1/41
Looks like no tags are added yet.
Name | Mastery | Learn | Test | Matching | Spaced | Call with Kai |
|---|
No analytics yet
Send a link to your students to track their progress
What is the goal of DNA replication
Create new DNA strands that are complementary to the original strands, leading to two full copies of DNA
In which way is DNA replicated
From 5’ to 3’
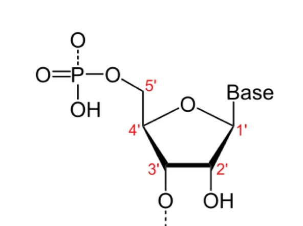
How do you tell the difference between a 5’ and 3’
What is bonded at the number, count from base clockwise

5’ Carbon
Sticks upwards and attached to phosphate group
3’ carbon
Attached to the OH group
DNA replication enzymes in order
Helicase
Topoisomerase
Primase
DNA Polymerase III
DNA Polymerase I
Ligase
Helicase
Unzips DNA, allows for other enzymes to access DNA
What does the Helicase create after unzipping the DNA
Replication Fork
Topoisomerase
Will bind to DNA to keep it from over-coiling as replication begins
Primase
Creates primers that bind to the open strands, tells DNA polymerase III where to start building
Primers
Small chunks of complimentary DNA, both strands need this
DNA Polymerase III
Responsible for placing complimentary bases along the new strand of DNA, always in the 5’ to 3’ direction
DNA Polymerase I
Comes through and removes the leftover primers at the end of replication
DNA polymerase II
Used for DNA repair

Okazaki Fragments
Small fragments of DNA that get synthesized in chunks to create the complement of the lagging strand
Ligase
Reforms the bonds between the phosphate sugar backbones (phosphodiester bonds)
Step 1 of DNA replication
DNA Helicase unzips your genes
Step 2 of DNA replication
Primase creates primers to bind to DNA.
Step 3 of DNA replication
DNA polymerase III binds to the primer and begins replication.
Step 4 of DNA replication
The lagging strand gets synthesized using Okazaki fragments.
Step 5 of DNA Replication
DNA Ligase glues DNA back together.
Differences in eukaryotic and prokaryotic DNA replication
The general process is the same, prokaryotes have more DNA polymerases.
Ori
Origin of replication for prokaryotes

Telomeres
Unpaired, repetitive sequences of DNA that do not code for genes, get shorter with each cell division.
Telomeres and Okazaki fragments
Primers for Okazaki fragments need something to bind to. As more cell cycles occur, the more
DNA they use up
What do telomeres do
Protect genes from getting deleted as cells continue to divide segments of DNA that get
shorter as cells continue to divide
What are the two ways mutations can occur
Induced
Spontaneous
Induced Mutations
Caused by exposure to chemicals, UV, x-rays
Spontaneous Mutations
Happen in response to natural reactions in the body (aging, change in ph, issues with replication)
What are the two types of single-nucleotide polymorphisms(SNPs)
Transition and Transversion Substitutions
Transition Substitution
Substitute purine for the wrong purine OR sub pyrimidine for the wrong pyrimidine
Transversion Substitution
sub a purine for a pyrimidine OR sub a pyrimidine for a purine
What are the 3 frameshift mutations
Insertions
Deletions
Duplications

Insertion
Insert an additional base that is NOT supposed to be there

Deletion
Delete a base that is supposed to be there.

Duplication
Duplicate base, gene, or chromosome region by mistake.
Genotype
Different genes on the chromosomes
Alleles can be what
Dominant or Recessive, does not necessarily mean better or worse
Dominant (A)
Only needs one copy of the allele to be expressed
Recessive (a)
Needs two copies of the allele to be expressed
Homozygous
AA or aa
Heterozygous
Aa, will always express the dominant gene.