1/16
Looks like no tags are added yet.
Name | Mastery | Learn | Test | Matching | Spaced | Call with Kai |
|---|
No analytics yet
Send a link to your students to track their progress
What does “head” loss mean?
Loss in capability to increase height of fluid
What is the cause of pipe friction, head loss?
due to fluid friction (viscosity)
What are the consequences of pipe friciton?
increased pumping power, reduced fluid flow, reduced available fluid power
Are losses from straight pipe major or minor?
major

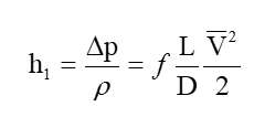
What’s this equation for?
MAJOR head loss in a circular pipe (laminar flow)

What’s this equation for?
MAJOR head loss in circular pipe

What are the axis label of the MOODY Diagram?
Re, Relative Roughness, friction factor

What does the piping schematic for this lab look like?

What does the decreasing height in the static pressure tubes mean?
Decreasing height = decreasing static pressure
What are the components of the experimental apparatus?
55 gal tank
1.85 HP swimming pool pump
PVC pipe
Hoffer turbine flowmeter
bourdon pressure gage
galvanized steel pipe test section
flexible Tygon tubing for static pressure measurements
Total head loss
the sum of major losses, h1, caused by friciton in the piping and the minor losses h1m, caused by entrance effects and non-straight piping elements such as, fittings, valves, etc.
What assumption do we make in this experiment?
we neglect the entrance losses

What are the variables in this equation?

What reynolds number is considered to be laminar
Re < 2300

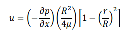
What is this equation for?
The velocity profile of a fully-developed laminar flow
For turbulent flows pressure drop is a function of what variables?

What are the objectives of this experiment
Measure the pressure drop in a known length of straight pipe, determine the value for the friction factor experimentally, and compare your measured f values against the theoretical (laminar) and empirical (turbulent) f values for your test values of Re and e/D.