1/99
Name | Mastery | Learn | Test | Matching | Spaced | Call with Kai |
|---|
No analytics yet
Send a link to your students to track their progress
Saponin
This glycoside is widely distributed in higher plants.
Saponin
This glycoside acts as a natural detergent; forms colloidal solutions that foam upon shaking.
Natural detergent
What property of saponins allows them to form colloidal solutions and produce foam when shaken?
Bitter, acrid taste
What is the taste of saponins?
Sternutator
This characteristic of saponin irritates the mucous membranes resulting to sneezing.
Hemolytic
This characteristic of saponin lyses (destroy) the red blood cells.
Saponin
This is toxic to cold-blooded animals (e.g., Fish); used as a fish poison.
Saponin
Characteristics of?
Optically active
Soluble in water and alcohol but insoluble in organic solvent
False
Explanation: Saponins are optically active because they contain chiral carbon atoms in their sugar and aglycone (sapogenin) structures.
True or False
Saponins are not optically active.
False
Explanation: Saponins are soluble in water and alcohol but insoluble in organic solvents.
True or False
Saponins are soluble in organic solvents but insoluble in water and alcohol.
Saponin
This was discovered due to the search for another source to get another precursors for cortisone.
Sapogenins
GLYCOSIDES: SAPONIN
Aglycone is?
Sarsaponins
GLYCOSIDES: SAPONIN
Steroid saponin is?
Sapotoxin
GLYCOSIDES: SAPONIN
Poisonous saponin is?
Steroidal and Triterpenoid
What are the two (2) classification of saponins?
Steroidal
CLASSIFICATION OF SAPONIN:
Neutral and similar to sapogenins
Closely related to cardiac glycosides
Precursor for steroid synthesis (cortisone)
Steroidal
This is neutral and similar to sapogenins.
Steroidal
This is closely related to cardiac glycosides.
Steroidal saponin
This saponin is also a precursor for steroid synthesis, especially the cortisone.
Diosgenin
This is one of the important steroid saponin.
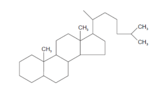
Steroid
This structure is for?

Sapogenin
Triterpenoid is also known as?
Sapogenin
What is the acidic type of saponin?
Hemolysis Test
CHEMICAL TESTS: SAPONIN
Drop of blood + aq. Saponin sol. = Ruptured RBCs (hemolysis)
What type of test is this?
Ruptured RBCs (hemolysis)
What is the result in hemolysis test?
Foam/Froth Test
CHEMICAL TESTS: SAPONIN
1 gram of drug + water = Stable froth lasting for 60-120 seconds
What test is this?
Stable froth lasting for 60-120 seconds
What is the result in foam/froth test?
60-120 seconds
How long does the froth lasts in foam/froth test?
Glycyrrhiza
Dioscorea
Ginseng
Asparagus
Gotu Kola
What are the five (5) plants containing saponin?
Glycyrrhiza
SAPONIN: PLANTS
Consist of the dried rhizome and roots of Glycyrrhiza glabra (Leguminosae).
Glycyrrhiza glabra
What is the scientific name of Glycyrrhiza?
Licorice
What is the common name of Glycyrrhiza glabra?
Leguminosae
What is the family name of Licorice (Glycyrrhiza glabra)?
Licorice
Sweet liquorice
What are the other names of Glycyrrhiza?
Sweet root
The word “glycyrriha” is Greek in origin, meaning?
Typica
Glandulifera
What are the two (2) variations of Glycryrrhyza glabra?
Spanish Licorice
The variation Typica is called?
Russian Licorice
The variation Glandulifera is called?
Smooth
The word “glabra” means?
Glycyrrhizin (Glycyrrhizic acid)
What do you call the constituent of glycyrrhiza that is 50x sweet at sugar.
Glycyrrhizic acid
Glycyrrhizin is also known as?
Glycyrrhetic acid
2 molecules of Glucuronic acid
If glycyrrhizin was hydrolyzed, it will loose its sweet taste and will form the acids called?
Demulcent
Expectorant
Flavoring agent to mask the taste of bitter drugs
Increase foaminess of beer
Added to chewing gums, chocolate candy, cigarettes, smoking mixtures
What are the five (5) uses of glycyrrhiza?
Mnemonics: DEFIA
Aloe
Ammonium chloride (NH4Cl)
Quinine
What are some examples of bitter drugs?
Glycyrrhetic acid
This acid is a product of hydrolysis of glycyrrhiza and is anti-inflammatory.
Anti-inflammatory
What is the effect of glycyrrhetic acid?
Licorice root extract
Glycyrrhetic Acid:
This is used as treatment for Peptic Ulcer Disease (PUD) and Addison’s Disease.
Peptic Ulcer Disease (PUD)
Addison’s Disease
Licorice root extract is a treatment for?
Peptic Ulcer Disease (PUD)
This is a condition in which open sores develop on the lining of the stomach or the first part of the small intestine due to acid injury.
Addison’s Disease
This disease is the chronic adrenocortical insufficiency; adrenal glands does not produce enough hormones.
Glycyrrhizin
This increases the fluid and sodium (Na) retention contraindicating patients with hypertension and cardiac problems.
(Avoid constant eating of licorice sticks!)
Potassium
Glycyrrhizin promotes the depletion of?
Pure licorice root extract
or Pure glycyrrhiza extract
This is an ingredient in aromatic cascara sagrada fluid extract.
Glycyrrhiza Fluid Extract
This is a pharmaceutic aid
Prepared by extracting coarsely ground licorice root + warm water; render alkaline by using ammonium hydroxide (NH4OH), qs ad water (H2O) and alcohol.
Dioscorea (Yam)
SAPONIN: PLANTS
The dried rhizome of several species of Dioscorea like Dioscorea spiculiflora and Dioscorea floribunda (Dioscoreaceae).
Dioscorea spiculiflora
Dioscorea floribunda
What are the several species of Dioscorea called (scientific name)?
Dioscoreaceae
What is the family name of Dioscorea (Yam)?
Diosgenin
This is abundant to the Dioscorea spiculiflora.
Dioscorea spiculiflora
This is the abundant major constituent of Diosgenin in what species of Dioscorea?
Dioscorea floribunda
This is the best source for steroids.
Diosgenin
Botogenin
What are the two (2) major constituents of Dioscorea?
Hydrolysis of diosin
Diosgenin is produced by the?
Ginseng
SAPONIN: PLANTS
Consists of dried roots of Panax ginseng and other species like Panax japonicus, Panax pseudoginseng, Panax quinquefolius, and Panax trifolius.
Panax ginseng
Ginseng consists of dried roots of?
Panax ginseng
What is the scientific name of ginseng?
Panax japonicus
Panax pseudoginseng
Panax quinquefolius
Panax trifolius
Aside from Panax ginseng, ginseng consists of dried roots of what other species?
Asian ginseng
Panax ginseng is also known as?
American ginseng
Panax quinquefolius is also known as?
Ginsenoside
Chikusetsusaponin
Panaxoside
What are the three (3) chemical constituent of Ginseng?
Adaptogen
USES OF GINSENG:
Helps the body to response to stress and fatigue.
Stress and Fatigue
The adaptogen property of ginseng helps the body to response to?
Carminative
USES OF GINSENG:
Relieves flatulence.
Flatulence
The carminative property of ginseng helps in relieving?
Demulcent
USES OF GINSENG:
Forms a film to relieve irritation of mucous membranes.
Mucous membranes
The demulcent property of ginseng forms a film to relieve irritation of?
Stimulatory effect on CNS
USES OF GINSENG:
Improves memory, increase alertness, antidepressant.
Inhibitory effect on CNS
USES OF GINSENG:
Neuroprotection, anti-inflammatory, anti-oxidant
Tonic
USES OF GINSENG:
Gives feeling of vigor/well-being.
Aphrodisiac
USES OF GINSENG:
Increases libido/seexual desire.
Asparagus
SAPONIN: PLANT
The drug is derived from dried tuberous roots of Asparagus racemosus (Liliaceae).
Asparagus racemosus
Asparagus is derived from the dried roots of?
Asparagus racemosus
What is the scientific name of Asparagus?
Liliaceae
What is the family name of Asparagus (Asparagus racemosus)?
Shatavarin I-IV
What is the constituent of Asparagus?
Sarsapogenin
What is the aglycone unit of Shatavarin I-IV?
Antispasmodic
Aphrodisiacs
Demulcent
Diuretic
Galactogogue
Refrigerant
What are the five (5) uses of Asparagus?
Mnemonics: Double A, Double D, GR
Galactogogue
USES OF ASPARAGUS:
Promotes breast milk production.
Gotu Kola
SAPONIN: PLANTS
The fresh or dried herb of Centella asiatica (L.) (syn. Hydrocotyl asiatica) (Umbelliferae).
Centella asiatica
What is the scientific name of Gotu Kola?
Umbellliferae
What is the family name of Gotu Kola (Centella asiatica)?
Indian pennywort
Brahmin
Gotu Kola is also known as?
Asiaticosides
Indocentelloside
Brahmoside
Brahminoside
Thankuniside; and
Isothankuniside
What are the six (6) chemical constituents of Gotu Kola?
Mnemonics: AI-BB-TI
Asiaticosides
This is the most used chemical constituent of Gotu Kola.
Stimulates collagen production
Associated with wound healing
Anti-inflammatory
Antioxidant
What are the four (4) uses of Asiaticosides?
Mnemonics: SAAA
Collagen
USES OF ASIATICOSIDES:
This stimulates the production of?
Wound healing
USES OF ASIATICOSIDES:
Associated with?
Gotu Kola
These uses are from what saponin plants:
Tonic
In diseases of skin, nerves, blood
Improve memory
Increase keratinization
Connective tissue development
What is the primary mode of action of Gotu Kola that is part of the healing process?
Wound healing
USES OF GOTU KOLA:
In diseases of skin, it promotes?
Keratinization
USES OF GOTU KOLA:
Increases of this, strengthens skin and hair.