasse: Parasympaticolyticum
Werkingsmechanisme: bronchospasmolytisch en minder bronchiale secretie
Gebruik: COPD, asthma

DOMPERIDON
Farmacotherapeutische klasse: Perifere Dopamine-antagonisten, gastroprokinetica
Werkingsmechanisme: verhoogt de tonus van de onderste oesofageale sfincter en de gecoordineerde antroduodenale peristaltiek waardoor versnelde maaglediging
Gebruik: misselijkheid, braken

DICHLOORBENZYLALCOHOL
Farmacotherapeutische klasse: Desinfectantia
Werkingsmechanisme: ontsmetting mond en keelholte
Gebruik: infecite mond en keel, keelpijn

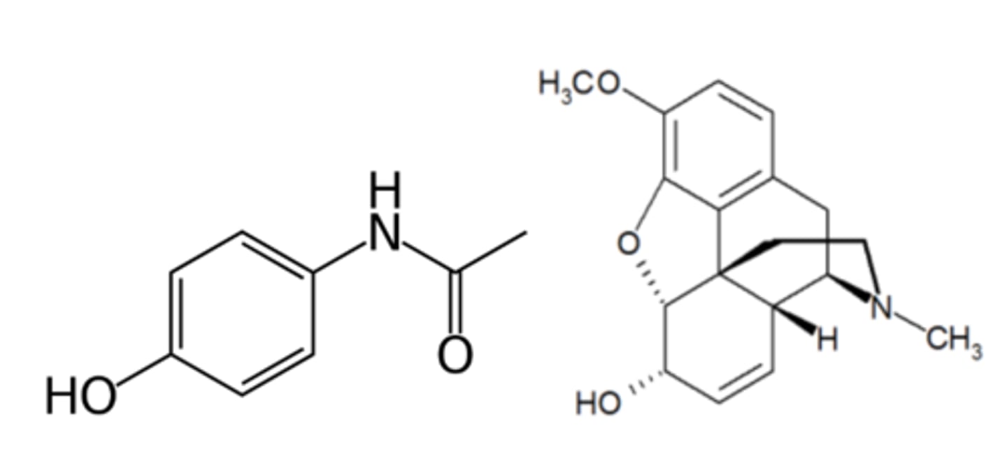
PARACETAMOL
Farmacotherapeutische klasse: Niet-opioide analgetica-antipyretica
Werkingsmechanisme: nog onduidelijk --> remming COX
Gebruik: pijnstiller, koorts

IBUPROFEN
Farmacotherapeutische klasse: NSAID
Werkingsmechanisme: inhibitie COX
Gebruik: inflammatoire en degeneratieve aandoeningen bewegingsstelsel, extra-articulaire aandoening, pijn, ontsteking, posttraumatisch/postoperatief oedeem, koorts

PANTOPRAZOL
Farmacotherapeutische klasse: protonpompinhibitor
Werkingsmechanisme: Remt selectief het maagzuurproducerende enzym H+/K+-ATP-ase in de pariëtale cel van de maagmucosa.
Gebruik: tegen maagzweer, preventie ulcers bij NSAIDs, reflux oesophagitis, Zollinger-Ellison

METFORMINE
Farmacotherapeutische klasse: biguanide antidiatbeticum
Werkingsmechanisme: verhogen perifere gevoeligheid voor insuline, verminderen glucoseproductie lever, Geen stimulatie van endogeen insuline!
Gebruik: diabetes mellitus type 2

COLECALCIFEROL
Farmacotherapeutische klasse: Vitamine D en analogen
Werkingsmechanisme: bevorderen van de fosfaat en calciumabsorptie uit het maagdarmkanaal en de terugresorptie van calcium door de nieren
Gebruik:rachitis, osteomalacie, osteoporose preventie fracturen

BISOPROLOL
Farmacotherapeutische klasse: selectieve Beta 1 blokker (zonder intrinsieke sympaticomimetische activiteit)
Werkingsmechanisme: vermindering invloed adrenerge prikkels op hart, hartminuutvolume en cardiaal O2-gebruik dalen, vertraging AV-geleiding, onderdrukking plasmarenine-activiteit, vasodilatatie
Gebruik: hypertensie, angor, aritmie, hartfalen

ATORVASTATINE
Farmacotherapeutische klasse: statinen
Werkingsmechanisme: remming HMG-CoA reductase waardoor inhibitie aanmaak cholesterol
Gebruik: hypercholesterolemie, preventie CV ziekten

OMEPRAZOL
Farmacotherapeutische klasse: Protonpompinhibitoren
Werkingsmechanisme: inhibitie maagzuursecretie
Gebruik: maagulcus, duodenaal ulcus, refluxoesofagitis, refluxsymptomen, eradicatie H. pylori, preventie ulcera

SIMVASTATINE
Farmacotherapeutische klasse: Statinen (prodrug)
Werkingsmechanisme: inhibitie HMG-CoA reductase waardoor geen aanmaak cholesterol
Gebruik: Hypercholesterolemie, preventie CV ziekten

LORAZEPAM
Farmacotherapeutische klasse: Benzodiazepine agonisten
Werkingsmechanisme: versterkt werking natuurlijk GABA
Gebruik: angst, slapeloosheid

ROSUVASTATINE
Farmacotherapeutische klasse: Statinen
Werkingsmechanisme: inhibitie HMG-CoA reductase waardoor geen aanmaak cholesterol
Gebruik: Hypercholesterolemie, preventie CV ziekten

AMLODIPINE
Farmacotherapeutische klasse: Dihydropyridinen calciumantagonisten
Werkingsmechanisme: vasodilatatie door influx Ca in cellen te inhiberen
Gebruik: hypertensie, angor

TRAZODON
Farmacotherapeutische klasse: SSRIs
Werkingsmechanisme: agonist serotoninereceptor en remt heropname serotonine
Gebruik: depressie, slapeloosheid

ALGINEZUUR
Farmacotherapeutische klasse: Antacida
Werkingsmechanisme: vormt beschermende laag over maaginhoud waardoor fysische barriere tussen maagzuur en oesophagus en de reflux onderdrukt wordt
Gebruik: dyspepsie, gastritis, pyrosis

ALLOPURINOL
Farmacotherapeutische klasse: Xanthine-oxidaseremmers
Werkingsmechanisme: remt xanthine-oxidase waardoor geen vorming urinezuur en minder afzetting urinezuur in gewrichten
Gebruik: jicht (niet tijdens aanval), hyperuricemie

SPIRONOLACTON
Farmacotherapeutische klasse: kaliumsparende diuretica
Werkingsmechanisme: Remt in distale tubulus de uitwisseling van Na in tubulusvloeistof tegen K uit tubuluscellen, door competitief antagonisme met aldosteron
Gebruik: mild tot ernstig hartfalen, resistente hypertensie, primair en secundair hyperaldosteronisme, cirrose met ascites en oedeem

CODEINE + PARACETAMOL
Farmacotherapeutische klasse: combinatiepreparaat analgetica
Werkingsmechanisme: analgetische, sedatieve, obstiperende en hoestprikkeldempende werking van codeine, inhibitie COX
Gebruik: pijnbestrijding

BILASTINE
Farmacotherapeutische klasse: H1 Antihistaminica
Werkingsmechanisme: inhibitie binding Histamine aan H1 receptor voor remming allergische effecten, weinig sederend
Gebruik: allergische rhinoconjuctivitis, rhinitis, sinusitis

ESOMEPRAZOL
Farmacotherapeutische klasse: protonpompinhibitoren
Werkingsmechanisme: remming maagzuurproducerend enzym H+/K+ ATPase in parietale cel maagmucosa
Gebruik: refluxoesofagitis, reflux symptomen, eradicatie H. pylori, Ulcera door NSAIDs

DEXTROMETHORFAN
Farmacotherapeutische klasse: antitussiva
Werkingsmechanisme: verhogen hoestprikkeldrempel in medulla oblongata CZS, inwerking op opioid receptoren
Gebruik: niet productieve hoest

SALBUTAMOL
Farmacotherapeutische klasse: B2 mimetica (SABA)
Werkingsmechanisme: selectieve stimulatie b2 receptoren in luchtwegen waardoor relaxatie bronchiale gladde spieren
Gebruik: asthma, COPD

CLONAZEPAM
Farmacotherapeutische klasse: Benzodiazepines
Werkingsmechanisme: pre- en postsynaptische werking versterkt natuurlijk GABA
Gebruik: epilepsie

CALCIUM + VITAMINE D
Farmacotherapeutische klasse: vitamines en mineralen
Werkingsmechanisme: /
Gebruik: behandeling en preventie osteoporose

CHLOORHEXIDINE
Farmacotherapeutische klasse: antiseptica
Werkingsmechanisme: binding aan negatief geladen fosfolipiden in de bacteriele celwand. Celinhoud lekt waardoor lyse en celdood
Gebruik: profylactisch bij verwondingen

BUTYLSCOPOLAMINE
Farmacotherapeutische klasse: parasympaticolytica
Werkingsmechanisme: remming werking Ach door competitieve inhibitie muscarinereceptoren
Gebruik: spastische pijntoestanden zoals bij IBS

DIAZEPAM
Farmacotherapeutische klasse: Benzodiazepines
Werkingsmechanisme: versterking werking natuurlijk GABA
Gebruik: angst

OXYCODON
Farmacotherapeutische klasse: opiaat agonisten
Werkingsmechanisme: /
Gebruik: ernstige acute of chronische pijn

NICOTINE
Farmacotherapeutische klasse: middelen bij nicotineafhankelijkheid
Werkingsmechanisme: binding nicotinereceptoren aan neuromusculaire overgang, autonome ganglia, bijnier en CZS, in lage dosissen stimulerend, in hoge dosissen remmend
Gebruik: behandeling ontwenningsverschijnselen

FOSFOMYCINE
Farmacotherapeutische klasse: urinaire antibacteriele middelen
Werkingsmechanisme: remming fosfo-enolpyruvyltransferase, betrokken bij peptidoglycaansynthese
Gebruik: niet gecompliceerde lage UTI en recidiverende cystitis (G+ en G-)

AZITHROMYCINE
Farmacotherapeutische klasse: antimicrobiele middelen, macroliden
Werkingsmechanisme: voorkomt de RNA afhankelijke eiwitsynthese door te binden aan 50S ribosomale subunit
Gebruik: acute keelpijn, otitis media, atypische pneumonie, pertussis, acute gastro-enteritis, SOA, Acne, cellulitis, impetigo, erysipelas, erythema migrans, tandabcess

VALPROINEZUUR
Farmacotherapeutische klasse: anti-epileptica
Werkingsmechanisme: inhibeert barnsteenzuur semialdehyde dehydrogenase, dewelke zorgt voor afbraak GABA
Gebruik: idiopatische veralgemeende epilepsie, focale epilepsie aanvallen, manische periode bipolaire stoornissen

ENOXAPARINE
Farmacotherapeutische klasse: anticoagulantia (LMWH)
Werkingsmechanisme: versterking neutralisering geactiveerde stollingsfactoren door binding aan antitrombine, hierdoor geen omzetting van fibrinogeen naar fibrine
Gebruik: behandeling en preventie DVT en longembool (bij chirurgie) of langdurige immobilisatie, instabiele angor, acuut coronair syndroom, ischemisch CVA, ipv Vit K antagonisten bij zwangerschap, ingrepen met hoog bloedingsrisico, preventie coagulatie bij hemodialyse

FUSIDINEZUUR
Farmacotherapeutische klasse: lokale antimicrobiele middelen
Werkingsmechanisme: blokkeren elongatiefactor G waardoor deze niet kan binden aan ribosomen en GTP, waardoor geen energie meer voor synthese celwand
Gebruik: impetigo, oftalmische infecties

BETAHISTINE
Farmacotherapeutische klasse: vertigomiddelen
Werkingsmechanisme: zwak agonisme op H1 receptor en sterk antagonisme op H3 receptor in CZS
Gebruik: ziekte van Mènière

NEBIVOLOL
Farmacotherapeutische klasse: beta 1 antagonisten
Werkingsmechanisme: blokkeren beta 1 receptor waardoor daling gevoeligheid adrenerge prikkeling
Gebruik: hypertensie, hartfalen

MELITRACEEN + PSYCHOLEPTICA
Farmacotherapeutische klasse: tricyclisch antidepressivum
Werkingsmechanisme: remming heropname noradrenaline en serotonine, in combo met thioxantheen
Gebruik: depressie, sedativum

BISACODYL
Farmacotherapeutische klasse: contactlaxativa
Werkingsmechanisme: prikkeling darmwand waardoor vermindering zout en waterresorptie en verhogen uitscheiding ervan, bevordering darmperistaltiek, stimulatie stoelgang en verkorting passagetijd faeces
Gebruik: voorbereiding onderzoek/interventie thv darm, acute obstipatie

DEXAMETHASON + ANTIMICROBIELE MIDDELEN
Farmacotherapeutische klasse: corticosteroiden
Werkingsmechanisme: ontstekingsremmend, remmen vrijkomen mediatoren
Gebruik: auto-immune, inflammatoire aandoeningen in reumatologie/GI/ dermatologie/nefrologie, ernstig bronchiaal asthma, pseudokroep, acute allergische reactie, adjuvant bij oncologie/infecties/sepsis, na transplantatie

PERINDOPRIL + AMLODIPINE
Farmacotherapeutische klasse: ACE inhibitor + calciumantagonist
Werkingsmechanisme: remming ACE waardoor geen vorming angiotensine II, stijging plasmarenine-activiteit en ACE activiteit, daling aldosteronsecretie. Remming langzame Ca influx in hartspiercellen en gladde spieren vaatwand via L-type kanalen, hierdoor relaxatie spierweefsel perifere en coronaire vaten
Gebruik: Hypertensie

SACCHAROMYCES BOUARDII
Farmacotherapeutische klasse: probiotica, antidiarreica
Werkingsmechanisme: Bescherming dunne en dikke darm tegen ziekeverwekkers
Gebruik: AB geinduceerde diarree met C difficile, diarree

LEVOCETIRIZINE
Farmacotherapeutische klasse: H1-antihistaminica
Werkingsmechanisme: remming constrictieve effecten van histamine op gladde spieren van vaatwand, bronchi en blaas. Remmen de verhoging van capillaire permeabiliteit en oedeemvorming, weinig sederend
Gebruik: allergische rhinoconjunctivitis, rhinitis, oftalmologische aandoeningen

VITAMINE B1 MET B6/B12
Farmacotherapeutische klasse: wateroplosbare vitamines
Werkingsmechanisme: /
Gebruik: chronisch alcoholmisbruik, wernicke encefalopathie, thiaminedeficientie

GLICLAZIDE
Farmacotherapeutische klasse: Hypoglycemierende sulfamiden
Werkingsmechanisme: blokkeren ATP-afhankelijke K-kanalen in beta-celmembraan pancreas. Depolarisatie en opening Ca-kanalen. Door verhoogde Ca influx is er secretie insuline
Gebruik: Diabetes mellitus type 2

DESLORATADINE
Farmacotherapeutische klasse: H1-antihistaminicum
Werkingsmechanisme: remming constrictieve effecten van histamine op gladde spieren van vaatwand, bronchi en blaas. Remmen de verhoging van capillaire permeabiliteit en oedeemvorming, weinig sederend
Gebruik: allergische rhinoconjunctivitis, rhinitis, sinusitis

DIOSMINE
Farmacotherapeutische klasse: veno- en capillarotropica
Werkingsmechanisme: vasoprotectief
Gebruik: aambeien, chronische veneuze aandoeningen van benen

VENLAFAXINE
Farmacotherapeutische klasse: SNRI's
Werkingsmechanisme: vermindering gevoeligheid van noradrenerge beta-rec
Gebruik: depressie

FOLIUMZUUR
Farmacotherapeutische klasse: Vitamine B11, wateroplosbare vitamines
Werkingsmechanisme: Co-enzym voor de overdracht van methyl-, hydroxymethyl- en formylgroepen. Het is belangrijk voor de synthese van DNA en RNA en voor het metabolisme van enkele aminozuren. Dit maakt de vitamine noodzakelijk voor de groei.
Gebruik: preventie neuraalbuiseffecten, hemlytische anemie, bijwerkingen methotrexaat

INSULINE ASPART
Farmacotherapeutische klasse: ultrasnelwerkende insuline analogen
Werkingsmechanisme: Verlaagt de bloedglucose door de opname van glucose door de cellen te verhogen en de afgifte van glucose door de lever te verlagen; het bevordert de glycogeenvorming en vermindert de gluconeogenese. Daarnaast bevordert insuline de eiwitsynthese en remt het de lipolyse (regulering van de mobilisatie van vet uit depots).
Gebruik: Diabetes mellitus

BISOPROLOL + THIAZIDEN
Farmacotherapeutische klasse: beta-blokker + diureticum
Werkingsmechanisme: blokkeren van Na Cl cotransport in distale tubulus, remming passieve terugresorptie Na en water, verhoging aanbod Na in distale tubulus, bevordering uitscheding Ka en Mg, remming uitscheiding Ca
Gebruik: Hypertensie

LERCANIDIPINE
Farmacotherapeutische klasse: Ca-antagonisten
Werkingsmechanisme: verminderen contractie glad spierweefsel perifere en coronaire arterien door afnme intracellulair Ca door remming Ca instroom, afgifte NO uit vasculair endotheel
Gebruik: Hypertensie

PROPRANOLOL
Farmacotherapeutische klasse: niet selectieve beta-blokker
Werkingsmechanisme: blokkeren beta-receptoren waardoor afname gevoeligheid adrenerge prikkeling
Gebruik: hypertensie, angor, aritmie, hyperthyroidie, secundaire preventie myocardinfarct, profylactisch migraine, tremor, podiumvrees, preventie bloedingen slokdarmvarices

OTILONIUM BROMIDE
Farmacotherapeutische klasse: spasmolytica
Werkingsmechanisme: directe inwerking op gladde spiercellen
Gebruik: spastische pijntoestanden

BROMAZEPAM
Farmacotherapeutische klasse: Benzodiazepines
Werkingsmechanisme: versterking werking natuurlijk GABA
Gebruik: angst

FLUCONAZOL
Farmacotherapeutische klasse: antimycotica
Werkingsmechanisme: remming 14-alfa-demethylase waardoor ergosterol niet kan aangemaakt worden voor de membraan
Gebruik: orofaryngeale candidose, oesofagale candidose, vaginale candidose, dermatomycose

FUROSEMIDE
Farmacotherapeutische klasse: Lisdiuretica (K verliezend)
Werkingsmechanisme: remming terugresorptie Na en Cl in opstijgende deel van Lis van Henle, bevordering uitscheiding K, Ca en Mg
Gebruik: hypertensie, oedeem, bevorderen diurese bij sterk verminderde nierfunctie

INSULINE GLARGINE
Farmacotherapeutische klasse: Langwerkende insuline analogen
Werkingsmechanisme: exogeen insuline
Gebruik: Diabetes mellitus

PREGABALINE
Farmacotherapeutische klasse: anti-epileptica (nauw spectrum)
Werkingsmechanisme: regulatie openen en sluiten ionkanalen door inwerking op GABA of glutamaat receptoren
Gebruik: focale epilepsie aanvallen, neuropatische pijn, veralgemeende angst

PERINDOPRIL + DIURETICA
Farmacotherapeutische klasse: ACE inhibitor + diuretica
Werkingsmechanisme: remming ACE waardoor geen vorming angiotensine II, stijging plasmarenine-activiteit en ACE activiteit, daling aldosteronsecretie.
Gebruik: Hypertensie

CARBOCISTEINE
Farmacotherapeutische klasse: mucolytica en expectorantia
Werkingsmechanisme: daling viscositeit bronchiaal slijm door depolymerisatie
Gebruik: hoesten met fluimen, preventie exacerbaties bij COPD

FORMOTEROL + BECLOMETASON
Farmacotherapeutische klasse: beta 2 mimetica met inhalatiecorticosteroid
Werkingsmechanisme: spasmolytisch effect op bronchus en remming ontstekingsreactie
Gebruik: asthma, COPD

SERTRALINE
Farmacotherapeutische klasse: SSRI
Werkingsmechanisme: inhibitie heropname serotonine
Gebruik: depressie

CLOPIDOGREL
Farmacotherapeutische klasse: antitrombotica, P2Y12 antagonisten
Werkingsmechanisme: irreversibele binding P2Y12 receptoren van trombocyt, remming aggregatie
Gebruik: na myocard infarct, ischemisch CVA, perifere arteriele aandoening, acuut coronair syndroom, electieve PTCA, voorkamerfibrillatie

QUETIAPINE
Farmacotherapeutische klasse: atypische neuroleptica
Werkingsmechanisme: interacties met H1, alfa 1, 5HT2, D2, alfa 2, 5HT1A en D1
Gebruik: schizofrenie, gedragsstoornissen bij dementie, acute verwardheid en psychose door Parkinson

DULOXETINE
Farmacotherapeutische klasse: SNRIs
Werkingsmechanisme: inhibitie heropname serotonine en noradrenaline
Gebruik: depressie, inspanningsincontinentie

PAROXETINE
Farmacotherapeutische klasse: SSRI
Werkingsmechanisme: remming heropname serotonine
Gebruik: depressie

IMIDAZOL + CORTICOSTEROIDEN
Farmacotherapeutische klasse: Antimycotica + corticosteroiden
Werkingsmechanisme: remming 14-alfa-demethylase waardoor ergosterol niet kan aangemaakt worden voor de membraan, remming ontstekingsreacties
Gebruik: schimmelinfecties huid

APIXABAN
Farmacotherapeutische klasse: directe orale anticiagulantia
Werkingsmechanisme: rechtsreekse inhibitie trombine
Gebruik: preventie DVT en longembool bij orthopedische chirurgie, preventie trombo-embolische events bij niet-valvulaire VKF

TAMSULOSINE
Farmacotherapeutische klasse: alfa-antagonist
Werkingsmechanisme: relacatie gladde spieren in prostaat en urethra
Gebruik: benigne prostaathypertrofie
