302m2

0.0(0)
Studied by 15 people
call kaiCall Kai
learnLearn
examPractice Test
spaced repetitionSpaced Repetition
heart puzzleMatch
flashcardsFlashcards
GameKnowt Play
Card Sorting

1/49

flashcard set

Earn XP

Description and Tags

t or f

Last updated 5:22 PM on 11/18/22
Name
Mastery
Learn
Test
Matching
Spaced
Call with Kai

No analytics yet

Send a link to your students to track their progress

50 Terms

1
New cards
term image
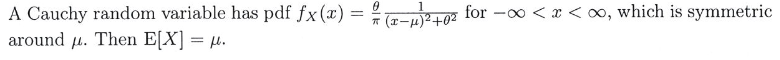
t
2
New cards
term image
t
3
New cards
term image
f
4
New cards
term image
t
5
New cards
term image
f
6
New cards
term image
t
7
New cards
term image
t
8
New cards
term image
f
9
New cards
term image
t
10
New cards
term image
f
11
New cards
term image
t
12
New cards
term image
f
13
New cards
term image
t
14
New cards
term image
t
15
New cards
term image
t
16
New cards
term image
t
17
New cards
term image
f
18
New cards
term image
t
19
New cards
term image
t
20
New cards
term image
f
21
New cards
term image
t
22
New cards
term image
f
23
New cards
term image
f
24
New cards
term image
t
25
New cards
term image
t
26
New cards
term image
f
27
New cards
term image
t
28
New cards
term image
f
29
New cards
term image
t
30
New cards
term image
t
31
New cards
term image
f
32
New cards
term image
t
33
New cards
term image
t
34
New cards
term image
t
35
New cards
term image
f
36
New cards
term image
t
37
New cards
term image
f
38
New cards
term image
t
39
New cards
term image
f
40
New cards
term image
f
41
New cards
term image
f
42
New cards
term image
f
43
New cards
term image
f
44
New cards
term image
t
45
New cards
term image
f
46
New cards
term image
t
47
New cards
term image
f
48
New cards
term image
t
49
New cards
term image
t
50
New cards
term image
t