1/5
Looks like no tags are added yet.
Name | Mastery | Learn | Test | Matching | Spaced | Call with Kai |
|---|
No analytics yet
Send a link to your students to track their progress

2000 AB 4
c) A(t) = 30 +∫t0 8 - sqrt(x+1) dx
A(t) = 30 + 8t - ∫t0 sqrt(x+1) dx
d) A’(t) = 8 - sqrt (x-1); A(t) = 0 when t = 63
A’(t) is positive for (0, 63) but negative for (63, 120); therefore, there is an absolute maximum at t=63.


2007 AB 3
d) establish that since g(1) = 2), g-1 (2) = 1
g-1’(x) = 1/g’(g-1(x))


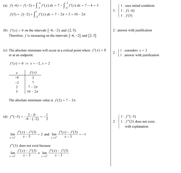
2017 ABBC 3
b) increasing on [-6, -2] u [2,5] since f’(x) > 0 for [-6, -2) u (2, 5)
d) Find limit on left and right, but then use slope formula with generic point as first and f’(3) as second to prove at end.
![<p>b) increasing on [-6, -2] u [2,5] since f’(x) > 0 for [-6, -2) u (2, 5)</p><p>d) Find limit on left and right, but then use slope formula with generic point as first and f’(3) as second to prove at end. </p>](https://assets.knowt.com/user-attachments/4027c36b-2ebc-4ca2-adfa-0231e2e500b2.png)

2019 AB 2 CALC
a) interval [0.3, 3.8] is continous.
c) technically taking intergral of absolute value of vqt
![<p>a) interval [0.3, 3.8] is continous.</p><p>c) technically taking intergral of absolute value of v<sub>q</sub>t</p>](https://assets.knowt.com/user-attachments/8fb6bd86-1a08-472d-9ad9-6925b8655165.png)

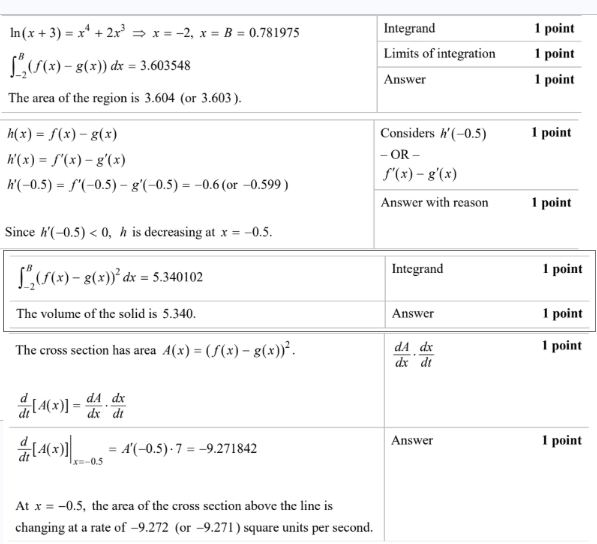
2022 AB 2 CALC
a) Make sure you state equations equal each other, and then B
d) d/dt (A(x)) = DA/dx (dx/dt)
D/dt (A(x))| x=-0.5 = A’(-.0.5)(7) = -9.272


2022 AB 5
d) Coefficient of cos is -1/pi
