1/183
DID YOU KNOW YOU CAN MEASURE ONE ONE-THOUSANDTH OF A PROTON DIAMETER? THATS PRETTY INCREDIBLE😶
Name | Mastery | Learn | Test | Matching | Spaced | Call with Kai |
|---|
No analytics yet
Send a link to your students to track their progress
What is the working principle of a resistance transducer?
A resistance transducer will measure linear or rotational (angular) displacement. Resistance is given by R=ρL/A, and moving an slider/piston or spinning a knob will change the length of the resistor, causing a change in measured resistance proportional to displacement.
How does a potentiometer work? How is it different from a resistance transducer?
A potentiometer measures displacement in a voltage divider circuit. Object displacement acts as a slider in a voltage divider circuit given in the picture. It changes the output voltage as a fraction of the input voltage based on the displacement and the overall length of the resistor.
A potentiometer is different from a resistance transducer because it uses a voltage divider to measure a change in voltage proportional to displacement. The resistance transducer measures displacement directly as a change in resistance.

How does a strain gauge work? What effect is relevant to its function?
A strain gauge is a special type of resistance transducer. As a material is strained, the *Poisson effect* is where the strain (increase in length) results in a decrease in cross sectional area. R = \rho \frac{L}{A} is the equation for resistance, and an increase in length and decrease in area both act to increase resistance, which can be measured to detect how far it has strained.
Electrical leads are added at each end where resistance can be measured.
What are resistance temperature detectors (RTDs) and Thermistors? What materials are used for each? How does this affect performance?
They both convert temperature to resistance. RTDs use metals, often platinum, while thermistors are semiconductors.
RTDs are metals, and as you increase temperature, atom vibrations cause more collisions and scattering, increasing resistance exponentially.
Thermistors are semiconductors, and increasing temperature sends more valence electrons to the conduction band, resulting in decaying resistance with increased temperature.
What are the two important equations for a capacitor? (1E physics throwback)
Q=CV and C=εA/d where ε is the material dielectric and d is the distance between parallel plates in a parallel plate capacitor
What are three ways parallel plate capacitance can be changed and used as a capacitive transducer? What are some applications?
Parallel plates can have the spacing changed, overlapping area changed, or dielectric constant changed resulting in a measurable change in capacitance.
They can be used as a weight scale where the spacing for two plates increases for a higher applied weight, resulting in a proportional increase in capacitance. Recordings of the change in capacitance (due to change in spacing) over time causes microphones to record sound. Humidity causes a change in dielectric constant, capacitors can be used as humidity sensors (but are slow to respond).

How does the piezoelectric effect work? How about the inverse?
Piezo —> An applied force changes the polarization of dipoles in a material, causing charges to accumulate —> electric field —> perpendicular potential that can be measured.
Inverse Piezo —> Applied voltage causes material displacement.
A common piezoelectric material is quartz.

What are some applications of piezoelectric transducers?
Spark generators (lighters) work by applying a sudden force, ripping electrons off with the very high induced potential.
Force/Pressure sensors, displacement measurements, precise movements of a material, and crystal oscillators (with AC voltage applied).
What are photoelectric transducers?
They convert light intensity into electrical current by the photoelectric effect, where incident light excites electrons in a cathode plate that are absorbed by an anode plate, which can then conduct.
What is a photoconductive transducer?
A photoconductive transducer converts light intensity into electrical current through photoconduction. They are often semiconductors If photon energy is higher than semiconductor band gap energy, valence band electrons are promoted to the conduction band and conduction is increased. This means that a higher light intensity results in more excited electrons decreased resistance. Recall: CdS photoresistor in PN.
What is a photovoltaic transducer?
Uses a semiconductor PN junction to convert light intensity into a voltage, which can be measured across a resistor. Electrons are promoted to the conduction band and travel across the junction with constant current.

How does a magnetic force transducer work?
Magnetic force transducers are based off the Lorentz force, F=qvxB. A line current in the presence of a perpendicular constant magnetic field will result in a force perpendicular to each (by the RHR). The straight wire is suspended by a spring, and the spring displacement relates to magnetic field strength by the force balance:
F=kx=BIL

How does an analog ammeter use magnetism?
An analog ammeter uses a rotatable wire coil (surrounding a spring pivot) in the presence of a magnetic field produced by a ferromagnetic core. Applying a current will generate a force that spins the coils. The spring pivot creates a force balance that moves the coil at an angle proportional to the current, displayed on an arc scale.

How can magnetism be used in the design of a mechanical switch?
Current through a solenoid generates a magnetic field that attracts/repels a magnet. The armature is a fixed magnet.

How do Hall Effect Transducers Work? What is the equation for Hall voltage?
Hall effect transducers take advantage of the Lorentz force (F=qvxB) to convert B field to voltage. In a semiconductor material, the Lorentz force will move opposite charges to opposite sides of the material, causing an electric field and thus a perpendicular voltage (opposite to current) that can be measured.
Vy=Bz*Ix/(qnt) where B is the magnetic field, I is the current, q is electron charge magnitude, n is the electron density (carrier conc for the PN warriors), and t is the material thickness.

What is a tachometer?
A tachometer measures angular velocity by having magnets on the outside of a spinning disc. A fixed hall effect sensors measures angular velocity based on the rate that it is triggered at (how often it is in the presence of a magnetic field from the magnets coming in proximity to the sensor).
How do metal detectors work?
Metal detectors use Faraday’s law of induction. The magnetic flux is the magnetic field multiplied by the area (Φ=BA). Moving a detector near a magnet will change the flux experienced by the detector. This change in flux induces a voltage that can be measured to detect magnetic presence. This requires the motion of the detector (getting waved down at TSA during a random scan).
Some metal detectors induce current in the metal which creates a magnetic field that can be measured.

How does a linear variable differential transformer (LVDT) work? (also called an inductive transducer)
LVDTs measure small changes in position as an AC output voltage. There are 3 independent solenoid circuits with two leads each (positive and negative). The middle circuit has an applied AC voltage, with circuits on either side where voltage is measured. A magnet is moved by small displacements, causing it to move further into a solenoid on one side of the applied voltage. The applied voltage in the middle solenoid induces a magnetic field into the magnet by causing internal electron spins to line up. This magnetic field is larger on the side of the LVDT where the magnet is moved further towards. This magnetic field causes the induced voltage to be different on one side of the LVDT than the other, which can be measured to obtain precise displacement and which direction the displacement is in (based on whether it is positive or negative).

What is accuracy vs precision?
Accuracy —> how close a measurement is to the true value
Precision —> How repeatable the measurements are
What is error?
(measured value) - (true value)
What is systematic error and what are some sources (give 3)?
Systematic errors are fixed errors leading to a constant inaccuracy (high precision). Causes: incorrect instrument calibration. Sampling issues (measurements must properly represent the process you are trying to assess, take many samples for increase accuracy). Loading errors (problems with the measurement apparatus itself affecting the measurand, like impedance of a voltmeter)
What are random errors?
Random (statistical) errors are uncertainties. This is related to precision while systematic is related to accuracy. They arise from uncontrolled environmental variables (noise), causing the experiment to be less repeatable. They are described by statistical distributions.
What is a Gaussian Distribution?
Repeated measurements with uncertainty around an average value yields a gaussian distribution. It is a bell curve with the highest number of measurements near the mean and a lower likelihood of measurement the further the value is from the mean. One standard deviations contain 68.3% of data points, two standard deviations contain 95.4%, three contain 99.7%.

What is the equation for standard deviation?
The standard deviation is the square root of the average across all trials of the square of the difference between measured value and average value.

How is a meter defined?
A meter is no longer defined using a platinum iridium reference bar. It is instead measured as the length traveled by light in 1/c seconds where c is the speed of light (shoutout constant 28 on the casio fx-991 ms). Time is measured with the atomic clock.
How does an interferometer work?
A laser is directed at a beam splitter that causes a perpendicular split of light rays. Difference in distance between reflector mirrors will result in different interference patterns at the detector, with intensity peak spacing corresponding to difference in reflector distance from the beam splitter. Interference patterns are caused by electric fields recombining at the beam splitter at different phases, causing constructive and destructive interference.

wtf goes on at the Laser Interferometer Gravitational-wave Observatory (LIGO)?
4km long interferometer arms are used at two different facilities (to match results). Gravitational waves (vibrations potentially caused by colliding black holes far asf away) will cause distortion in mirror spacing, which is measured as a change in intensity at the photodetector.
What is the detector doing in interferometer experiments?
The detector is measuring light intensity, which is the square of interfering electric fields from EM waves. The detector measured light intensity by counting photons. This process follows Poisson statistics where the uncertainty in measuring n photons in sqrt(n), the shot noise limit (QM throwback)
What is the minimum detectable reflector displacement in an interferometry experiment?
The minimum detectable displacement is ΔL. kΔL (from cos²(kL)) is equal to the change in intensity over the max intensity, which can be written as the 1/sqrt(n) where n is the number of photons. With k=λ/2π, ΔL_min = λ/2π * 1/sqrt(n)
What are some examples of primary, secondary, and tertiary dimensional measurements?
Primary —> observed directly, like photon intensity in an interferometer experiment.
Secondary —> Involves one conversion. Gauge blocks are calibrated from accurate interferometer experiments
Tertiary —> Involves two conversions. Rulers are made by comparing to gauge blocks, which themselves are calibrated by the primary interferometer results.
What is Scanning Tunneling Microscopy (STM)?
An apex (sharp tip) pointing down at the end of a cantilever is ideally 1 atom thick at the point. You scan (drag the tip 🤨) across the surface. A picture of the surface roughness can be mapped by bringing the tip close to the surface and applying a voltage. If the tip is close to the sample, current from the sample to the tip can only flow due to tunneling and the distance between the surface and the tip determines the magnitude of tunneling current (more probable when closer).
Explain LIDAR as a time of flight method?
LIDAR (light detection and ranging) is where a laser is directed between a device and an object. With a high accuracy internal clock, it measures the time between the laser being pulsed and received and converting to distance from the speed of light. In airborne scanning, brightness of the received reflected signal is indicative of terrain height.
Explain SONAR as a time of flight method?
SONAR (sound navigation and ranging) sends an ultrasonic signal and measures how long it takes to return to the device. The transmitter and receiver are piezoelectrics and the pulse is created by applying an AC voltage to vibrate the material, producing the sound wave. It is used in ultrasound, flow meters, fish finders, etc.
Explain RADAR as a time of flight method?
RADAR (radio detection and ranging) is where time of flight of radio waves is used to determine object location. It is used in terrain mapping and weather forecasting, as the pulse time and how much of the pulse returns is indicative of weather patterns.
How does a Doppler Radar Velocimeter work? What is the Doppler Effect?
The Doppler Effect is a change in radio frequency by Δf=(2v cosθ)/λ. A moving object at speed v will cause a radio wave at wavelength λ to shift in frequency upon being received. If wavelength is known, the change in frequency is indicative of object velocity. This can be used to help the feds detect car velocity, to help apply weather get wind speeds, or to get Ohtani pitch speeds. Note: The angle θ is the average angle of the transmitted and received signal (check figure).

List 5 methods of measuring force?
Balancing the force against a standard mass using levers
Measuring acceleration of known mass
Finding where the unknown force reaches equilibrium with a current carrying coil and magnet causing a known Lorentz force
Distributing force on a pressure sensor of known area
Converting force to deformation of an elastic object
How does a strain gauge convert force to other measurements?
A force applied to a material causes stress, where σ=F/A and F is a tension force. Strain in a material is the change in length divided by the original length, ε=ΔL/L. Stress and strain are related by Young’s Modulus E, σ=Eε. This change in length will be indicative of the force. It can be measured by a change in resistance R.
What is the Gauge Factor in a strain gauge? What does it help obtain and how do you measure it?
The gauge factor is 1+2μ where μ is the Poisson ratio. The relative change in resistance of a material, dR/R=(1+2μ)ε. This relative change of resistance can be measured by a Wheatstone bridge. The bridge uses two voltage dividers to measure the change in resistance as the difference in the output of two voltage dividers. Putting strain gauges on resistors 3 and 4, a temperature will cause a resistance change in both resistors. Strain will cause a change in just one, resulting in the ability to differentiate between the two.

How does a semiconductor strain gauge work?
Semiconductor strain gauges have a high gauge factor so they can measure small strains, but are more temperature sensitive. Additionally, the resistance to strain relationship is non-linear. It works because stretching the material will change the bandgap, causing an increase in conduction band electrons, increase in conduction, and decrease in resistance.
How does a piezoelectric strain gauge measure force?
A force applied on the piezoelectric causes material deformation that outputs a voltage related to the force.
Briefly describe response time of measurements.
Response time is the time required for an instrument to output change with the input changes, usually referring to a time constant.

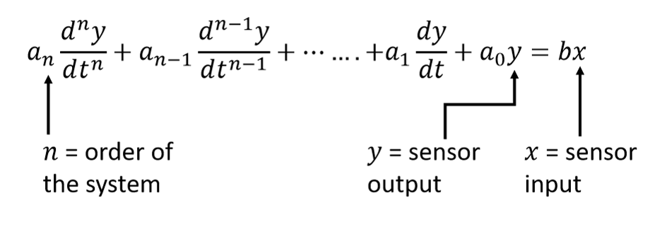
What is the order of a measurement system?
In a differential equation relationship between input and output, it is the highest order derivative of a linear system. y is sensor output, x is sensor input, and n is the order.

What is a zero order measurement system and what is an example?
Zero-order systems have a linear relationship between input and output with no differential term. It takes the force ay=bx or y=Kx. An example is a potentiometer, that measures output voltage by the input voltage multiplied by factor x/L.
What is a first order measurement system and what is an example?
First order systems have a first order derivative relationship between input and output. It yields a time constant related to a transient response. An example is a thermometer, where the heat transferred over time is q = mC(dT/dt) where m is thermometer mass, C is specific heat capacity, and dT/dt is the change in temperature with time. This yields a time constant of mC/hA where h is the heat transfer coefficient and A is the thermometer surface area.

What is a second order system and what are some examples?
A second order system has a second order derivative term in the differential equation relationship between input and output. It used in accelerometers, seismometers and pressure transducers. A mass on a spring system is the classic second order derivative example with dampers n shiii.
How does a Seismometer work?
Also known as a vibrometer, they are designed to measured displacements from earthquakes. A seismic mass in placed in a spring mass damper system with a perpendicular displacement transducer reading the change in vertical position of the mass (x2) relative to the position of the housing (x1) enclosing the mass. The solution to x2-x1 is Ax_0*cos(ω_1*t+Φ), which is an amplification of the input vibrational signal (from an earthquake) and phase shift. The amplitude is a function of the input frequency ω, natural frequency ω_n, damping c, and critical damping c_c.

What is the equation for natural frequency and critical damping of a second order mass spring damper system?
ω_n = sqrt(k/m) and c_c = 2sqrt(mk). Amplification is highest when the input signal matches the natural frequency.
What makes a good seismometer? Is this the same for an accelerometer?
In a seismometer, you want the amplitude of the output signal to be 1 to accurately represent the input signal. This is obtained by making ω_n small, using a heavy mass and loose spring.
In an accelerometer, the solution to x2-x1 is an amplification of the input by a factor B. To get B as close to 1 as possible we need the opposite effect as for the seismometer. We need a light mass and stiff spring to increase natural frequency.
How does a potentiometer accelerometer work?
Due to inertial effects, an accelerating mass inside a casing suspended by springs will move relative to the casing. The movement of this mass will change where the divide is located in a voltage divider, changing the output voltage relative to acceleration.

How does a piezoelectric accelerometer work?
A mass is suspended in a casing by a spring and damping fluid. As the apparatus accelerates, inertia causes the block to move relative to the casing, pressing or extending a piezoelectric attached at the bottom, which outputs a voltage relative to block displacement characterized by the system response to an acceleration.

How can a strain gauge be used as an accelerometer?
The mass suspended by a spring in a casing will move due to inertia when the apparatus is accelerated. The movement of the mass relative to the casing will cause strain in a connected material which can be measured as a change in resistance.

How does a vibrating string accelerometer work?
A mass suspended by two strings will move due to inertia when the apparatus is accelerated. As the mass moves, one string will be in tension, causing vibration of the strings which is recorded.

How does a capacitance accelerometer micro-electro-mechanical system (MEMS) work?
A mass attached to a spring in a casing will move relative to the casing upon being accelerated due to inertia (i am a broken record). One side of the block can be a parallel plate of a capacitor, causing the plate spacing to change. Additionally, one side of the block could be fingers of a multilayer capacitor that interlock further upon movement (pictured), changing the overlapping area of the parallel plates. Both result in a change in capacitance that can be measured to obtain the acceleration.

How does a photoelectric tachometer work?
A photoelectric tachometer is a setup where a spinning disc has a small cutout at the end on one point of the disc. A continuous light source is placed so that the outer edge of a disc is between it and a detector. As the disc rotates, the light is blocked and is only detected when the light source aligns with the cutout. This results in periodic light intensity used to calculate angular velocity.

How does a Prony Brake Dynamometer work?
A friction block is applied to a rotating wheel at known angular speed ω. This causes a torque arm to bend, which applies force on a separate loading cell. This force is converted to torque with the known arm length, and the power is calculated by P=τω

How does a Water Brake Dynamometer work?
A motor spins a water filled apparatus. The movement of the water creates friction, moving a torque arm that applies a measurable force used to calculate the power produced by the motor.

How does Foucault’s Pendulum work?
It is a large pendulum mass suspended by a string that measures the rotation of the earth. The pendulum swings along a line. As the earth rotates, the plane of oscillation of the pendulum remains constant, making it appear to drift to different oscillation directions over time. This effect is most pronounced at the poles and is not observed at the equator, as it requires rotation perpendicular the the string it is suspended from.
How does a gyroscope work? What is the effect behind it?
A gyroscope works based on the gyroscopic effect which is based off the conservation of angular momentum. A spinning object wants to maintain its axis of rotation and will resist external changes to that. A gyroscope uses rotation encoders to measure the rotation of the thing it is suspended in, since the gryo itself will tend to stay where it is.
How does an optical gyroscope work?
An optical setup described in the figure (holy handwriting) is used to measure rotation. Light is sent through a beam splitter, travelling through large wound optical fibers (ensuring the light stays on track). Light travelling in opposite directions will arrive at the photodetector at different times, with the measured time difference at the detector being proportional to angular velocity of the system. A large setup can be used to measure the change in rotation of the earth due to things like icebergs melting.

How do MEMS gyroscopes work?
A small material, like quartz, is vibrated. As the surrounding environment rotates, it resists the rotation. This process is governed by the coriolis force, which makes the vibrating structure appear to rotate relative to the casing. The rotation of the vibrating structure relative to the casing is measured proportional to the angular velocity.
How did that Torricelli guy measure pressure?
A tube with liquid mercury in a vacuum will have the height of the mercury content rise with increase in pressure. P=F/A=ρgh. The experiments use units cm instead of m. mmHg (millimeters of mercury) is the pressure unit used, where 760 mmHg = 760 Torr = 1 atm = 101.325 kPa are atmospheric pressures.
What is a direct pressure gauge vs indirect pressure gauge?
Direct pressure gauges measure the force exerted on a surface of known area. This could be air pressure on a parallel capacitor moving the plates closer together.
Indirect pressure gauges measure a pressure dependent properties of the gas, like relative permittivity.
How does a U-tube Manometer setup measure pressure? What are limitations
Un unknown gas pressure acts on a manometer fluid which itself has a pressure applied. The weight of the additional fluid on one side of the U-tube than the other is balanced by a force balance, which indicates the input pressure. Applied pressure is to prevent the fluid from escaping altogether. Pressure from the additional fluid on one side is P=ρgh. It is slow and is measured manually by observing the height change, which can cause measurement errors.

How does a Bourdon gauge work? What are pros and cons?
Increased pressure straightens out a coiled arm, which moves an indicated which gives an analog reading of pressure. While portable and cheap, it responds slowly to pressure changes, does not have electrical output, wears down, and requires accurate calibration.

How does a diaphragm gauge work? What are they made of? What are some pros and cons? What is an example in practice?
Diaphragm gauges measure deflection of a metal diaphragm due to pressure. This deflection is not uniform and causes the straight diaphragm to bend. It is measured through capacitance or strain gauges.
They were originally made of metal but have been replaced with Si as the decrease in resistance due to strain can be measured electrically and can be more precise.
Microphones are an example, measuring the pressure of received sound waves that represent a sound.
Diaphragm gauges have fast response and can measure a large range of pressures below atmospheric conditions, but are temperature sensitive and age with time.
How can a thermocouple be used to measure pressure?
The inside of a thermocouple is initially setup as a vacuum. As pressurized gas enters, the rate of heat transfer due to changing modes of radiation, conduction, and convection heat transfer. It is most effected in the pressure range associated with region II where the heat transfer changes at a significant rate.

How does a Pirani Gauge measure pressure?
The resistance of a heated filament is measured. Increasing the filament temperature increases resistivity of the material which increases due to higher electron scattering. The gas in the chamber cools the filament at a higher rate depending on the pressure of the gas inside.

How does the Hot Cathode Ionization Gauge work and what is it used for? How can they be improved?
The hot cathode ionization gauge is used to measure ultra-high vacuum pressures at less than 10^-9 Torr. A constant current is applied to cathode and anode grid filaments inside an enclosure. Gas enters the enclosure and is ionized by the emitted electrons. These ions are detected by an ion detector, with a higher ion current be proportional to higher pressure.
The cathode should be a low work function metal to allow for more electron emission and higher ionization probability, as well as using a magnetic field to produce a spiral path of electrons, avoiding the need for a hot cathode.

How does a Residual Gas Analyzer work? What is an application?
A hot filament releases ions that are directed at speed v towards a magnet. The magnet deflects their path at a radius of curvature R=mv/qB. A cup at a fixed position is used to measure specific ions (only one type has the correct mass to deflect at the specific R required to reach the cup). The mass charge ratio is measured, and this changes with very small partial pressures.
It can be used as a leak detector, as it can detect which types of particles are present by measuring the mass/charge ratio to reveal if a particle is present that maybe shouldn’t be.

What are the important parameters in flow (with units)? What is the governing equation? (idk guys im not in 3O).
Q = volume flow rate (L/s, m³/s)
V = volume (L, m)
v = fluid velocity (m/s)
A = cross sectional area (m²)
Q=dV/dt=Av
How does a rotameter work? What are pros and cons?
A rotameter uses a pipe of increasing cross sectional area from the bottom to the top. The fluid flows upwards. A float is in the pipe. At equilibrium, the drag force from the fluid is equal to the force of gravity acting on the float. As flow increases, the drag force increases which pushes the float up further. Since the area that the fluid has to pass by the float increases, the volume flow rate can become linear to float height.
Rotameters are simple and cheap, but reliable decreases if the fluid is not clean, has not electronic output, requires a human reading of height that can lead to error, and requires correction factors for different fluids.

How does a turbine flow meter work?
A fluid flows by a turbine and the angular velocity of the turbine is proportional to the fluid flow rate. One way of measuring the angular velocity is by having the ends of the turbine blades feature magnets that pass by a fixed hall sensor, calculating angular speed from the sensor trigger rate.
How does a positive displacement flow meter work? List a pro and con.
The flow of the fluid causes a precise volume to be fixed. The movement of the flow pushes a known volume of fluid through a high precision chamber. The chamber’s volume is highly accurate. A rotating component moves fluid in until it is full, where it is then expelled. The rate at which fluid expulsions occur is indicative of flow rate.
It is accurate and low maintenance, but requires clean fluids.
How does a Restrictive Type Flow Meter work? What are some types?
Since flow rate is constant, the flow area will cause an increase in flow velocity, which will result in a decrease in pressure (Bernoulli’s principle). Since the speed has increased in the second part, pressure must decrease so energy is conserved and the amount the pressure changes is proportional to the flow rate. A Venturi tube is a variation of this, using pressure transducers. The orifice flow meter has a small hole separating two sides, and pressure is measured on each side to obtain flow rate.

What are pros and cons to restrictive flow meters?
They are cheap, compatible with different types of fluids and flow conditions, are simple, reliable, and accurate.
They result in pressure drops that may be unwanted and also irrecoverable. They can also wear, particularly the plate (hole) of the orifice.
How does a Vortex Shedding Flow Meter work?
As flow moves past an obstruction, it will generate vortexes behind the object. The turbulent flow is measured by a microphone located downstream, recording the pressure pulses. The frequencies of the vortices is proportional to the flow. This is a cheap method of measuring blood pressure at Shoppers Drug Mart or somewhere similar. It is not appropriate for high viscosity fluids and causes irrecoverable pressure loss.
Briefly describe the two working principles of a Thermal Mass Flow Meter
Involves measuring flow rate from temperature. One way is to heat a fluid and measure the temperature difference at two different points, which is related to flow rate. Additionally, the current required to maintain a constant temperature at two different points can be measured, which also is related to flow rate.
How does a Coriolis Flow Meter work?
Fluid flows through a U-tube, meaning it flows in opposite directions on both sides of the tube. The U-tube is oscillated up and down (it is originally arranged horizontally, the fluid flows along the plane perpendicular to oscillations). The Coriolis effect will cause a force to be applied, and this force is opposite on each side of the U-tube due to different flow directions. As a result, the loop is twisted by an angle linearly proportional to the flow rate.

What are pros and cons of the Coriolis Flow Meter?
It is highly accurate, supports many fluid types (liquid, gas, corrosive), does not cause a high pressure drop, unaffected by pressure temperature viscosity and density, and has a fast response time.
It requires a lot of space and is very expensive.
How does a Magnetic Flow Meter work? What are pros and cons?
A magnetic field is is a applied to a conductive liquid. This causes a Hall effect that produces a voltage sensed by electrodes on the tube walls. The voltage is proportional to flow rate.
Pros: No obstruction or pressure drop, linear relationship between Q and V, no moving parts so limited maintenance, can be used in hazardous environments
Cons: Only works for electrically conducting fluid. Electromagnetic fields can cause interference (external), requires proper grounding.
What are two ways ultrasonic flow meters work?
Ultrasonic flow meters use piezoelectrics to generate pulses in a fluid. The transit time between the transmitted signal at one end and received signal at the other end or the frequency shift due to Doppler effect (uses fluid velocity) can be measured. Doppler effect requires the fluid to be dirty so the Doppler sound waves have something to reflect back off of, allowing the frequency change to be measured. You must also know the speed of sound in the fluid.

List pros and cons of ultrasonic flow meters?
Pros: No obstruction in path or pressure drop, no moving parts so less maintenance, can be used with corrosive and dirty fluids, ultrasonic sensor is clamp on (on the outside).
Cons: High cost to set up, doesn’t work for clear fluids
How are flow meters calibrated?
They are calibrated through measuring the time taken to fill a known volume or how long it takes to move a piston a certain amount corresponding to a fixed volume. Get flow rate by dV/dt.
Give a brief overview on how Anemometers work?
Anemometers (velocimeters) measure the velocity of of fluids. Flow rate can be calculated if the area is known by Q=Av. An example is a turbine anemometer, where the turbine spins at a rate proportional to the velocity.
How does a Hot-wire Anemometer work?
A fast moving fluid will cool a heater faster by convection compared to a slow moving fluid (like moving cold water past a nuclear reactor #cringe). Current applied across a resistor will heat it up. The system is in equilibrium when the fluid takes away heat from the resistor as fast as the current generates heat. The current required in equilibrium is proportional to the flow rate, as a faster moving fluid can cool the filament faster.
How does a Laser Doppler Anemometer work?
Works similar to the ultrasonic Doppler detector. It is very expensive and only used in research. Measuring the interference between a scattered (by particles in the fluid) light beam and an unscattered fluid determines the flow rate since the scattered light is Doppler shifted, which is related to the flow rate. (ts makes 0 sense banking on this not showing up).
What is temperature and heat?
Temperature is dQ/dS, change in heat with a change in entropy. It is often described as the average internal energy of a substance across translations, vibrations, an rotations (SM jumpscare).
Heat is the energy transfer due to a temperature difference. Can occur as radiation, conduciton, and convection.
Do not ask to define energy cus then we find out this is based off literally nothing.
How do liquid-in-glass (LIG?) and gas thermometers work?
Liquid in glass: Thermal expansion of a liquid causes it to rise at increased temperature. Coefficient of thermal expansion α=1/V * dV/dT.
Gas: By PV=nRT, an increase in temperature causes an ideal gas to increase in pressure at a constant volume. The pressure is measured with the Bourdon tube (throwback). This is where a metal ring expands due to pressure, moving a marker.
Explain the function of a Bimetallic Strip and Bimetallic Coil.
A bimetallic strip features two metals on top of each other attached perpendicular to a wall surface. The two materials have different coefficients of thermal expansion, with the top material having a higher α than the bottom material. When the temperature is increased, the top part of the bar expands more, causing the setup to bend down. This deflection is related to temperature.
A bimetallic coil is a much longer bimetallic strip which is more sensitive to temperature, as the end deflects more for a smaller temperature. The deflection angle is related to temperature and an analog measurement can be performed. This is what is often used in control valves.
What effect does a thermocouple take advantage of?
Thermocouples measure the change in temperature as a change in voltage using the Seebeck coefficient. The Seebeck coefficient is where a temperature gradient cause electrons to thermally diffuse from the hot to cold end, carrying charge that builds and forms an electric field (and electric potential). The Seebeck coefficient is the ratio between the voltage difference on each end and the temperature difference on each end.
Summary: A temperature difference across a thermocouple causes a measurable voltage difference.
What is the structure and purpose of a thermocouple?
A thermocouple is made up of two materials of wire that connect at a junction, which is the tip that will be exposed to the location where temperature measurements need to be made. A reference temperature is required to be known at the other side of the two wires from the junction. The temperature at the junction considers the reference temperature and the measured voltage drop divided by the difference in Seebeck coefficients of the two joined materials.
T_junc = T_ref + ΔV/(S_A - S_B).
The reference is usually measured by a thermistor independently.

What is a thermopile?
A thermopile is a group of series connected thermocouples to improve sensitivity (bar for bar off the slides 💯)
List pros and cons of thermocouples.
Pros: Thermocouples are low cost with no moving parts, operate effectively for a high temperature range, has a reasonable response time, both repeatable and accurate.
Cons: Sensitivity is low, low voltages are masked by noise, requires a known reference temperature which often must be externally measured or electrically generated, and the equation of temperature from voltage is a cuvefit that is annoying and nonlinear fuh.
Explain the function of resistance thermometers. What is the equation for it? How do they fair in the ring against thermocouples?
resistance thermometers are metals that increase in resistance with a temperature increase (more scattering). They are the RTDs discussed previously. The equation is R=R_0*(1+αΔT). This is a linear relationship. Generally they have improved accuracy and less noise compared to a thermocouple (rekt).
How do RTDs measure resistance. What problems do the leads introduce?
The RTD resistance measurement is performed use a wheatstone bridge. The wires connected to the RTD have their own resistance and temperature coefficient of resistance. One of the voltage dividers in the wheatstone bridge has R_total, which is a combination of the RTD resistance and the lead resistances. This is solved by using a third lead with only the lead resistance, and subtracting a function of lead resistance from the original RTD resistance equation to obtain the true resistance. Lengths of each wire must be equal to have equal total resistance.
What are RTD pros and cons?
Pros: Stable and accurate with mK incremental accuracy, more linearity, and a higher signal to noise ratio.
Cons: More expensive, self heating issues, requires supply voltage and wheatbridge for resistance measurements, larger, and slower response time.
Describe the relationship between resistance and temperature in a thermistor.
Thermistors are semiconductors that decrease in resistance with temperature (more electrons in conduction band). The relationship is 1/T=A+BlnR+C(lnR)³. This is a horrible and disgusting nonlinear relationship which is terrible and also sucks.
What are the pros and cons of a thermistor?
Pros: Good temperature sensitivity, higher resistance meaning lead resistances can be treated as negligible, they are easy to integrate onto chips since they are semiconductors, they are cheap and smaller than RTDs.
Cons: Non-linear, fragile, limited temperature range, larger than thermocouples (thermocouples < thermistors < RTD)
What is a pyrometer and how does it work? What is it good for?
All objects above absolute zero emit thermal radiation, which is measured by a pyrometer, a non contact device. They are good for high temperature applications, electrical problems, and moving objects that can’t be easily accessed.
What wavelengths of thermal radiation are emitted as blackbody radiation? What are the two types of pyrometers?
Blackbody radiation can be emitted from 0.1 to 100 micrometer wavelengths, which span from ultraviolet, through visible light range, and into the infrared region. Planck radiation law states that emissive power per unit area per wavelength is a function of wavelength and temperature. The radiated power per unit area is equal to P/A=σT^4 (holy SM pull). This is done by integrating over all wavelengths to get total light intensity (W/m²) which is what is converted to temperature by coefficient σ.
The two types are narrow band (narrow wavelength range tuned to measure emissive power in the visible range) and broad band (measure wide range of wavelengths).