1/17
Looks like no tags are added yet.
Name | Mastery | Learn | Test | Matching | Spaced | Call with Kai |
|---|
No analytics yet
Send a link to your students to track their progress
conditions for static equilibrium
net force is zero, torque is zero
center of gravity
gravitational force on a body effectively acting on a single point
if g is the same for all elements of the body, then the body’s center of gravity is coincident with the body’s center of mass.
center of gravity equation

newton’s law of universal gravitation
G = 6.67 × 10^-11 Nm²/kg²

Kepler’s First Law
All plants move in elliptical orbits with the sun at one focus
perihelion - closest to the sun
aphelion - farthest from the sun
Kepler’s Second Law
a line joining any planet to the sun sweeps out equal areas in equal times

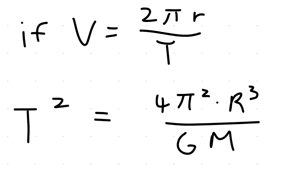
Kepler’s Third Law
The square of the period of any planet is proportional to the cube of the semimajor axis of orbit
semimajor axis ½ of major axis
Kepler’s Third Law equations
T²=kr³

gravitational potential energy
due to an object’s location from the center of the Earth

kinetic energy
k = 1/2mv²
k = -U/2
Etotal = U + K = U/2
simple harmonics motion
refers to the motion an oscillating mass experiences when the restoring force is proportional to the displacement, but in opposite directions.
represented by sine/cosine wave
constant frequency and amplitude
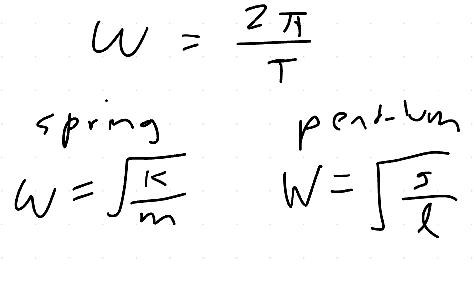
SHM equations
T = 1/f;

angular frequency equations

shm position graph and equation
x(t) = A cos (ωt)

shm velocity graph and equation
V(t) = -Aωsin(ωt)
Vmax = Aω = 2pi/T = A2pi*f

shm acceleration graph and equation
a(t) = -Aω²cos(ωt)
Amax = Aω² = A4pi²/T² = A4pi²f²

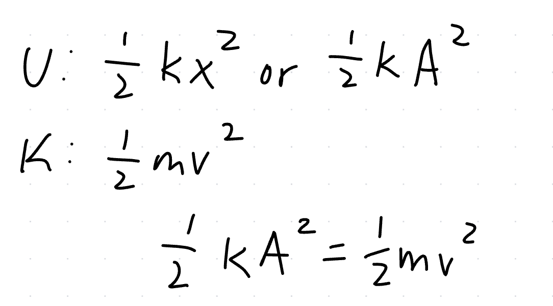
SHM Energy equations

shm chart
