1/125
Looks like no tags are added yet.
Name | Mastery | Learn | Test | Matching | Spaced | Call with Kai |
|---|
No analytics yet
Send a link to your students to track their progress
differential equation
an equation that contains an unknown function and one or more of its derivatives
k?
constant of proportionality
slope field examples

ride the wave

on an increasing function, overestimate or underestimate

on a decreasing function, overestimate or underestimate

for trapezoid, over or underestimate

how to find the width of a rectangle ?
important formula fr

formulas for scary reimann sums

scary ah reimann formula
wow im scared

reimann example w scary formula

accumulation functions
know for the test please

maureen braun

maureen braun examples

know the properties of integrals
im warning u ….

fundamental theorem of calculus

fundamental theorem example
you dont need C yay

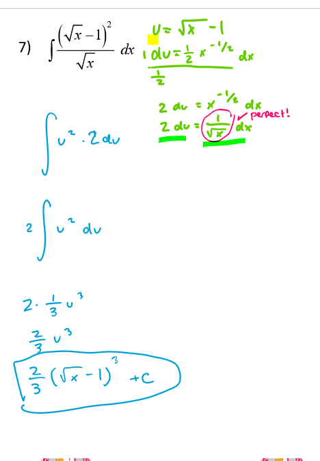
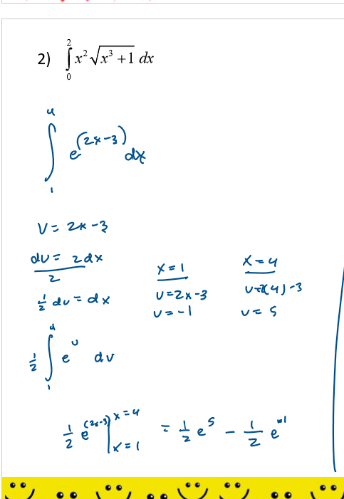
steps for u sub
find u
find the derivative of u (du)
plug things in
sub in for u at the end
add C if its not definite
if it is definite, use F(b)-F(a)

u sub definite integrals example

integration using long division example

integration using completing the square example

formula for completing the square
(b/2a)²
critical points on a graph
critical points are non-differentiable

critical points algebraically

candidates test example

first derivative test for relative extrema

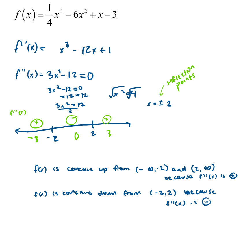
intervals of concavity (second derivative test) example

big practice problem

steps for optimization problems

optimization practice

if something is outside the interval…
eliminate it!! it cannot be an answer
second derivative test technique 2

v(t) > 0 means
particle is moving up or to the right
v(t) < 0 means
particle is moving down or to the left
v(t) = 0 means
particle is not moving (at rest)
average velocity
change in position/change in time
speed
the absolute value of velocity (always positive)
if velocity and acceleration have the same sign
the particle is speeding up
if velocity and acceleration have different signs
the particle is slowing down
displacement
final position - initial position = change in position
can be negative or positive
distance
always positive value

if this is a velocity graph, how would you find the acceleration?
check slope of each part
positive slope = positive acceleration

when do this have the greatest speed?
speed = absolute value of velocity v(t)
so t = 0 and t = 2
to know if something is increasing…
check the sign of its first derivative
for example height is increasing if h’(t) is positive
strategy for related rates

reminder that….
you have to watch out for values that are constant and standing alone!!! their derivative is always zero
pi is always a constant and can stay
what are linear approximations
the tangent line of a function at x=a can give you an approximate value of f(x) for points close to x=a
example of linear approximations
basically:
set up y-f(a)=f’(a)(x-a)
plug in everything you know about your original value
plug in your estimate value to x
solve for y

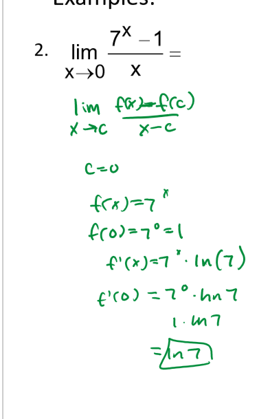
hospitals rule
use for 0/0 limits or if limits are going to ± infinity !!!!
you can keep trying hospitals until you get an answer 🙂

reminder that
you can have negative values for related rates
KNOW UR UNITS FOR RELATED RATES
how to describe double prime

practice problem

practice problem

practice problem

related rates help

help

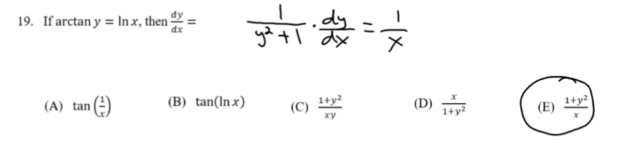
two ways of writing inverse trig functions
arc__ and __^-1x
make sure you know the trig functions by heart
inverse trig unit circle

quick refresher

a general rule is to find
derivatives of a general function FIRST, then plug in values.

practice

practice

reminder

horizontal/vertical lines

derivatives for trig

practice

practice

what is differentation
the process of finding a derivative

instantaneous rate of change

u2 notes

2.1

2.2

2.2

2.3

2.3


2.3


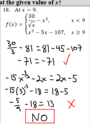
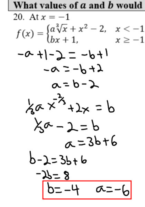
what values of a and b would make the function differentiable at the given value of x (2.3)

2.3

2.4

2.4

REMINDER
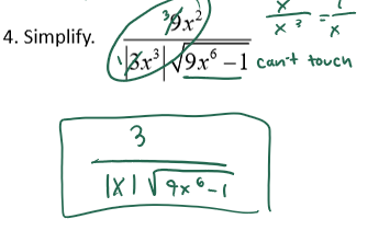
-simplify first especially for trig stuff
2.5

2.5

rememeber
dont flip the difference quotient up
review

2sinxcosx=
sin2x