Bio Lab 3 Functional Groups

0.0(0)
Studied by 0 people
call kaiCall Kai
learnLearn
examPractice Test
spaced repetitionSpaced Repetition
heart puzzleMatch
flashcardsFlashcards
GameKnowt Play
Card Sorting

1/6

encourage image

There's no tags or description

Looks like no tags are added yet.

Last updated 4:53 AM on 4/13/26
Name
Mastery
Learn
Test
Matching
Spaced
Call with Kai

No analytics yet

Send a link to your students to track their progress

7 Terms

1
New cards
term image

Hydroxyl

2
New cards
term image

Carbonyl

3
New cards
term image

Carboxyl

4
New cards
term image

Amino

5
New cards
term image

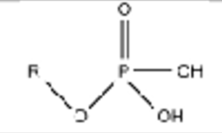
Phosphate

6
New cards
term image

Methyl

7
New cards
term image

Sulfhydryl