1/44
Looks like no tags are added yet.
Name | Mastery | Learn | Test | Matching | Spaced | Call with Kai |
|---|
No analytics yet
Send a link to your students to track their progress
What is organic geochemistry?
Study of the transformation undergone by organic matter of all types, whether of biological or manmade origin, in the Earth system.
Steps in finding a biomarker:
find sample
analyse compounds
if successful with compound found = biomarker
What are the principals of organic chemistry?
What is a biomarker?
Organic compound found in natural waters, sediments, soils, fossils, crude oils, or coals that can be unambiguously linked to specific precursor molecules made by living organisms.
Most informative biomarkers:
DNA
RNA
Proteins
Metabolites (sugars, lipids)
However, DNA not preserved well despite being the highest source of specific information.
Key criteria for good biomarkers:
information content
robustness of molecule
ease of detection/analysis
How does immature organic matter convert to mature organic matter?
Diagenesis - fresh extant biomass to kerogen & bitumen
Catagenesis - kerogen & bitumen to oil,coal, gas
Information often gets lost with time.
Is freshness linked to age?
Fresh and non fresh not related to age.
Can have very fresh material that is ancient in age.
How do you tell the difference between n-alkanoic acids and n-alkanes?
By calculating CPI - not always this rule.

What is a proxy?
A parameter that makes use of variables that can be empirically determined to estimate some other variable that cannot be measured directly.
e.g. temperature
Used to quantify conditions in geological past.
How can isotopes be used?
13C and 14C isotopes can be used to determine age.
BLOCK 2 VIDEOS. What are the basics chemical classes?
carbohydrates POORLY PRESERVED
proteins POORLY PRESERVED
lipids WELL PRESERVED
lignin (plants) WELL PRESERVED
What is the general formula for carbohydrates?
Cn(H2O)n
-not well preserved
Chitin exception; exoskeletons of arthropods are well preserved unlike other carbohydrate material

What about proteins?
Proteins = polymer of amino acids
main part of the nitrogen organic material
not well preserved
What about lipid?
Lipid = a chemical compound that is insoluble in water but soluble in organic solvents
main components of cell membranes/biomass on earth
10-20% of TOC in most organisms is lipids
relatively stable; selectively enriched over time
structurally extremely diverse; high potential as biomarker
‘easy’ to study, analytically accessible
What is lipid synthesis classes?
Polyketide synthesis
starts with acetate units linked together, build in two carbon atoms at a time, EVEN CARBON CHAIN
e.g. alkanes, fatty acids, alcohols
Isoprenoid synethesis
starting from isoprene unit (5 carbons and methyl branch), chains with 10,15 (factor of 5)
e.g. steroids, hopanoids
More detail about the polyketide synthesis?
start with acetate
basic building blocks built are acids
can build acids, aldehyde, alcohol
EVEN CARBON CHAIN
de-carboxylic acid reaction to form alkane, ester
exception as lose one C in de-carboxylation producing n-alkanes odd-even chain
Practical note for n-alkanes n&m are uneven, for the others n&m are even
What are steryl esters?
Acid connected with acids.
e.g. sheeps wool with waxy feeling

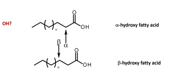
What is a polymeric structure hydroxy fatty acid?
Hydroxy fatty acid - an acid where on a given position in chain there is an alcohol functional group
Position of alcohol group determines type of hydroxy fatty acid
alpha hydroxy fatty acid - OH function on first carbon next to COOH
beta hydroxy fatty acid - OH function on second carbon next to COOH
omega hydroxy fatty acid - OH on last carbon opposite side to COOH
omega w-1 hydroxy fatty acid - OH on penultimate carbon opposite to COOH

What is cutin?
Cutin is a polymeric structure where hydroxy fatty acid with carbon chain length of C16-C18
form outer surface of exposed plant tissue
What is suberin?
omega hydroxy fatty acid with alpha, omega diacids
COOH on either side
associated with underground plant parts
Algaenan - related polymeric structure found in marine environment

What is the most abundant membrane lipid on earth?
Phospholipids
hydrophillic head made up of phosphate group connect to a glycerol unit
hydrophobic tail - x2 fatty acids

What is the bilayer structure formed from phospholipids in cell membranes?
Heads sticking out, tails inwards.

What are PLFAs?
Phospholipid fatty acids are markers of ‘living biomass’
What is the other lipid present in cell membranes?
Glycolipids - comparable structure to phospholipid
ether bond

What are other etherlipids?

What are lipid monolayers?
Phospholipid forms a lipid bilayer with two phospholipids.
Longer chain with two glycerol units forms a monolayer - strength to cell wall e.g. in archaea.

What are tetrapyrrole pigements; porphyrins?
e.g. chlorophyll-a
contain pyrrole 4 units
involved in photosynthesis
ring structures stable; observed in kerogens
What is lignin?
2nd most abundant biopolymer
20-30% of vascular tissue
relatively stable
no uniform structure
based on 3 lignin building blocks
well preserved
potential source for renewable fuels and materials

What are terpenoids?
Constructed from C5 isoprene units

How are the isoprenoid units configured together?
regular - all methyls in same direction
irregular - methyl in different direction.
Head to head only 2 carbons between units
Tail to tail, chain extended, 4 carbons between units

How are terpenoids synthesised?
Mevalonate pathway:
starts with acetate forms an isopentenyl pyrophosphate IPP unit
going up in carbons of 5
What are sterols?
Sterols are a type of lipid with a four-ring carbon structure (a steroid nucleus) and a hydroxyl (–OH) group.
‘biomarkers for eukaryotes'
What about steroids?
-basic structure one pentyl ring, and two hexyl rings
-then an R chain

What are pentacyclic triterpenoids C20; 5rings?

Function of hopanoids and steroids?
-cell membrane lipids
-membrane reinforces
Tetraterpenoids C40:
glycerol dialkyl glycerol tetraether GDGT lipid in archaea
membrane rigidfiers
can also form carotenoids, e.g. astaxanthin. e.g. in marine phytoplankton resonsible for ‘red tides’ from release of beta-carotene
What is biomarker?
An organic compound in natural waters, sediments, soils, fossils, crude oils, or coals, that can be unambiguously linked to specific precursor molecules made by living organisms.
Is DNA the ultimate biomarker?
That depends. It has the highest source specific information but is not preserved very well. This means that in a geological content it has its limitations.
Are sterols biomarkers for Eucarya, Bacteria, or Archaea? What about hopanoids and isorenieratene?
Sterols = eucarya. Hopanoids = bacteria. Isorenieratene = bacteria (e.g. green sulfur bacteria)
How can C30 hopanes be used to determine the maturity of sediments?
C30 hopanes have 2 chiral centra’s (position 17 and 21), meaning that multiple forms can be produced. In nature are only one form is produced, the beta beta configuration. However, the alpha beta configuration is more geological stable structure and over time all converted from the bb to the ab form. Ratio of bb to (bb+ab) can be used to determine the relative freshness (maturity)
N-alkanes in a sample show a CPI of 5.3. What does this mean?
CPI = 5.3 means > > > 1. Means that there is a high odd over even predominance and thus that the n-alkanes are mainly plant derived (immature) and that there is likely no substantial input of mature origin, e.g. oil etc.
What is a proxy?
A parameter that makes use of variables that can be empirically determined to estimate some other variable that cannot be measured directly.
How can compound specific 13C analyses be used to determine the relative C3-C4 composition in dust samples? What does this mean for paleao climate reconstructions?
n-alkanes from C3 plants have a different 13C composition if compared to those from C4 plants. This means that by determining the delta13C of n-alkanes in dust samples and a 2 end mixing module you can determine the relative contributions of C4 and C3 material to the sample. For palaeo climate studies this is really helpful since this means you can determine the inputs without actually having to analyse plant material.
Explain why compound specific 14C analysis of polyaromatic hydrocarbons in air samples of samples in Aspvreten (Sweden) by Mandalakis et al. (2005) indicates a 50:50 biomass/fossil fuel burning contribution.
Compound specific 14C analysis of polyaromatic hydrocarbons in the Swedish sample in this study indicates a radiocarbon age that is much younger if compared to the samples from other two sites. This means that there must be a much higher contribution of burning of ‘modern’ material, e.g. biomass. Using a 2 end mixing module it was estimated that this must be around 50%, yielding a 50:50 biomass/fossil fuel burning contribution.