1/198
Looks like no tags are added yet.
Name | Mastery | Learn | Test | Matching | Spaced | Call with Kai |
|---|
No analytics yet
Send a link to your students to track their progress
Nutrient
A substance that provides energy and building materials of cells and tissues, and serving as cofactors for enzymes for the body

Macronutrients
Nutrients needed in large amounts (g-kg)
- carbohydrates, lipids, proteins

Micronutrients
Nutrients needed in small amounts (μg-mg)
- vitamins, minerals

carbohydrates, lipids, proteins, water
examples of macronutrients
vitamins and minerals (calcium, phosphorus, etc.)
examples of micronutrients
Organic nutrients
Carbon-based nutrients (carbs, lipids, proteins, vitamins)

Inorganic nutrients
Non-carbon-based nutrients (water, minerals)

carbohydrates, lipids, proteins, vitamins
examples of organic nutrients
water and minerals
examples of inorganic nutrients
Essential nutrients
Nutrients the body cannot synthesize and must obtain from diet

Non-essential nutrients
Nutrients the body can synthesize, so don't need to be consumed

Calorie
Amount of energy in a nutrient needed to raise 1 mL of water by 1°C

4, 4, 9
Calories per gram of each nutrient:
Carbohydrates: ___
Protein: ___
Lipid: ___
a. fats
Which of the following has the highest caloric value per gram.
a. fats
b. proteins
c. sugars
d. minerals
b. 28 Calories
Given the nutrition label in Figure 23.6 (7g of protein), how many Calories come from the protein in this product?
a. 70 Calories
b. 28 Calories
c. 49 Calories
d. 140 Calories
immune system, vision, reproduction
(formation and maintenance of organs too, if you care)
functions

enzyme reactions, metabolism, brain development
Vitamin B6 functions

keeps nerves and blood cells healthy, helps make DNA
Vitamin B12 functions

antioxidant, helps make collagen (wound healing), helps immune system function properly
Vitamin C functions

health, strong bones, helps absorb calcium
(helps muscle movements and nerve signals)
Vitamin D functions

antioxidant, boosts immune system (fight bacteria and virus)
(helps widen blood vessels and keep blood from clotting)
Vitamin E functions

helps blood clotting, increases bone density
Vitamin K functions

rickets
A bone weakness disease caused by vitamin D deficiency.

🍎 CARBOHYDRATES
macromolecules
A very large organic molecule composed of many smaller molecules
- proteins, carbohydrates, lipids, nucleic acids

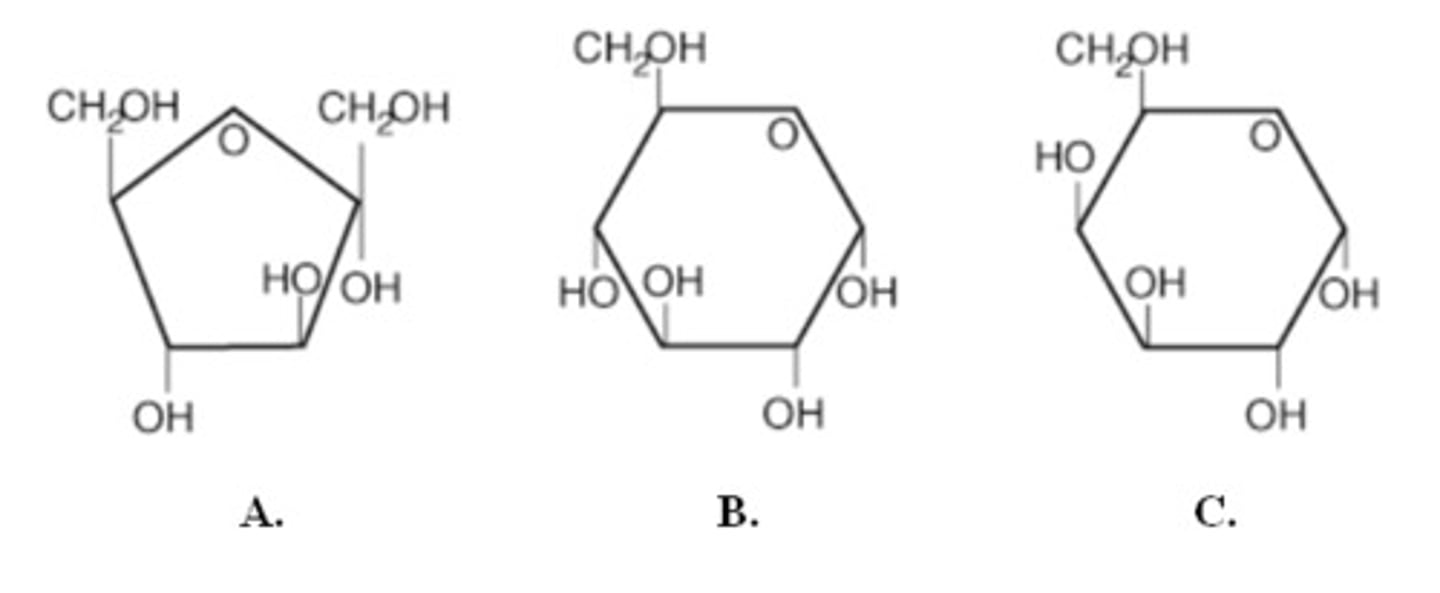
Monosaccharides
Simple sugars (single sugar units)

glucose, fructose, galactose
examples of monosaccharides

Disaccharides
Two monosaccharides bonded together

lactose, maltose, sucrose
examples of disaccharides

2 glucoses
Maltose is composed of-
galactose and glucose
Lactose is composed of-
glucose and fructose
Sucrose is composed of-
C6H12O6
Disaccharides formula (before hydrolysis) ???

(C6H12O6 x 2) - H2O
Equation to find C,H,O for disaccharides
C12 H22 O11
How many C,H,O molecules in a disaccharide (after hydrolysis)?

(C6H12O6 x 3) - (H2O x 2)
C18 H36 O18 - H4O2
C18 H32 O16
With 3 monosaccharides, what is the total C,H,O molecules?
1 less than
the number of H2O bonds is _____ than the number of molecules
lactose intolerance
The inability to completely digest the milk sugar lactose due to low lactase enzyme in small intestine
- cramping & diarrhea caused by its breakdown in large intestin
- treat with synthetic lactase (Lactaid)

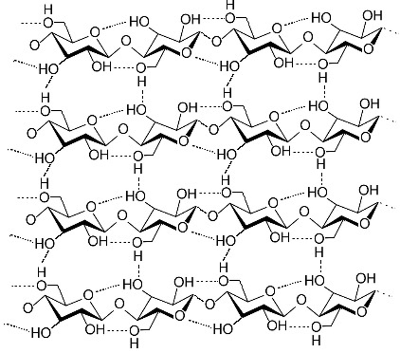
Polysaccharides
Complex carbohydrates made of many sugar units

amylose and amylopectin
two types of polysaccharides in starch

cellulose (fiber)
The one carbohydrate you can't digest since molecules are more packed together. Found in plant cell walls.
- cows need more stomachs lol 🐄

glycogen
An extensively branched glucose storage polysaccharide found in the liver and muscle of animals; the animal equivalent of starch.

glucose, liver
glycogen is a stored form of ____ in the _____ (<-- organ)

glucogenesis
forming or producing glucose
- in this case, glucose is formed from glycogen

low, glucose
when blood sugar is _____, glucagon breaks down glycogen into ________

pancreas, liver
glucagon is produces in the _________ (organ) and travels to the _________ (organ) to tell it to break down glycogen into glucose

Carbohydrate functions
Provide energy, cell signaling, component of some vitamins, synovial fluid, and part of DNA/RNA

coating on outer cell membrane
carbohydrates help with cell signaling by forming-

glycocalyx
carbohydrates form the extracellular matrix component of ________, the external surface of a plasma membrane that is important for cell-to-cell communication

extracellular matrix
The substance in which animal tissue cells are embedded, consisting of protein and polysaccharides.

proteins and fatty acids
If carbohydrates are insufficient, ______ and ________ will be consumed, leading to ketosis

ketosis
Breakdown of fatty acids (and proteins) when carbohydrates are insufficient
- can result from diabetes mellitus

B, riboflavin
carbohydrates are components of some vitamins: Ribose sugar is used to produce __ vitamin _______

riboflavin
a B vitamin active in the body's energy-releasing mechanisms

component of DNA and RNA, Synovial fluid, Cell Signaling, Energy, Component of B-Vitamin Riboflavin
What are the functions of carbohydrates?
Fiber
chemically indigestible form of glucose (carbohydrate) that aids digestion

Soluble fiber
found in plant cells broken down/fermented by bacteria in large intestine; serves as important food source that gives you "full" feeling
- ex: lettuce, pectin, xanthan gum
- Dissolves in water to gel-like and slows glucose absorption into the blood

Insoluble fiber
makes up plant cell WALLS, adds bulk to feces; not digested, but gves "laxative" benefit
- ex: corn, broccoli, (lentils? maybe not)

celery - fiber
bread - starch
strawberry - fructose
ice cream - galactose
Match the food with the main carbohydrate it provides.
galactose, starch, fiber, fructose
celery, bread, strawberry, ice cream
d. cellulose
Which of the following commonly added ingredients to some foods is not a form of soluble fiber?
a. locust bean gum
b. xanthan gum
c. fruit pectin
d. cellulose
e. carrageenan

Insulin
hormone that lowers blood glucose by promoting uptake into cells/organs that use it for fuel; liver stores glucose as glycogen (no longer free-flowing)

beta cells
insulin is released by ____ cells of the pancreas
Glucagon
Hormone that raises blood glucose by stimulating glycogen breakdown into glucose in the liver

Glycogenolysis
Breakdown of glycogen into glucose

free-flowing
glucose concentration includes _________ glucose, not stored glycogen
90-100 mg/100 mL
Good fasting glucose level

a. insulin
After a physical and some blood tests, Jenny learns that her blood sugar is 125 mg/dL. Which hormone is she deficient in?
a. insulin
b. glucagon
Triglyceride
glycerol backbone chemically bonded to fatty acids
- Glycerol + three fatty acids

Saturated fatty acids
No double bonds; form straight chains of carbon that can be easily packed together so they're solid at room temperature
- has all of the hydrogens

more carbon, phosphorylation
saturated fat has ________ to be broken down into ATP during _________

ATP, fat
Excess ____ produced from saturated fat is stored as _____ in the body

arterial plaque and longer shelf life
saturated fats are tightly stacked and harder to break down, leading to- (in and out of body)
Unsaturated fatty acids
One or more double bonds with a kink in the fatty acid chain; liquid at room temperature
- takes off hydrogens (double bond O)

calories and energy
unsaturated fat is shorter due to kink, producing less _____ and _____
easier, shorter shelf life
unsaturated fats are less tightly stacked and ____ to break down in the body, leading to-
Trans fats
Hydrogenated fats developed by manufacturers to extend shelf life of foods
- increase heart disease risk (least healthy lol)

hydrogenation
The process of converting unsaturated fats to saturated fats by adding hydrogen / changing the position of hydrogen around the double bond

Phospholipids
Same as triglycerides, except the third fatty
acid tail is replaced by a phosphate group and
specific head group ; form cell membranes
- ex: soy lecithin (a.k.a. phosphatidylcholine)

amphipathic
phospholipids are _________ molecules, having both a hydrophilic region and a hydrophobic region

emulsifiers (chemical that mixes oil and water)
phospholipids are effective-

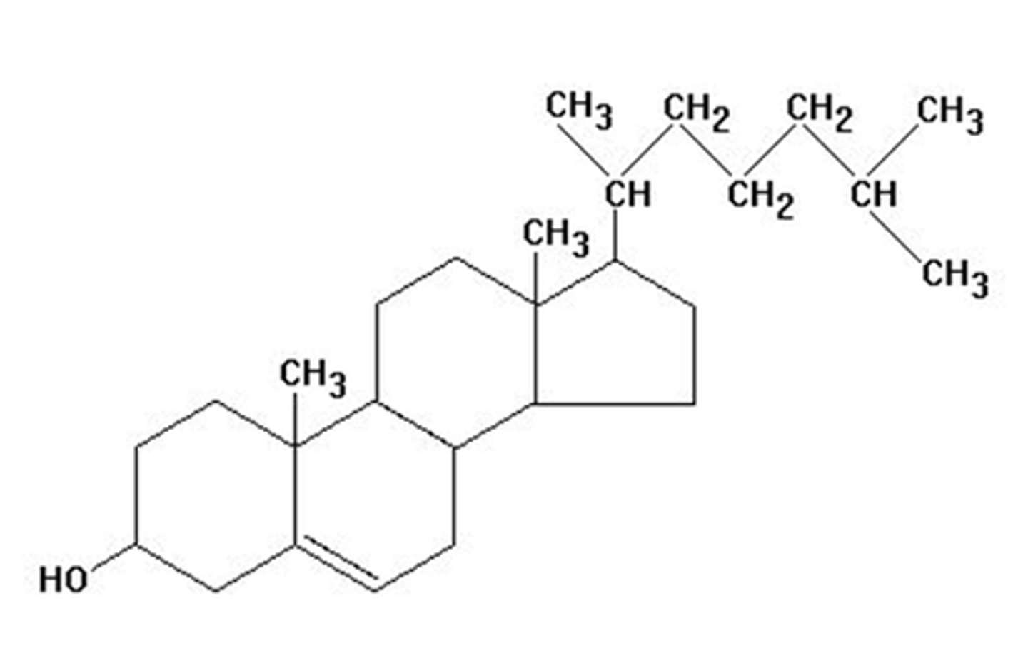
Sterols
Lipids with ring structure (e.g., cholesterol); class of steroid found naturally in plant
and animal cells

Cholesterol
non-essential nutrient; sterol used in membranes
- high levels increase heart disease risk

Plant sterols
are beneficial as they decrease cholesterol absorption from animal-based foods

Lipid functions
Energy storage, cell membranes, myelin sheath, adipose tissue as protection/insulation, hormone production, vitamin D production, absorption of fat soluble vitamins

9
lipids/fat releases __ kcals/gram
E, D, A, K (say it as ee-dahk if that helps lol)
lipids aid in the absorption of the fat soluble vitamins -
D
Lipids help produce vitamin __
the most energy (9kcal/g), cell membrane, myelin sheath, protection/cushioning, produce vitamin D, absorb fat-soluble vitamins E,D,A,K
What are the fuctions of lipids?
Atherosclerosis
Plaque buildup in arteries due to lipids

low-density lipoprotein (LDL)
blood fat that transports cholesterol to organs and tissues; excess amounts result in the accumulation of fatty deposits on artery walls

<100
optimal LDL is-
high-density lipoprotein (HDL)
blood fat that helps transport cholesterol out of the arteries, thereby protecting against heart disease

≥60
optimal HDL is-
Protein
Macromolecule assembled in the cell using combinations of 20 amino acids

Amino acids
Building blocks of proteins (20 total)

Essential amino acids
Must be obtained from diet

Histidine, Isoleucine, Leucine, Methionine, Phenylalanine, Threonine, Tryptophan
What are the essential amino acids?
Happy Interns Love Making Plans, Think Tropical Vacation
Mnemonic for essential amino acids

Non-essential amino acids
Can be synthesized/ produced by our body

Alanine
*Arginine
Asparagine
Aspartic Acid
*Cysteine
Glutamic Acid
* Glutamate
*Glycine
* Proline
Serine
*Tyrosine
What are the non-essential amino acids?