1/16
Name | Mastery | Learn | Test | Matching | Spaced | Call with Kai |
|---|
No analytics yet
Send a link to your students to track their progress

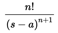
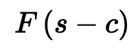
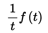
f(t) = L-1 { F(s) }
F(s) = L { f(t) }


f(t) = L-1 { F(s) }
F(s) = L { f(t) }


f(t) = L-1 { F(s) }
F(s) = L { f(t) }


f(t) = L-1 { F(s) }
F(s) = L { f(t) }


f(t) = L-1 { F(s) }
F(s) = L { f(t) }


f(t) = L-1 { F(s) }
F(s) = L { f(t) }


f(t) = L-1 { F(s) }
F(s) = L { f(t) }


f(t) = L-1 { F(s) }
F(s) = L { f(t) }


f(t) = L-1 { F(s) }
F(s) = L { f(t) }


f(t) = L-1 { F(s) }
F(s) = L { f(t) }


f(t) = L-1 { F(s) }
F(s) = L { f(t) }


f(t) = L-1 { F(s) }
F(s) = L { f(t) }


f(t) = L-1 { F(s) }
F(s) = L { f(t) }


f(t) = L-1 { F(s) }
F(s) = L { f(t) }


f(t) = L-1 { F(s) }
F(s) = L { f(t) }


f(t) = L-1 { F(s) }
F(s) = L { f(t) }


f(t) = L-1 { F(s) }
F(s) = L { f(t) }
