1/38
Looks like no tags are added yet.
Name | Mastery | Learn | Test | Matching | Spaced | Call with Kai |
|---|
No analytics yet
Send a link to your students to track their progress
How did we study indistrial organisations in the past and present

Why do we study industrial organisations (2) and how can firms restrcit behaviour (3)

What is the Main Competition in the UK and EU and the possible punishments and Remedies
Shows the laws to prevent restricting competition, depends on duistriction. Uk and EU and maybe the US in this model
EU - 4 pillars for competition law, article 101 is also 81 for pre 2009 and 102 for 82
101 prohibits price restrictions
102 large firms, prohibits predatory pricing
Merger - prevent mergers happening that are likely to increase the price of firms post merger
State aid - preventing member states from preventing competition - local and domestic firms, EU in a unique position to create a single market and a level market across different countries
Uk, came in 2010 - 2013 - reduce the amount of tax payer money of these authorities.
Chapter 1 and 2, very similar to EU pillars
C1 identical to 101 and C2 identical to 102
Market studies - a body says a certain market isn't' functioning very well. The CMA will look at the information you have provided. A Market study is a study into the market to investigate the claims of the body for 6 months. If problems arise they will do a market investigation for up to 2 years to prevent the issues found.

What is the OFT assessment for market shares and what are the thresholds
What is a market and who is in the number then calculates the market shares and indirectly calculates the power. Simplified, we know who is in the market here. The think how the competition agency defines market power
OFT - Office of fair trade, pre CMA. CMA accepted all of the previous documents
Undertaking means a firm
Market power - ability to set the price above MC
OFC links, power market on one hand to its market share of the other hand.

What are the two measures of market power, Ads/Dis of CR
Market share indirect measure of market power. There are other measures to indirectly measure market power, above CR and HH index.
CR - 3/4/5 firms Centration ratio
Talk about the sums of the largest firms market shares (Sainsbury, Tesco's, Asda)
Doesn’t tell us how the market share are spread across the largest firms. If CR = 0.9 on three firms, does it come from a market that looks like market one or market two shown in the slide above. Market 1 is a symmetrical triologpoly where market 2 is dominant by one firm
HHI
Take the firms market shares, squared and then we sum them.
HHI get a better idea of how they are spread, the squared makes it easier to indentify.
Higher values of the HHI, indicate the largest firms have more of the market share. The highest value of the HHI is 1, a pure monopoly.
Market one is close to a symmetric 4 oligopoly, as 1/4=0.25
As HHI increase, more of the market share is concentrated in one firm

What is the definition of a market and what is the SSNIP test
To calculate a market share and Concentration indices, we need to know who is in the market.
SSNIP test to calculate who is in the market.
Who is in the same market as McDonalds, likely to be burger king, is KFC in the market (chicken more so, not a burger), Dominos (pizza? Still fast food)
CMA thinks about this by a hypothetical monopolist owns both firms McDonalds and burger king. Can it sustain a increase in prices of 5-10%. Non transitory means permanent. If they can, the other firms are not putting any competitive press on the firm. If they can't they are getting competitive pressure from the other firms. McDonalds and burger king cant raise prices as they are in the same market. Will continue to add firms to the monopolist until they can

Draw the example of a SSNIP test
Z and Y monopolist, can they raise prices, X is close so no as X is also in the market. If Z, Y and X is a monopolist, they raise prices, if they can W doesn’t add enough competitive pressure on the monopolist, so not part of the same market.

What is the formula for the PED and XED and what do they show
Eii - the first I is the Qd and the second I is the price.

What is the lerner index, equation and the three properities
Difficult to measure market power, MC is unobservable. Even with data from a firm on its costs it will be its accounting data, not including the economic costs.
To indirectly measure market share, we use the Lerner index. For a monopoly, p-mc/p is equal to 1/E for a monopoly. This relationship comes from a theoretical model from a profit maximisation problem.
When a monopolstic faces a piece elastic demand curve the distroition between price and costs will be small, as the demand curve is flatter, if it raises it prices demand will fall by more, so it will set its p close to mc

What is the model with a dominant firm with a competitive fringe, what is the fringe what is the profit function of the D firm
Competitive fringe is firms that apply competitive pressure on the dominant firm
Price maker, influences the price it sells at
Price takers, known as the competitive fringe, can't influence the market price, but can sell as much as they want at market price
Market demand is Qm and supply of fringe is Qf
As price goes up the fringe will supply more to the market, upwards sloping demand curve
Two steps to solving the model
Dominant firm demand curve, residual demand curve. Demand it receives after competitive fringe has supplied as much as it wants to.
Dominant firm is the price maker, will determine the price in the market
Graph 2
Derive the dominant firms demand curve.
Market demand curve is the grey out curve
Looking at various prices, starting at p1. How much demand at p1 will the dominant firm get. So low, the competitive fringe will supply nothing all supply from the dominant firm, the whole makret demand will have to buy from the domiant firm. True for all prices up to p2
As price below p2, the competitive fringe won't supply anything
Above p2, competitive fringe will supply at equal to the supply curve, the difference between Q3 and q3 is the residual demand
At p4, the dominant firm won't make any sales
There is a kinked when the fringe starts supply the market. Low prices equal to the market demand curve, at p2 there is a kink to supply the difference.
Above the Kink ($p > p_2$): The fringe is active. Every unit they sell is a unit the dominant firm cannot sell. Therefore, the dominant firm’s demand is the total market demand minus the fringe supply. This makes the curve flatter (more elastic) because the dominant firm is "losing" customers to both the price increase and the fringe's expansion.
Below the Kink ($p \leq p_2$): In this specific model, the price has dropped so low that the fringe can no longer produce or find it profitable to stay. Once the fringe is out, the dominant firm is the market. Their demand curve becomes identical to the total market demand curve ($Q^M$).
What price will the dominant firm set? The calculate MR from the residual demand curve, then find the profit maximisation point
When MC = MR
The Problem: The dominant firm cannot just set any price because the "Fringe" (tiny rivals) will steal customers if the price is too high. The Solution (Residual Demand):
The dominant firm looks at Total Demand ($Q^M$).
It subtracts what the Fringe is willing to sell ($Q^f$).
The remaining curve is the Residual Demand ($Q^D$).Behavior:
The dominant firm acts like a monopoly, but only on this residual curve. It sets $MR = MC$ based on the scraps left by the fringe .
Could be an exam question
Add in question 12;21 Wed 11th Feb
Dominant firms profit function given by total revenue - total costs, then differentiation in terms of price.
We interpretate it by looking at if the dominant firms profit changes when it increases its price by a small amount, and there are two effects. Profit goes up by the increase in price but the number of units not sold due to less sold will negatively impact the profit.
Need to know the set and intuition behind it in a essay.
Easy to see in the example above (p-dc/dQ) is the price cost margin.
The last equation means, we can arrange in terms of the lerner index
Don’t need to know the proof
E - price elasticity of demand
As the demand become more elastic the distortion between price and MC is becoming smaller, flatter curve, will loss more demand as it increases its price, price closer to MC
Esf - price elasticity of the competitive fringe supply curve, as the supply curve becomes more elastic the distortion between the dominant firms price and costs is becoming smaller. Dominant firm loses more sales to the competitive fringe as price increase. The competitive fringe is putting a greater competitive constraint on the dominant firm. Pirce will be closer to MC
Sd is the dominant firms market share
Sf is the fringe firms market share, Sf = 1- Sd
As market share of D increases and the market share of the competitive fringe goes down, the distortion between dominant price and mc is getting bigger. D firm has greater market power when market share is higher
If no fringe, Ld is the monopoly index
AI
This formula reveals the three things that weaken a dominant firm: Market Elasticity ($\epsilon$):
If consumers stop buying the product entirely, power falls. Fringe Elasticity (epsilon^f):
If the fringe can easily ramp up production to replace the giant, power falls. Market Share (s^D):
If the dominant firm's share shrinks, its power shrinks mathematically .
There are case when Market share doesn't equal market power, no such link. Can be a setting when a monopolist has no market power. Consumers wait for the prices to fall before buying
The Issue: If Apple sells you an iPhone today, they lose you as a customer for 3 years.
The Threat: Consumers know the price will eventually drop. If they are "patient," they wait.
The Result: To get anyone to buy now, Apple must lower the price now.
Coase's Conjecture: If consumers are patient enough, a monopolist selling a durable good must price it at Marginal Cost immediately (acting like a competitive firm) because they are competing against their own future price cuts .

Draw the diagram for the residual demand and the steps to solving the model and whne does a kink appear
Two steps to solving the model
Dominant firm demand curve, residual demand curve. Demand it receives after competitive fringe has supplied as much as it wants to.
Dominant firm is the price maker, will determine the price in the market
Graph 2
Derive the dominant firms demand curve.
Market demand curve is the grey out curve
Looking at various prices, starting at p1. How much demand at p1 will the dominant firm get. So low, the competitive fringe will supply nothing all supply from the dominant firm, the whole makret demand will have to buy from the domiant firm. True for all prices up to p2
As price below p2, the competitive fringe won't supply anything
Above p2, competitive fringe will supply at equal to the supply curve, the difference between Q3 and q3 is the residual demand
At p4, the dominant firm won't make any sales
There is a kinked when the fringe starts supply the market. Low prices equal to the market demand curve, at p2 there is a kink to supply the difference.

What is the dominants firms optimal output
What price will the dominant firm set? The calculate MR from the residual demand curve, then find the profit maximisation point
When MC = MR
The Problem: The dominant firm cannot just set any price because the "Fringe" (tiny rivals) will steal customers if the price is too high. The Solution (Residual Demand):
The dominant firm looks at Total Demand ($Q^M$).
It subtracts what the Fringe is willing to sell ($Q^f$).
The remaining curve is the Residual Demand ($Q^D$).Behavior:
The dominant firm acts like a monopoly, but only on this residual curve. It sets $MR = MC$ based on the scraps left by the fringe .


Go through the numerical example
Could be an exam question
Add in question 12;21 Wed 11th Feb
What is the interpetation of the prodfit function differentiated for a dominant firm (differentiation and what does it mean)
Dominant firms profit function given by total revenue - total costs, then differentiation in terms of price.
We interpretate it by looking at if the dominant firms profit changes when it increases its price by a small amount, and there are two effects. Profit goes up by the increase in price but the number of units not sold due to less sold will negatively impact the profit.
Need to know the set and intuition behind it in a essay.
Easy to see in the example above (p-dc/dQ) is the price cost margin.

What is the dominant firms demand equal to? Why does the dominant firms demand fall?

If we rearrange the lerner index, what are the four properities
Don’t need to know the proof
E - price elasticity of demand
1.Even a dominant firm cannot charge a high markup if consumers can easily walk away from the market. Therefore, as the market becomes more elastic ($\varepsilon \uparrow$), the firm's market power decreases ($L^D \downarrow$).
2.If the fringe is very responsive ($\varepsilon_s^f \uparrow$), any attempt by the dominant firm to raise prices will simply result in the fringe firms flooding the market with their own supply. This "competitive threat" forces the dominant firm to keep its price closer to marginal cost, reducing its Lerner Index ($L^D \downarrow$).
3.The more the firm dominates the market ($s^D \uparrow$), the less "room" there is for the fringe to provide an alternative. With a larger share of the total supply, the dominant firm has more control over the market price, leading to a higher markup and higher market power ($L^D \uparrow$).
4.When you plug these values into the denominator ($\varepsilon + s^f \varepsilon_s^f$), the second term vanishes. You are left with the standard Inverse Elasticity Rule for a monopolist:
As the demand become more elastic the distortion between price and MC is becoming smaller, flatter curve, will loss more demand as it increases its price, price closer to MC
Esf - price elasticity of the competitive fringe supply curve, as the supply curve becomes more elastic the distortion between the dominant firms price and costs is becoming smaller. Dominant firm loses more sales to the competitive fringe as price increase. The competitive fringe is putting a greater competitive constraint on the dominant firm. Pirce will be closer to MC
Sd is the dominant firms market share
Sf is the fringe firms market share, Sf = 1- Sd
As market share of D increases and the market share of the competitive fringe goes down, the distortion between dominant price and mc is getting bigger. D firm has greater market power when market share is higher
If no fringe, Ld is the monopoly index

How do Durable good impact market power, what does it eliminates
There are case when Market share doesn't equal market power, no such link. Can be a setting when a monopolist has no market power. Consumers wait for the prices to fall before buying
The Issue: If Apple sells you an iPhone today, they lose you as a customer for 3 years.
The Threat: Consumers know the price will eventually drop. If they are "patient," they wait.
The Result: To get anyone to buy now, Apple must lower the price now.
Coase's Conjecture: If consumers are patient enough, a monopolist selling a durable good must price it at Marginal Cost immediately (acting like a competitive firm) because they are competing against their own future price cuts .

Topic 2
What did the office of fair trade find about strategic deterrence in the UK groceries market in 2006 and 2008
Uk competitive agency was worried about this industry in the 2000s, relationships between the supermarket and their suppliers, Supermarket were big and supplier were small (like farmers) - supermarkets can leverage market power to get a better deal and smaller supplier are worse off. OFT - forced them to set up a voluntary code of conduct how they would behaviour with suppliers
2005 - OFT, noticed supermarket didn’t follow their code of conducts and conducted a market study (learnt in lecture one, a study is a short sharp look at a market which may have a problem, normally 6 months ), after the market study the results concluded there were significant barriers to entry. Fell into these third sections.
Shortage of space in town centres where supermarkets wanted to locate - could only accommodate a small no of supermarkets - structure barrier to entry
Complex - planning permissions were very costly, especially off putting for small groceries shops, easier for big supermarkets - legal barrier to entry (created by the laws)
Report found evidence that the big 4 were strategically deterring entry for rivals, owning land they didn’t actually need to prevent other supermarkets (control the land) or building another store - Tesco in Loughborough is an example, by putting another store there, prevent a rival doing it. Sometimes just buying the land and not doing anything to prevent entry by rivals
End of the market study, recommended they should launch a market investigation (a lot more resources, up to 2 years and have powers to intervene if they find a problem). Two years later, competition commission confirm the problems and then decided to be very light touch, could've been very harsh and inputted structural remedies. Force you too sell other un needed stores, like Tesco's in Loughborough. New competition test in planning permissions, when putting a new store in a town, have to complete the test, the test stated that if a firm already has a store in these local markets, only open another one if there are four or more other stores in that market. Not too great for towns which are already dominated, only good for new towns.

What did the office of fair trade find about strategic deterrence in the US market in 1972 and 1982 ~(4,2)
Why did the UK take such a light touch on the supermarket industry?
This market is Kee logs cornflakes. Competition agency wanted to be harsh but got its finger burnt
1972 - Section 5, prohibits unlawful competition. Concentration ratio of 4 firms greater than 50%. In its investigations over a 20 years period it found they have entered 80 new brands but no new entrants from other firms. They were strategic deterring by filling up product space., sugar free, chocolate - loads of different options. Made sure rivals couldn’t enter the market as the biggest firms already had made it. The UK was filling up geographic space., slightly similar.
Remedies
Force the big 3 to sell out certain product lines.
Court case lasted 10 years, court decided against this policy. The judge said no evidence to deter entry through brand proliferation. It occurred naturally through competition.

What is the hotelling framework, assumnptions (3) and equation
Entry deterrence can happen naturally in the market. Linear city, in the textbook. Prefer the analogy of a beach. Consumers uniformly distributed along the beach. Where should the ice cram sellers locate there shops.
Need to consider how consumers get utility the ice cream, because this will determine their preference, preferences are going to determine demand and demand will determine profits, profits will determine best responses and best responses will determine Nash equilibriums.
Theta is where the consumer is located, need to determine the utility of consuming at a certain shop. V is the U of ice cream, identical between the two sellers as they sell the same ice cream. (ice cream of the same quality)
T is the travel costs of buying the ice cream, has to incur to travel to the seller of the ice cream. The distance is given by Di and p is the price of purchasing the ice cream
Distance can be linear or quadratic, quadratic next lecture in the travel costs

Draw and explain the equation if the consumer is located at the same place as the store or at the ends (0,1)
Utility on the y axis.
Consumer located at the same place as the seller of theta a, has no travel costs, so V- Pa is the utility.
When located at 0, they have an additional term of K theta a due to the travelling costs to the seller at theta a, so their utility will be less than the consumer located at the same place as the seller
When located at 1, they have cost of travelling as the distance is greater and they will gain lower utility compared to the other two positions
If you locate closer to the seller, you keep more of the utility.
As K increases the red lines get steeper the further away you are from the seller

What are the assumptions (3) with fixed simultaneous entry for two firms and what is the profit function
Consider the same question as Harold Hotelling, where should the firms locate.
Price are exogenous, price are determined outside of the model, they are fixed in the model. Markets where there are regulation over the prices, like on holiday with sun beds on a beach to make sure locals don’t force visits away from the high costs. Price are low enough all consumers want to buy, even if they are at the opposite end.
Profits are simply to the number of ice creams demanded. (take from the simplification of assumption 3 as profits equal 1)

Draw the diagram and equation for when there are two firms on the Utility/beach diagram
Introduce a second firms into the market at theta b. Think about what consumers will go to A and firm B
When explaining, the utility from consuming, the travel costs and the price.
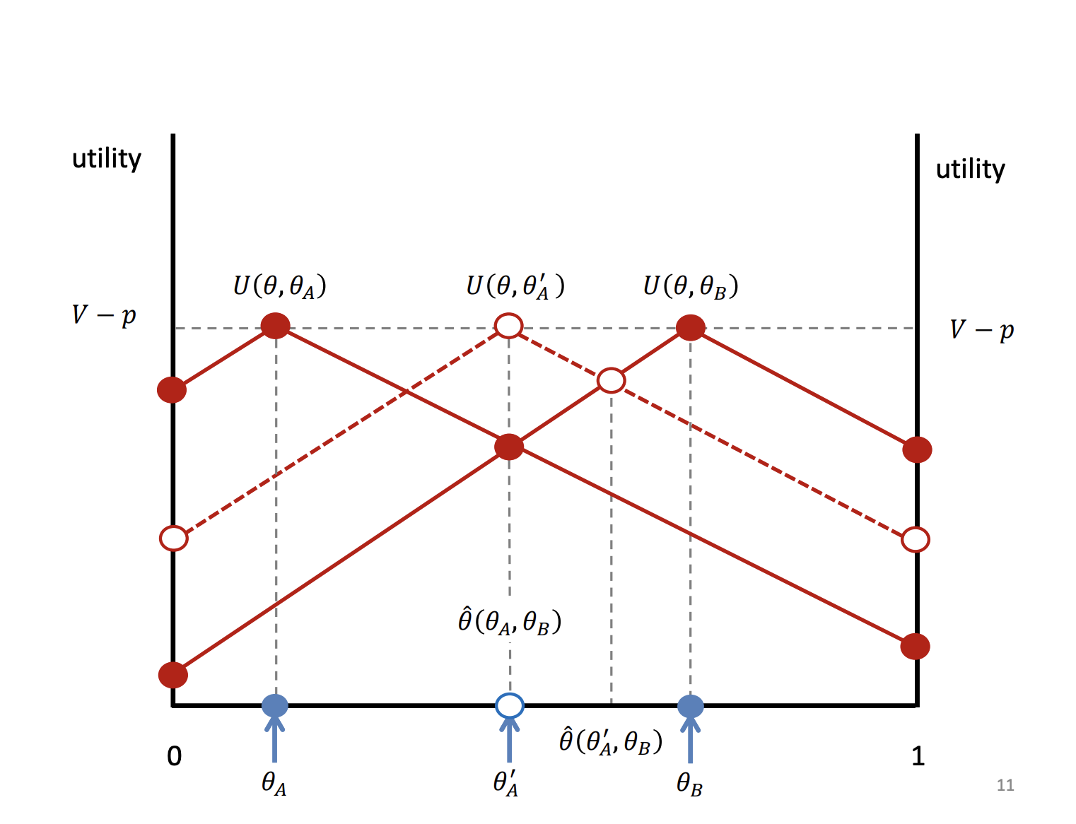
Shown is the Utility function of buying from firm A and B. The intercept is indifferent between buying from firm A and B. Any consumer to the left, will receive higher U from A and any consumer to the right will get higher U from buying from B instead of A due to the travel costs
The intercept point is know as the marginal consumer, indifferent from A and B.

where will consumers visit and the equation? What is the marginal consumer and the implication/equation
To determine where the consumers will purchase from. Whatever store they are closest to, to minimise travel costs. At the midpoint, the marginal consumer, the travel costs are identical.

What are the demand and profit functions of firm i and j (to the left and the right)
I's Demand given by the marginal consumer and the area to the left.
From the assumptions that the price cost margin is equal to one, we can use this to derive an expression for the firms profits
Profits of I when located at I and competition located at theta J. Left is the top line and the bottom line is to the right and the middle line is if they are located at the same place.

Show the effect of A moving clear to the middle on the utility/beach diagram
What happens to firms demand and profits as you change location. Moving A to the right of firm A to the point of the original marginal consumer. The demand is impacted by the individuals utility.
Will get a new marginal consumer located at the intercept of the new lines. As firm A locates closer to its rivals it demand is going up, and because its demand is going up and with the price cost ratio equal to 1, its profits will go up.

Shows the profit functions on the beach Utility diagram to indicate where A should locate
Firms profits will increase as it decrease the distance between its rival. Profits of y axis. This diagram show the level of profits relative to the location of the rivals, where is the best response of firm b
First, at the same position of firm B, they will share the market (the middle yellow point), each firm will get a profit of a half. Theta B/2 is the middle point, when A located at 0 as the profits are shared between the distance of 0 -> theta b. Marginally to the left of theta B ( the top yellow point), theta a will get all of the demand of consumers to the left.
This shows us if theta b choose the location of theta B, A should locate marginally to the left of theta B, in this example above

Draw the best repsonse function of the two firms in terms of location
Final diagram, best responses. Location of firm A of x axis and the location of firm B on the y axis. 45 degree line is when the locations of the firms are identical.
To show draw a dotted line, B is on the dotted line, A's best response function there is to locate slightly to the right, the purple line intercept. To show where B to locate, do the option, draw up from the X axis and find the intercept of B's BR function.
The best response functions are identical as they are symmetric firms. The Nash equilibrium is the intersection of the two firms best response functions, when theta = 0.5
Hotelling showed they will want to locate next to each other and in the middle of the market. Buyers are confronted by everywhere with an excessive sameness, as he went beyond this analysis and looked at whether this was the most efficient location and locations for two firms. He actually showed they should spread out across the line to minimise the travel costs of the consumers but the competitive incentive got them to locate next to each other, find why it is inefficient. Also is this reality? Is the theory good at explaining reality
Unrealistic Assumptions
Prices are exogenous, most markets they are in control of prices
Firms make decisions simultaneously to locate, Supermarkets cant easily change location but an ice cream van can. In the supermarket industry they typically enter sequentially, one enter first then another firm will enter
Example of median voter theorem from Micro.
If a party would move from a middle ground, the model tells us they should follow. Is this what we actually observe in reality.

What are the assumptions (3) of the endogenous sequential entry
Changing assumptions to the first model to make realistic. Any No. of firms and with a sunk cost of entry of F, no longer just two firms. Supermarket case of sunk costs of entry, cost of planning permissions, costs you don’t get back. Prices are still exogenous
Change assumption on decisions, firm one enter first, firm 2 will then consider if it want to, if they do, they decide where to locate and take on the sunk costs. This will continue until a firm doesn't want to pay the sunk costs as profits are smaller.

What is an interior/ peripheral firm and Answer this numerical question
Could be in the exam
Two firms entered, the question here is should another firm enter the market and where should it locate.
Will it locate between 0 and theta 1 (peripheral). If they did. They will want to locate as close as possible to firm 1 but marginally to the left to gain all consumers between theta 1 and 0, is this profitable? Profits are equal to 0. This will also apply to being a peripheral firm marginally to the right of theta 2 as the distance from 0 to theta 1 Is identical to theta 2 to 1.
Now the only other option is to be an interior firm?

How much demand will firm 3 get if it enter the market/ hwo do you wor this out?
How much demand will firm 3 get? We now get two marginal consumers. Indifferent between 1 and 3 and indifferent between 2 and 3 are the two marginal consumers. Between them, consumers will get a higher utility from buying from firm 3 rather the other two stores, as a interior firm, they will gain demand by the marginal consumers between the other firms, the distance.

Will firm 3 enter the market, how many marginal consumers will there be and what is the demand of firm 3?
Marginal consumers located at the midpoint of the two firms.
Demand that firm3 will get by locating between the two firms is shown by the difference of the midpoints, yellow arrows. This is minus as we are trying to get the distance between the two yellow arrows. The simplified outcome is the distance between firm 1 and 2. The profit of firm 3 is not a function of firm 3 as the theta 3 is cancelled out
So its telling us wherever firm three locates in the middle here, it is going to get the same demand. The demand will stay the same regardless of where firm three locates as the marginal consumers will cancel out the movement either side if they move left or right. Firm 3 is indifferent to where it should locate in the middle, but this isn't right as a fourth firm could enter.
Firm three get positive profit, the location is determined by where it will strategically deter other firms from entering the market after they enter.

What else will firm 3 consider when entering the market?
Deter entry from firm 4. Need to see firms 4 incentives to enter the market. Rationally we know firm four will not want to be a peripheral firm as firm 3 didn’t want to.
Solve for a inequality, for both too the left and the right of firm 3 as shown on the slide. With these two inequalities here that need to be satisfied to determine or to deter entry from firm 4, there is only at one point when both are satisfied. ~Firm 3 will pick this location, and the equilibrium of the model.
Compare to hotelling as we relax the assumptions. Spreading out to deter rivals from entering the market
Haven't said anything about dominance, simply competition. We have seen that the firms will strategically deter other firms from entering the markets, show by competitive agency have been reluctant from intervening in similar markets, UK supermarket

Free entry equilibbrium conditions more generally

What happens if it enters as a interior firm

what is firm i’s demand

CW dominance and entry deterrence example

Answers
