1/31
the title
Name | Mastery | Learn | Test | Matching | Spaced | Call with Kai |
|---|
No analytics yet
Send a link to your students to track their progress

phenol

catechol

resorcinol

hydroquinone

o-cresol

p-cresol

formaldehyde

butyraldehyde

acetone

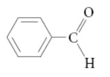
benzaldehyde

acetophenone

benzophenone

cyclohexyl phenyl ketone

dicyclohexyl ketone

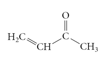
methyl vinyl ketone

β-bromopropionaldehyde

formyl

acetyl

propionyl

benzoyl

trans-cinnamaldehyde

furfural

acrolein

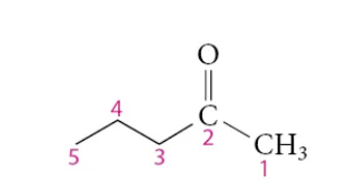
butanal

hexanedial

cyclohexanecarbaldehyde

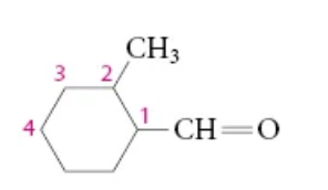
2-methylcyclohexanecarbaldehyde

cyclohexanone

2-pentanone/pentanone

3,3-dimethylcyclohexanone

2,4-hexanedione

4-formyl-3-oxoheptanedial