1/24
Combined Practice MCQ and DQ
Name | Mastery | Learn | Test | Matching | Spaced | Call with Kai |
|---|
No analytics yet
Send a link to your students to track their progress
[Craft and Structure]
The following text is adapted from Willaim Wycherly’s 1893 play The Country Wife.
MRS. PINCH: O my dear, dear bud, welcome home! Why dost thou look so fropish? who has nangered thee?
PINCH: You’re a fool. [Mrs. Pinchwife goes aside, and cries.]
ALITH: Faith, so she is, for crying for no fault, poor tender creature!
PINCH: What, you would have her as impudent as yourself, as arrant a jilflirt, a gadder, a magpie; and to say all, a mere notorious town-woman?
As used in the text, what does the word “fropish” most nearly mean?
peevish
[Information and Ideas]
The following text is from the 1903 poem “Boots” by Rudyard Kipling. The poem is from the perspective of a British infantryman.
We—can—stick—out—'unger, thirst, an’ weariness,
But—not—not—not—not the chronic sight of ’em —
Boot—boots—boots—boots—movin’ up an’ down again,
An’ there’s no discharge in the war!
‘Taint—so—bad—by—day because o’ company,
But night—brings—long—strings—o’ forty thousand million
Boots—boots—boots—boots—movin’ up an’ down again.
There’s no discharge in the war!
I—'ave—marched—six—weeks in ‘Ell an’ certify
It—is—not—fire—devils, dark, or anything,
But boots—boots—boots—boots—movin’ up an’ down again,
An’ there’s no discharge in the war!
Which choice best states the main purpose of the text?
To underscore the relentless and monotonous nature of military duty, especially the continuous movement of troops
[Craft and Structure]
The following text is from Leah Naomi Green’s 2017 poem “To the Cardinal, Attacking His Reflection in the Window.”
“It is your very self” I tell him.
He has never seen me.
His quick coin of breath disappears on the glass as it forms: air
that feeds his bones their portion
willingly as it feeds mine. He spends his here,
besieged by the dull birds who gather
and whom he cannot touch, his own feathers
red as wrought blood.
Dear bird, how many selves
must you vanquish?
In the mornings, his wings are backlit. They are beating,
delicate, cruciform, hollow feather, hollow bone.
In the blizzard his furor is the only color,
the only shape. He is waiting
for the coward to come out.
Which choice best describes the function of the underlined portion in the text as a whole?
To highlight the speaker’s incredulousness with the cardinal’s inability to recognize itself.
[Craft and Structure]
Several careful, well-designed studies conclude that lead exposure affects crime rates, but there is also a continuing debate regarding exactly how strong the relationship is. A recent metaanalysis, for example, estimates that lead reduction could have driven anywhere from 0% to 36% of the decline in homicides during the 1990s. Meanwhile, the blood-lead levels in American children are a small fraction of what they were decades ago, with only a small percentage of children having clearly problematic levels. Among these children, there are several key sources of lead exposure—and while water is among those sources, it is not the dominant problem, suggesting that lawmakers should pursue a less water-focused attempt to reduce lead levels further. In any event—given how small the remaining problem is—______.
Which choice most logically completes the text?
policymakers should not expect dramatic improvements in nationwide crime rates to result from further lead removal.
[Standard English Conventions]
Understanding migration patterns in the animal kingdom is complex due to the vast expanses of ______ animals’ movements are influenced by various factors such as climate change and food availability.
Which choice completes the text so that it conforms to the conventions of Standard English?
migratory routes and the fact that
[Standard English Conventions]
Stanford Professor Bruce McCandliss conducted a study to determine the efficacy of different methods for teaching ______ A, which was a letter-to-sound approach, and method B, which was a whole word association approach.
Which choice completes the text so that it conforms to the conventions of Standard English?
reading: method
[Expression of Ideas]
While researching a topic, a student has taken the following notes:
In 1889, Dutch artist Vincent van Gogh painted The Starry Night.
The Starry Night is known for its swirling, dramatic depiction of the night sky.
In the painting, the stars are depicted as large, radiant orbs, and the moon glows intensely, casting a vivid light that gives the painting a luminous quality.
In 2011, Japanese artist Yayoi Kusama created Infinity Mirrored Room – The Souls of Millions of Light Years Away.
Kusama's installation features a room with mirrors and LED lights that create an illusion of endless space.
The student wants to emphasize a similarity between the two artworks. Which choice most effectively uses relevant information from the notes to accomplish this goal?
Although Van Gogh and Kusama used different mediums, both The Starry Night and Infinity Mirrored Room are unique portrayals of light and space.
[Craft and Structure]
In addition to being a renowned biologist, Rachel Carson was a _________ raising awareness about environmental issues, most notably through her groundbreaking book Silent Spring, which highlighted the dangers of pesticide use.
Which choice completes the text with the most logical and precise word or phrase?
proponent of
[Information and Idea]
Text 1
Historical interpretation is the process by which historians analyze historical evidence and craft an explanation of the past. Historians are constantly debating any given topic; these debates go beyond the mere “facts” found in a historical archive. Rather, disagreement occurs on a more fundamental level: how these facts are to be interpreted and even what constitutes a fact? One approach to interpreting history borrows from the sciences by crafting mathematical equations to explain historical patterns. This approach is favored by twentieth-century historian Haskell Fain, who argues in his article “History as Science” that history should be viewed through a more scientific lens.
Text 2
Justin Champion, in writing about what historians are for, states that "historical claims to truth are aesthetic and ethical, rather than empirical and objective." Peter Novick argued that historians make up stories and "make no greater (but also no lesser) truth claims than poets or painters."
Based on the texts, how would Champion and Novick (Text 2) most likely respond to the approach of Fain in Text 1?
By disputing the scientific approach advocated by Fain, arguing that historical truth is inherently subjective.
[Standard English Conventions]
From afar, Paul Signac’s paintings appear as cohesive and vivid images, often depicting serene landscapes, bustling harbors, or vibrant urban scenes. However, upon closer inspection, the paintings reveal a meticulous arrangement of tiny ______ blending of these dots occurring not on the canvas but rather in the viewer’s eye when at a distance.
Which choice completes the text so that it conforms to the conventions of Standard English?
dots, the
[Standard English Conventions]
Both the Tyrannosaurus (T. Rex) and Giganotosaurus are extinct dinosaurs that were carnivorous and gigantic compared to other dinosaurs. However, compared to that of the Giganotosaurus, ______ capable of delivering skull-crushing chomps.
Which choice completes the text so that it conforms to the conventions of Standard English?
the T. Rex’s bite force was an advantage, as it was considerably more powerful,
[Standard English Conventions]
Ketchup is found in 97 percent of U.S. homes and almost 100 percent of that ketchup is tomato-based. The ancestor of modern ketchup was completely ______ as far back as 300 B.C., texts began documenting the use of fermented pastes in China made from fish entails, meat byproducts, and soybeans called “koe-cheup” by speakers of the Southern Min dialect.
Which choice completes the text so that it conforms to the conventions of Standard English?
tomato-free, however;

In the given figure, line L is parallel to line m. If x=40, what is the measure of <DEF?
100

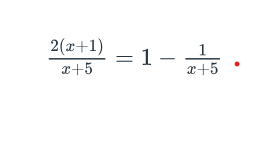
What is the solution to the equation above?
2
[Craft and Structure]
Making something that is truly delicious for one’s friends and family can be a formative experience that leads one to pursue a career as a chef. While not everybody can be a celebrity chef with millions of television fans, there are many ______ to a fulfilling career in the food services industry.
Which choice completes the text with the most logical and precise word or phrase?
avenues
[Information and Ideas]
The following passage is from A Portrait of the Artist as a Young Man by James Joyce, published in 1916. Stephen Dedalus, Joyce’s protagonist, has been raised and educated to join the clergy. Below he contemplates the diverging paths before him after a priest warns him of the permanence of his intended holy position.
The Reverend Stephen Dedalus, S.J.
His name in that new life leaped into characters before his eyes and to it there followed a mental sensation of an undefined face or colour of a face. The colour faded and became strong like a changing glow of pallid brick red. Was it the raw reddish glow he had so often seen on wintry mornings on the shaven gills of the priests? The face was eyeless and sour-favoured and devout, shot with pink tinges of suffocated anger. Was it not a mental spectre of the face of one of the Jesuits whom some of the boys called Lantern Jaws and others Foxy Campbell?
According to the text, the narrator’s image of a priest is one of
repressed emotion.
[Craft and Structure]
The Souls of Black Folk is a 1903 literary work by American author W. E. B. Du Bois. One cultural aspect on which Du Bois focuses in this work is the prevalence of “sorrow songs” in African American culture, i.e., musical compositions that evoke the suffering of slaves. In this work, Du Bois strongly suggests that American creativity is focused on energetic inventiveness: ______
Which quotation from The Souls of Black Folk most effectively illustrates the claim?
“Little of beauty has America given the world save the rude grandeur God himself stamped on her bosom; the human spirit in this new world has expressed itself in vigor and ingenuity rather than in beauty.”
![<p><strong>[Craft and Structure]</strong></p><p>Antony van Leeuwenhoek is generally credited with being the first person to report seeing protists in about 1675. Following the discovery of cells in 1839, the distinctive nature of protists became apparent. Protists are definable only as a eukaryote lacking the multicellular organization seen in plants, animals and fungi. Overall, protists represent a not insignificant portion of species on Earthy. For example, ______</p>](https://knowt-user-attachments.s3.amazonaws.com/48fc9848-d9d8-40d4-af8c-7d5f5e7e9a7a.png)
[Craft and Structure]
Antony van Leeuwenhoek is generally credited with being the first person to report seeing protists in about 1675. Following the discovery of cells in 1839, the distinctive nature of protists became apparent. Protists are definable only as a eukaryote lacking the multicellular organization seen in plants, animals and fungi. Overall, protists represent a not insignificant portion of species on Earthy. For example, ______
since 1675, protists have made up almost 30% of new species discovered.
[Craft and Structure]
Locusts, similar to grasshoppers, are typically harmless in their solitary state. However, under certain conditions, such as heavy rains followed by drought, dangerous swarms can occur. The increased locust population is then concentrated in smaller areas in search of food. Researchers from the University of Cambridge have discovered that solitary locusts can transform into swarming locusts when serotonin is released by gently applying a toothbrush to their hind legs. Therefore, locusts can become swarms due to _______.
increased contact with other locusts.
[Craft and Structure]
Erwin Schrödinger was a Nobel Prize–winning Austrian and naturalized Irish physicist who developed fundamental results in quantum theory. In the first years of his career, Schrödinger became acquainted with the ideas of the old quantum theory, developed in the _____. This knowledge helped him work on some problems in theoretical physics.
works of Einstein and others
[Craft and Structure]
General Douglas MacArthur and President Harry Truman—great _____ were both American leaders in the late 1940s and early 1950s in the aftermath of the Allied victory during World War II.
men by all accounts—
[Craft and Structure]
Henrik Ibsen and August Strindberg are truly giants of playwriting. The hallmarks of modern theater in their present incarnation—from stark realism to surreal expressionism—______ directly from the works of these two men.
derive
[Information and Ideas]
Advocates of the presidential model of government posit that it is more democratic than the parliamentary system because the people themselves choose their executive. They contend that the fixed terms even allow for some stability that the parliamentary organization does not allow. Likewise, a further benefit lies in the separation of powers subject to checks and balances, in which the executive and legislative bodies can monitor one another and assure that power is not centralized. Yet, critics of the system assert that the president’s national status affords tendencies toward authoritarianism. Furthermore, as a rule, deadlocks or stalemates are much more common within a system that often has executive and legislative bodies under the control of different parties. Cynics therefore suggest that the presidential model is privy to discord and inefficiency—not to mention, presidents are difficult to remove when thought to be unfit.
Which choice best states the main purpose of the text?
To compare presidential and parliamentary models of government
![<p><strong>[Information and Ideas]</strong></p><p>A researcher who specializes in analyzing the aftermath of car wrecks determines that car crash dummies are almost always designed to represent the male skeletal and muscular anatomy. The researcher thinks that car manufacturers as well as consumers should demand that the National Highway Traffic Safety Administration develop dummies that represent not just men and women, but a variety of sizes of men and women as well as a variety of sizes of children. The researcher argues that the government should prioritize diverse demographic representation among crash test dummies to gather the most helpful information for consumers.</p><p>Which statement would best utilize the information in the table to most directly argue against the researcher’s position?</p>](https://knowt-user-attachments.s3.amazonaws.com/2292796c-ed15-4c30-9db1-776797f31524.png)
[Information and Ideas]
A researcher who specializes in analyzing the aftermath of car wrecks determines that car crash dummies are almost always designed to represent the male skeletal and muscular anatomy. The researcher thinks that car manufacturers as well as consumers should demand that the National Highway Traffic Safety Administration develop dummies that represent not just men and women, but a variety of sizes of men and women as well as a variety of sizes of children. The researcher argues that the government should prioritize diverse demographic representation among crash test dummies to gather the most helpful information for consumers.
Which statement would best utilize the information in the table to most directly argue against the researcher’s position?
Given the higher crash rate of male drivers as compared to female drivers, it is understandable that car manufacturers may prioritize male crash test dummies.
[Craft and Structure]
The Y-Bridge (named for its distinctive Y-shape) was designed to span the confluence of the Muskingum and Licking rivers. ______ Ripley’s Believe It Or Not once claimed that the Y-Bridge was the only bridge in the world where it was possible to cross and still end up on the same side of the river, and Amelia Earhart once called Zanesville “the most recognizable city in the country” because of the bridge.
Which choice completes the text with the most logical transition?
Subsequently,