1/17
Looks like no tags are added yet.
Name | Mastery | Learn | Test | Matching | Spaced | Call with Kai |
|---|
No analytics yet
Send a link to your students to track their progress

lactose

maltol

Furan

Pyrazine
Diacetyl

Lactic Acid

acetic acid

ethanol

ethylene

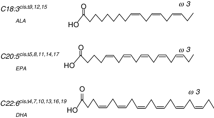
omega 3 fatty acids
carbon dioxide
sodium bicarbonate
carbonic acid

monocalcium phosphate

sodium aluminum sulfate

thiocyanate

capsaicin

piperine