1/74
Looks like no tags are added yet.
Name | Mastery | Learn | Test | Matching | Spaced | Call with Kai |
|---|
No analytics yet
Send a link to your students to track their progress

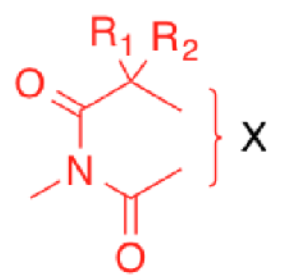
what structure is this
KNOW!
ureide structure

what drug is this
phenobarbital

what drug is this
mephobarbital

what drug is this
lorazepam

what drug is this
midazolam (Versed)

what drug is this
valproic acid (Depakene)

what drug is this
trimethadione

what drug is this
ethosuximide

what drug is this
phenytoin (Dilantine)

what drug is this
fosphenytoin (Cerebyx)

what drug is this
carbamazepine (Tegretol)

what drug is this
oxcarbazepine (Trileptal)

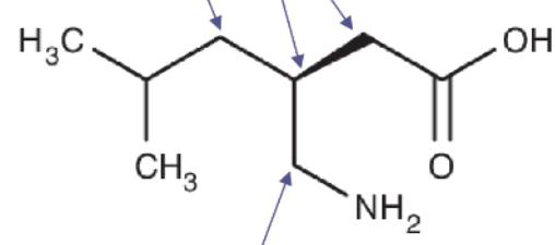
what structure is this
GABA

what drug structure is this
gabapentin

what drug structure is this
lamotrigine (Lamictal)

what drug structure is this
topiramate (Topamax)

what drug structure is this
tiagabine (Gabitril)

what drug structure is this
S-(-)-levetiracetam (Keppra)

what drug is this
zonisamide (Zonegran)

what drug is this
lacosamide (Vimpat)

what drug structure is this
pregabalin (Lyrica)

what drug is this?
ergotamine z

what compound is this?
5-HT/serotonin

which drug is this?
dihydroergotamine (Migranal)

which drug is this?
propranolol hydrochloride

which drug is this?
timolol maleate

what drug is this?
metoprolol tartrate

what drug class is this?
this is the indole structure of triptans

what compound is this
serotonin

what drug is this?
sumatriptan (Onzetra Xsail)

what drug is this?
zolmitriptan (Zomig ZMT)

what drug is this?
naratriptan (Amerge)

what drug structure is this?
frovatriptan (Frova)

what drug structure is this?
eletriptan hydrobromide (Relpax)

what drug structure is this?
lasmiditan (Reyvow)

what drug structure is this?
Rimegepant (Nurtec)

What drug structure is this?
ubrogepant (Ubrelvy)

what drug structure is this
atogepant (Qulipta)

what drug structure is this
zavagepant (Zavzpret)