1/27
Looks like no tags are added yet.
Name | Mastery | Learn | Test | Matching | Spaced | Call with Kai |
|---|
No analytics yet
Send a link to your students to track their progress
Name examples of relative performance incentives in the workplace
Competing for a fixed no. of discrete rewards or ‘prizes’ - e.g. promotions, bonuses (tournament)
Allocating a fixed merit or bonus budget to a pool of workers
Any scheme where pay depends on relative performance
What is a tournament?
Any situation where 2+ agents/workers/players compete for a (lump sum) prize
e.g. Competing for a promotion - only the ‘best’ employee gets the promotion, competition for a bonus, competition for the right to keep your job
2 main functions of promotion tournaments:
Employee selection → allocating the “right” ppl to the right tasks - more able employees take on more responsible jobs
Work incentives for those not yet promoted → promotion equivalent to cash bonus = monetary prize for best performance in group of employees
What are the elements of a two-player tournament?
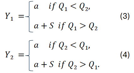
P employs two As w/ production functions → see pic
As’ disutility of effort functions are V(Ei) w/ V’ and V” > 0
If Q1 and Q2 are separately observable → As could be paid via individual piece rates
e.g. Yi = ai + biQi for i = 1, 2
Or P could run tournament between As

How could the principal run a tournament between workers?
Both workers get a base pay of a → but worker w/ best performance gets extra reward of S
If tie between 2 workers (Q1=Q2) → assume P flips coin to award prize
i.e. S is prize spread (between winning and losing prizes) in tournament

What is the probability that worker 1 wins the tournament?
Generally, (1)-(4) imply worker 1 wins tournament if → d1E1 - d2E2 > 𝜀2 - 𝜀1
i.e. Worker 1 wins if output gap resulting from relative ‘effective’ effort (d1E1 - d2E2) outweighs worker 2’s relative luck (𝜀2 - 𝜀1)
What is the probability worker 1 wins given the effort levels of both workers (Prob (1 wins| E1, E2)?
When d1 = d1 = 1 (both workers are equally able) and 𝜀 is uniformly distributed on the interval [-5,5] → worker 1 wins if E1 - E2 > 𝜀
i.e. Worker 1’s relative effort (E1 - E2) exceeds worker 2’s relative luck (𝜀)
What is the probability of winning the promotion dependent on?
Increases w/ own effort → decreases w/ other’s effort
Depends on relative effort only
Fairness and equal ability → probability of winning is 50% if effort is same
Marginal effect of effort on probability of winning increases w/ precision w/ which output is measured → i.e. increases w/ 𝛼 = 1/R
Marginal effect of effort on probability of winning also rises w/ workers’ productivity (d)
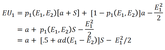
What is the expected utility of agent 1 given the contest rules?
Contest rules - loser gets a, winner gets a+S
Disutility of effort - E²/2
Expected utility of agent 1 → see pic

How does agent 1 find the optimal effort level?
Maximise EU1 → taking the derivative wrt E1 and treating worker 2’s effort as given, first-order condition for a maximum is → see pic
Thus, (privately) optimal effort → independent of a
Effort increases w/ prize spread (S) and productivity (d)
Increase in 𝛼 (more precise measurement of workers’ relative performance) raises E1*
BUT given E1*= 𝛼dS→ firm can always compensate for noisy measurement technology (low 𝛼) by raising S
By symmetry, E2*= 𝛼dS → given 𝛼, d and S, both workers provide the same effort
Thus, actual winner determined purely by luck → i.e. by realisation of 𝜀

What is each agent’s dominant strategy in the tournament?
When distribution of relative luck (𝜀) is uniform → each worker’s optimal effort is independent of other’s effort
i.e. setting Ei*= 𝛼dS (i = 1,2) is each agent’s dominant strategy in simultaneous-move game between two workers
For all other distributions, each worker’s optimal effort choice depends on how hard they expect their co-worker to work
i.e. E1*= f1(𝛼,d,S,E2) and E2*= f2(𝛼,d,S,E1)
What is the socially efficient effort level in the tournament?
Socially efficient effort maximises sum of profits (output - payments to workers) + utility (payments to workers - disutility of effort) → profits + utility = output - disutility of effort
Expected output at firm given by Q = dE1 + dE2 = d(E1 + E2)
Each worker’s disutility of effort is Ei2/2 → so efficient effort level chooses E1 and E2 to maximise: d(E1 + E2) - E12/2 - E22/2
FOC are: d - E1 = 0 and d - E2 = 0
Thus, economic efficiency requires that Ei = d for i = 1,2
e.g. Given 𝛼=0.1 and d=4 → efficient effort level is Ei = 4 for both workers
Given 𝛼=0.1 and d=4, how to achieve efficiency with the optimal tournament?
Given contest rules, As’ effort choices are E1* = E2* = 𝛼dS = 0.1(4)S = 0.4S
To induce efficient effort level Ei* = 4 → need 4=0.4S → S=10 is efficient prize spread
Yields (efficient) expected output from each worker of dE = 16
Given a=9, what is each worker’s expected income, expected utility and profits?
Expected income = a + 0.5(S) = 9 + 0.5(10) = 14
Expected utility = a + 0.5(S) - Ei2/2 = 14 - 42/2 = 6
E (profits per worker) = E (output) - E (worker’s income) = 16 - 14 = 2
If each of the two workers was compensated via a piece rate instead of competing for a promotion, what would their expected income be?
Worker’s 1 expected income → Y1 = a + bdE1
Given the firm chooses b=1 (Pareto-efficient outcome) and a = -2, what effort level will the workers choose when compensated via piece rate?
Given reward scheme and production function faced → both workers will choose E* = 4
Why? Under piece rate → each worker’s EU = a + bdEi - Ei2/2 → maximising this yields familiar result for piece rates of Ei = bd = 1×4 = 4
When compensated via piece rate, what is each worker’s expected output, total income, expected utility and profits?
Expected output = dE = 16
Expected total income = a + dE = -2 + 16 = 14
EU = a + dE - E2/2 = 14 - 42/2 = 6
Profits per worker = output - worker’s income = 16 - 14 = 2
Above are all identical to tournament outcomes
What is meant by the equivalence of tournaments and piece rates?
In general, by appropriate choice of pay parameters (a and b in the case of piece rates; 𝛼 and S in the case of tournaments) → any overall outcome (i.e. any combination of output, effort, worker utility and firm profits) achievable by one pay scheme can be generated by other scheme
How can using tournaments save monitoring costs?
If P can’t observe workers’ output well → but can observe relative output w/ some error (i.e. can rank workers)
Given workers are risk-neutral → can do just as well w/ tournament as w/ piece rate
In fact, if workers are risk averse → may be able to do even better w/ tournament
Why are noisy performance measures not a problem when workers are risk neutral?
Socially efficient prize spread (S) given by relationship → see pic
Where 1/𝛼 = R gives severity of measurement error
Thus can always compensate for imprecise performance measures by raising prize spread

Why might tournaments help explain large salary jumps when workers are promoted?
Hard to imagine worker who gets 50% raise on promotion to assistant to chief production manager becomes 50% more productive overnight
BUT if promotions seen as prize for which assistant managers compete → large salary jumps easier to understand
Why does luck matter for who gets ahead in competitive work environments?
In efficient tournament → workers w/ similar effort levels can receive very different rewards
e.g. both workers work equally hard → but one who receives promotion determined purely by luck
However, tournament still doing exactly what it was designed to do → inducing efficient levels of effort among both the workers competing for the promotion
What is the extent of generality of the equivalence theorem?
Equivalence → does NOT depend on having linear production function or quadratic V(E) function
Equivalence → does NOT depend on having uniform distribution of relative luck w/ important caveat:
For all other luck distributions → As must think strategically when making effort choices in tournaments but NOT under piece rates
Makes it cognitively much harder for agents to figure out what choice makes the most sense
Laboratory experiments show avg effort level in tournaments between equally able players is pretty close to Nash equilibrium prediction → BUT much more variance in choices (both across As and over time) under tournaments
Equivalence → depends on risk neutrality
If workers are risk averse → unclear if they prefer tournament to piece rate incentive scheme that yields same expected income
Compared to a piece rate contract with the same expected pay and effort, why will risk-averse workers dislike a tournament?
Nature induced risk (𝜀) - in tournament, your pay depends on both your co-workers’ luck and your own luck
Strategic uncertainty - in tournament, your pay depends on both co-workers’ actions (effort choices) and your own actions
Co-workers’ actions may be hard to predict
Compared to a piece rate contract with the same expected pay and effort, why will risk-averse workers like a tournament?
Tournaments eliminate possibility of extremely low or high pay → compared to piece rate (where pay could take any value), pay in tournament can only take one of two levels: a or a + S
Insurance against common shocks → if luck (𝜀i) is positively correlated across workers (case of common shocks) → tying pay to relative performance reduces workers’ compensation risk w/o comprising incentives
BUT in general, hard to say whether risk-averse workers prefer tournaments to individual pay schemes providing same expected income

When performance is strongly affected by common shocks, why can tournaments be better for both workers and firms than individual piece rates?
Reduce workers’ exposure to risk w/o compromising incentives
Under piece rates → optimal to give risk-averse workers a break in bad times (lower production standards, higher a) if firm and worker can write a state-contingent contract
Tournaments automatically reduce performance standards in bad times → by rewarding workers based on relative performance only
Thus, employment contract can insure workers w/o containing explicit clauses linking pay to ‘state of nature’ AND firm can still use same prize spread (S) to incentivise workers
Tournaments can provide this insurance w/o comprising agents’ marginal work incentives
Name empirical evidence of relative pay in action
Knoeber, Charles R. “A Real Game of Chicken: Contracts, Tournaments, and the Production of Broilers”. Journal of Law, Economics and Organization5(2) (Fall 1989): 271-92.
How can the market for broilers be viewed as a principal-agent problem?
Integrator hires group of growers to perform service → raising chicks into chickens
Integrator supplies chicks, feed and veterinary services → growers provide “housing” and labour
Integrators pay growers certain amount per pound of broiler produced
Since integrator pays for feed and veterinary services used → integrator wants growers to use less feed and vet services
Thus, integrators reward low-cost producers by paying him higher price per pound of broiler produced
BUT price growers get depends only on relative cost performance compared to dozen or so other growers in their area → kind of tournament
Why are tournaments used in the market for broilers?
Not about identifying most able candidate for promotion → growers never promoted to be integrators
Doesn’t economise on performance measurement costs → integrators already maintain complete cost records
BUT growers are risk averse and important common shocks present - e.g. weather, disease outbreaks, breed of chicks supplied to growers, type of food supplied to growers
Payment by relative output eliminates about half the potential variance in growers’ income w/o comprising incentives in any significant way